Математика 4 класс учебник Моро, Бантова 2 часть ответы – страница 69

  • Тип: ГДЗ, Решебник.
  • Авторы: Моро М.И., Бантова М.А., Бельтюкова Г.В. и др.
  • Часть: 2.
  • Год: 2020-2024.
  • Серия: Школа России (ФГОС).
  • Издательство: Просвещение.
Отличается задание? Переключите год учебника.
Переключение года издания

Номер 3.

Выбери высказывания, верные для данного рисунка.
1) Если фигура жёлтого цвета, то это не треугольник.
2) Все треугольники красного цвета.
3) Если фигура красного цвета, то это прямоугольный треугольник.
4) Фигура зелёного цвета − это равнобедренный треугольник.

математика 4 класс Моро, Бантова - 2 часть страница 69, номер 3
Ответ:

1) Верно. 2) Неверно, так как также на рисунке есть треугольники зеленого и голубого цвета. 3) Неверно, так как на рисунке также есть тупоугольный треугольник красного цвета. 4) Верно.

Подсказка:

Повтори, какие бывают треугольники.

Шаг 1.
Рассмотрим рисунок.
Пояснение к заданию 3
Шаг 2.
Ответим на вопросы по данному рисунку.

1) Верно.
2) Неверно, так как также на рисунке есть треугольники зеленого и голубого цвета.
3) Неверно, так как на рисунке также есть тупоугольный треугольник красного цвета.
4) Верно.

Номер 4.

1) Вычислительная машина работает так: к введённому числу ☐ прибавляет 20 (☐ + 20); результат сравнивает с числом 100: (☐ + 20) < 100?:
если "НЕТ": (☐ + 20) > 100, машина подаёт результат на выход;
если "ДА": (☐ + 20) < 100, машина подаёт результат снова на вход и повторяет то, что выполняла раньше.
2) Какое число будет получаться на выходе из машины, если в неё ввели число: 78; 46; 35; 29; 89; 54?

математика 4 класс Моро, Бантова - 2 часть страница 69, номер 4
Ответ:

Вход: 78 78 + 20 = 98 98 < 100 − ДА 98 + 20 = 118 118 < 100 − НЕТ Выход: 118
Вход: 46 46 + 20 = 66 66 < 100 − ДА 66 + 20 = 86 86 < 100 − ДА 86 + 20 = 106 106 < 100 − НЕТ Выход: 106
Вход: 35 35 + 20 = 55 55 < 100 − ДА 55 + 20 = 75 75 < 100 − ДА 75 + 20 = 95 95 < 100 − ДА 95 + 20 = 115 115 < 100 − НЕТ Выход: 115
Вход: 29 29 < 100 − ДА 29 + 20 = 49 49 < 100 − ДА 49 + 20 = 69 69 < 100 − ДА 69 + 20 = 89 89 < 100 − ДА 89 + 20 = 109 109 < 100 − НЕТ Выход: 109
Вход: 89 89 < 100 − ДА 89 + 20 = 109 109 < 100 − НЕТ Выход: 109
Вход: 54 54 + 20 = 74 74 < 100 − ДА 74 + 20 = 94 94 < 100 − ДА 94 + 20 = 114 114 < 100 − НЕТ Выход: 114

Подсказка:

Повтори, что такое неравенства.

Шаг 1.
Выполняем вычисления по принципам работы вычислительной машины.

Вход: 78
78 + 20 = 98
98 < 100 − ДА
98 + 20 = 118
118 < 100 − НЕТ
Выход: 118

Вход: 46
46 + 20 = 66
66 < 100 − ДА
66 + 20 = 86
86 < 100 − ДА
86 + 20 = 106
106 < 100 − НЕТ
Выход: 106

Вход: 35
35 + 20 = 55
55 < 100 − ДА
55 + 20 = 75
75 < 100 − ДА
75 + 20 = 95
95 < 100 − ДА
95 + 20 = 115
115 < 100 − НЕТ
Выход: 115

Вход: 29
29 < 100 − ДА
29 + 20 = 49
49 < 100 − ДА
49 + 20 = 69
69 < 100 − ДА
69 + 20 = 89
89 < 100 − ДА
89 + 20 = 109
109 < 100 − НЕТ
Выход: 109

Вход: 89
89 < 100 − ДА
89 + 20 = 109
109 < 100 − НЕТ
Выход: 109

Вход: 54
54 + 20 = 74
74 < 100 − ДА
74 + 20 = 94
94 < 100 − ДА
94 + 20 = 114
114 < 100 − НЕТ
Выход: 114

Шаг 2.
Оформляем.

Номер 5.

Вычислительная машина работает так:
1) Составь план её работы.
2) Какие числа будут получаться на выходе из машины, если в неё ввели числа: 480; 360; 270; 890?

математика 4 класс Моро, Бантова - 2 часть страница 69, номер 5
Ответ:

1) Вычислительная машина работает так: к введенному число прибавляет 300 (☐ + 300); результат сравнивает с числом 1000: (☐ + 300) < 1000?; если “НЕТ”: (☐ + 300) > 1000, машина подает результат на выход; если “ДА”: (☐ + 300) < 1000, машина подает результат снова на вход и повторяет то, что выполняла раньше.
2) Вход: 480 480 + 300 = 780 780 < 1000 − ДА 780 + 300 = 1080 1080 < 1000 − НЕТ Выход: 1080
Вход: 360 360 + 300 = 660 660 < 1000 − ДА 660 + 300 = 960 960 < 1000 − ДА 960 + 300 = 1260 1260 < 1000 − НЕТ Выход: 1260
Вход: 270 270 + 300 = 570 570 < 1000 − ДА 570 + 300 = 870 870 < 1000 − ДА 870 + 300 = 1170 1170 < 1000 − НЕТ Выход: 1170
Вход: 890 890 + 300 = 1190 1190 < 1000 − НЕТ Выход: 1190

Подсказка:

Повтори, что такое неравенства.

Шаг 1.
Составим план работы вычислительной машины.

Вычислительная машина работает так:
к введенному число прибавляет 300 (☐ + 300);
результат сравнивает с числом 1000: (☐ + 300) < 1000?;
если “НЕТ”: (☐ + 300) > 1000, машина подает результат на выход;
если “ДА”: (☐ + 300) < 1000, машина подает результат снова на вход и повторяет то, что выполняла раньше.

Шаг 2.
Выполняем вычисления по принципам работы вычислительной машины.

Вход: 480
480 + 300 = 780
780 < 1000 − ДА
780 + 300 = 1080
1080 < 1000 − НЕТ
Выход: 1080

Вход: 360
360 + 300 = 660
660 < 1000 − ДА
660 + 300 = 960
960 < 1000 − ДА
960 + 300 = 1260
1260 < 1000 − НЕТ
Выход: 1260

Вход: 270
270 + 300 = 570
570 < 1000 − ДА
570 + 300 = 870
870 < 1000 − ДА
870 + 300 = 1170
1170 < 1000 − НЕТ
Выход: 1170

Вход: 890
890 + 300 = 1190
1190 < 1000 − НЕТ
Выход: 1190

Шаг 3.
Оформляем задание в тетрадь.

Номер 6.

Капроновый шнур длиной 30 м разрезали на 3 части так, что одна часть на 1 м длиннее другой и на 1 м короче третьей. Найди длину каждой части. Совет: сделай схематический чертёж.

Ответ:
математика 4 класс Моро, Бантова - 2 часть страница 69, номер 6

Метод подбора: Нужно найти такую комбинацию чисел, которые в ряду стоят друг за другом, например, 1, 2, 3, но чтобы в сумме давали 30. Это числа 9, 10 и 11, значит длины кусков − 9 метров, 10 метров и 11 метров.
Ответ: 9 метров, 10 метров, 11 метров.
Метод вычислений: 1) 30 : 3 = 10 (м) − приходился бы на каждый кусок, если бы они были равны. 2) 10 − 1 = 9 (м) − длина первого куска. 3) 10 + 1 = 11 (м) − длина третьего куска.
Ответ: 9 метров, 10 метров и 11 метров.

Подсказка:

Повтори единицу длины – метр, а также что такое отрезок.

Шаг 1.
Оформляем условие в виде схематического чертежа.
Пояснение к заданию 6
Шаг 2.
Решение методом подбора.

Метод подбора:
Нужно найти такую комбинацию чисел, которые в ряду стоят друг за другом, например, 1, 2, 3, но чтобы в сумме давали 30. Это числа 9, 10 и 11, значит длины кусков – 9 метров, 10 метров и 11 метров.
Ответ: 9 метров, 10 метров, 11 метров.

Шаг 3.
Решение методом вычислений.

Метод вычислений:
1) 30 : 3 = 10 (м) – приходился бы на каждый кусок, если бы они были равны.
2) 10 − 1 = 9 (м) – длина первого куска.
3) 10 + 1 = 11 (м) – длина третьего куска.
Ответ: 9 метров, 10 метров и 11 метров.

Что узнали. Чему научились

Номер 1.

Ответ:
Математика 4 класс Моро, Бантова - 2 часть страница 69, номер 1. Год 2024.
Подсказка:

Повтори алгоритм письменного деления на двузначные числа, а также порядок действий.

Шаг 1.
Выполняем вычисления.

370 – 90 + 180 – 120 : 6 = 440
В данном выражении сначала выполняется действие деление, затем действия по порядку: вычитание, сложение и снова вычитание.
1) 120 : 6 = 12 дес. : 6 = 2 дес. = 20
2) 370 – 90 = 270 + 100 – 90 = 270 + 10 = 280
3) 280 + 180 = 200 + 100 + 80 + 80 = 300 + 160 = 460
4) 460 – 20 = 400 + 60 – 20 = 400 + 40 = 440

600 – (15 ∙ 10 + 15 ∙ 20) = 600 – 15 ∙ (10 + 20) = 150
В данном выражении сначала выполняются действия в скобках, которые можно упростить: вынести одинаковый множитель за скобку. После чего первым действием выполняется сложение, затем — умножение, а потом — вычитание.
1) 10 + 20 = 30
2) 15 ∙ 30 = 15 ∙ 3 дес. = 45 дес. = 450
3) 600 – 450 = 500 + 100 – 400 – 50 = (500 – 400) + (100 – 50) = 100 + 50 = 150

(70 – 58) ∙ (32 + 68) – 90 = 1110
В данном выражении сначала выполняются действия в скобках по порядку: сначала — вычитание, затем — сложение, потом выполняется действие умножение, и в конце — вычитание.
1) 70 – 58 = 60 + 10 – 50 – 8 = 10 + 2 = 12
2) 32 + 68 = 30 + 2 + 60 + 8 = 90 + 10 = 100
3) 12 ∙ 100 = 1200
4) 1200 – 90 = 1100 + 100 – 90 = 1100 + 10 = 1110

40 ∙ (16 + 14) – 350 : 50 = 1193
В данном выражение сначала выполняется действие в скобках — сложение, затем — умножение, потом — деление, и в конце — вычитание.
1) 16 + 14 = 10 + 6 + 10 + 4 = 20 + 10 = 30
2) 40 ∙ 30 = 4 ∙ 10 ∙ 3 ∙ 10 = 12 ∙ 100 = 1200
3) 350 : 50 = 35 : 5 = 7
4) 1200 – 7 = 1100 + 100 – 7 = 1100 + 93 = 1193

8888 : 8 = 1111

Пояснение к заданию 1

8888 : 22 = 404

Пояснение к заданию 1

8888 : 44 = 202

Пояснение к заданию 1

8888 : 88 = 101

Пояснение к заданию 1
Шаг 2.
Оформляем задание в тетрадь.
Пояснение к заданию 1

Номер 2.

Найди значения выражения 144976 : а, если а = 18; а = 26; а = 72.

Ответ:
Математика 4 класс Моро, Бантова - 2 часть страница 69, номер 2. Год 2024.
Подсказка:

Повтори, что такое буквенные выражения.

Шаг 1.
Выполняем вычисления.

Если а = 18, то
14976 : а = 14976 : 18 = 832

Пояснение к заданию 2

Если а = 26, то
14976 : а = 14976 : 26 = 576

Пояснение к заданию 2

Если а = 72, то
14976 : а = 14976 : 72 = 208

Пояснение к заданию 2
Шаг 2.
Оформляем задание в тетрадь.
Пояснение к заданию 2

Номер 3.

Ответ:

1)

Математика 4 класс Моро, Бантова - 2 часть страница 69, номер 3, пример 1. Год 2024.

2)

Математика 4 класс Моро, Бантова - 2 часть страница 69, номер 3, пример 2. Год 2024.
Подсказка:

Повтори алгоритм письменного сложения, вычитания, умножения и деления многозначных чисел, а также порядок действий.

Шаг 1.
Выполняем вычисления.

(100000 – 91008) : 4 = 2248
В данном выражении сначала выполняется действие в скобках — вычитание, затем — деление.
1) 100000 – 91008 = 8992

Пояснение к заданию 3

2) 8992 : 4 = 2248

Пояснение к заданию 3

(200000 – 160095) : 5 = 7981
В данном выражении сначала выполняется действие в скобках — вычитание, затем — деление.
1) 200000 – 160095 = 39905

Пояснение к заданию 3

2) 39905 : 5 = 7981

Пояснение к заданию 3

6789 + (1010 – 803) ∙ 940 = 201369
В данном выражении сначала выполняется действие в скобках — вычитание, затем — умножение, а потом — сложение.
1) 1010 – 803 = 1000 + 10 – 800 – 3 = 200 + 7 = 207
2) 207 ∙ 940 = 194580

Пояснение к заданию 3

3) 2789 + 194580 = 201369

Пояснение к заданию 3

9010 – (8316 + 864) : 510 = 8992
В данном выражении сначала выполняется действие в скобках — сложение, затем — деление, а потом — вычитание.
1) 8316 + 864 = 9180

Пояснение к заданию 3

2) 9180 : 510 = 18

Пояснение к заданию 3

3) 9010 – 18 = 8992

Пояснение к заданию 3

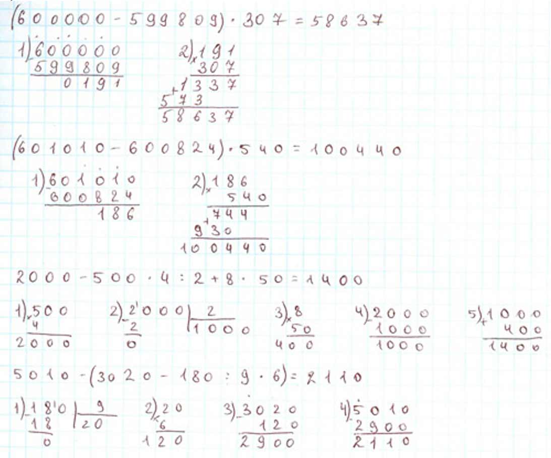
(600000 – 599809) ∙ 307 = 58637
В данном выражении сначала выполняется действие в скобках — вычитание, затем — умножение.
1) 600000 – 599809 = 191

Пояснение к заданию 3

2) 191 ∙ 307 = 58637

Пояснение к заданию 3

(601010 – 600824) ∙ 540 = 100440
В данном выражении сначала выполняется действие в скобках — вычитание, затем — умножение.
1) 601010 – 600824 = 186

Пояснение к заданию 3

2) 186 ∙ 540 = 100440

Пояснение к заданию 3

2000 – 500 ∙ 4 : 2 + 8 ∙ 50 = 1400
В данном выражении сначала выполняется действие умножение, затем — деление, потом опять — умножение, а затем — вычитание, и в конце — сложение.
1) 500 ∙ 4 = 5 сот. ∙ 4 = 20 сот. = 2000
2) 2000 : 2 = 2 тыс. : 2 = 1 тыс. = 1000
3) 8 ∙ 50 = 8 ∙ 5 дес. = 40 дес. = 400
4) 2000 – 1000 = 1000
5) 1000 + 400 = 1400

5010 – (3020 – 180 : 9 ∙ 6) = 2110
В данном выражении сначала выполняются действия в скобках в следующем порядке: деление, умножение и вычитание, затем выполняется действие вне скобок — вычитание.
1) 180 : 9 = 18 дес. : 9 = 2 дес. = 20
2) 20 ∙ 6 = 2 дес. ∙ 6 = 12 дес. = 120
3) 3020 – 120 = 3000 + 20 – 100 – 20 = 3000 – 100 = 2900 + 100 – 100 = 2900
4) 5010 – 2900 = 3000 + 2010 – 2900 = 2010 + 100 = 2110

Шаг 2.
Оформляем задание в тетрадь.

1)

Пояснение к заданию 3

2)

Пояснение к заданию 3

Номер 4.

Выполни деление с остатком.

Ответ:
Математика 4 класс Моро, Бантова - 2 часть страница 69, номер 4. Год 2024.
Подсказка:

Повтори, как выполнять деление с остатком.

Шаг 1.
Выполняем вычисления.

73 : 24 = 3 (ост. 1)

Пояснение к заданию 4

Разделю 73 на 24, получу 3.
Умножу 24 на 3, получу 72.
73 – 72 = 1.
Частное — 3, остаток 1.

98 : 11 = 8 (ост. 10)

Пояснение к заданию 4

Разделю 98 на 11, получу 8.
Умножу 11 на 8, получу 88.
98 – 88 = 10.
Частное — 8, остаток 10.

95 : 40 = 2 (ост. 15)

Пояснение к заданию 4

Разделю 95 на 40, получу 2.
Умножу 40 на 2, получу 80.
95 – 80 = 15.
Частное — 2, остаток 15.

78 : 30 = 2 (ост. 18)

Пояснение к заданию 4

Разделю 78 на 30, получу 2.
Умножу 30 на 2, получу 60.
78 – 60 = 18.
Частное – 2, остаток 18.

194 : 70 = 2 (ост. 54)

Пояснение к заданию 4

Разделю 194 на 70, получу 2.
Умножу 70 на 2, получу 140.
194 – 140 = 54.
Частное — 2, остаток 54.

250 : 80 = 3 (ост. 10)

Пояснение к заданию 4

Разделю 250 на 80, получу 3.
Умножу 80 на 3, получу 240.
250 – 240 = 10.
Частное — 3, остаток 10.

1370 : 400 = 3 (ост. 170)

Пояснение к заданию 4

Разделю 1370 на 400, получу 3.
Умножу 400 на 3, получу 1200.
1370 – 1200 = 170.
Частное — 3, остаток 170.

6203 : 900 = 6 (ост. 803)

Пояснение к заданию 4

Разделю 6203 на 900, получу 6.
Умножу 900 на 6, получу 5400.
6203 – 5400 = 803.
Частное — 6, остаток 803.

Шаг 2.
Оформляем задание в тетрадь.
Пояснение к заданию 4

Номер 5.

Вырази:

1) в миллиметрах: 3 см 5 мм, 2 дм 3 см, 4 м 3 дм; 2) в квадратных метрах: 3800 дм2, 1 км2; 3) в минутах: 2400 с, 3 ч 50 мин, 2 ч 30 мин.

Ответ:

1) 3 см 5 мм = 3 · 10 мм + 5 мм = 30 мм + 5 мм = 35 мм     2 дм 3 см = 2 · 100 мм + 3 · 10 мм = 200 мм + 30 мм = 230 мм     4 м 3 дм = 4 · 1000 мм + 3 · 100 мм = 4000 мм + 300 мм = 4300 мм
2) 3800 дм2 = 3800 · 100 м2 = 380000 м2     1 км2 = 1000 · 1000 = 1000000 м2
3) 2400 с = 2400 : 60 мин = 40 мин     3 ч 50 мин = 3 · 60 мин + 50 мин = 180 мин + 50 мин = 230 мин     2 ч 30 мин = 2 · 60 мин + 30 мин = 120 мин + 30 мин = 150 мин.

Подсказка:

Повтори единицы длины — сантиметр, дециметр, миллиметр и метр, единицы времени — час, минуту и секунду, а также единицы площади.

Шаг 1.
Выполняем вычисления.

1) Так как 1 см = 10 мм, то
    3 см 5 мм = 3 ∙ 10 мм + 5 мм = 30 мм + 5 мм = 35 мм

    Так как 1 дм = 10 см = 100 мм, то
    2 дм 3 см = 2 ∙ 100 мм + 3 ∙ 10 мм = 200 мм + 30 мм = 230 мм

    Так как 1 м = 100 см = 1000 мм, то
    4 м 3 дм = 4 ∙ 1000 мм + 3 ∙ 100 мм = 4000 мм + 300 мм = 4300 мм

2) Так как 1 дм² = 100 м², то
    3800 дм² = 3800 ∙ 100 м² = 380000 м²

    Так как 1 км = 1000 м, то
    1 км² = 1000 ∙ 1000 = 1000000 м²

3) Так как 1 мин = 60 с, то
    2400 с = 2400 : 60 мин = 40 мин

    Так как 1 ч = 60 мин, то
    3 ч 50 мин = 3 ∙ 60 мин + 50 мин = 180 мин + 50 мин = 230 мин
    2 ч 30 мин = 2 ∙ 60 мин + 30 мин = 120 мин + 30 мин = 150 мин.

Шаг 2.
Оформляем задание в тетрадь.

1) 3 см 5 мм = 35 мм
    2 дм 3 см = 230 мм
    4 м 3 дм = 4300 мм

2) 3800 дм² = 380000 м²
    1 км² = 1000000 м²

3) 2400 с = 40 мин
    3 ч 50 мин = 230 мин
    2 ч 30 мин = 150 мин

Номер 6.

Вычисли.

Ответ:

1) 6 км − 380 м = 6000 м − 380 м = 5 км 620 м     3 м − 89 см = 300 см − 89 см = 211 см = 2 м 11 см
    7 т − 450 кг = 7000 кг − 450 кг = 6550 кг = 6 т 550 кг     5 кг − 820 г = 5000 г − 820 г = 4180 г = 4 кг 180 г
    10 м² − 75 дм² = 1000 дм² − 75 дм² = 925 дм² = 9 м² 25 см²     12 дм² − 48 см² = 1200 см² − 48 см² = 1152 см² = 11 дм² 52 см²
2) 16 ч − 8 ч = 8 ч     25 с − 6 с = 19 с
    2 мин − 30 с = 1 мин 60 сек − 30 сек = 1 мин 30 с     4 ч − 55 мин = 3 ч 60 мин − 55 мин = 3 ч 5 мин
    2 сут. − 10 ч = 1 сут. 24 ч − 10 ч = 1 сут. 14 ч     2 сут. − 30 мин = 1 сут. 23 ч 60 мин − 30 мин = 1 сут. 23 ч 30 мин

Подсказка:

Повтори единицы длины — километр и метр, единицы массы — тонну, килограмм и грамм, единицы времени — сутки, час и минуту, а также единицы площади.

Шаг 1.
Выполняем вычисления.

1) Так как 1 км = 1000 м, то
    6 км – 380 м = 6000 м – 380 м = 5600 м + 400 м – 380 м = 5600 м + 20 м = 5620 м = 5 км 620 м

    Так как 1 м = 100 см, то
    3 м – 89 см = 300 см – 89 см = 200 см + 100 см – 89 см = 200 см + 11 см = 211 см = 2 м 11 см

    Так как 1 т = 1000 кг, то
    7 т – 450 кг = 7000 кг – 450 кг = 6500 кг + 500 кг – 450 кг = 6500 кг + 50 кг = 6550 кг = 6 т 550 кг

    Так как 1 кг = 1000 г, то
    5 кг – 820 г = 5000 г – 820 г = 4000 г + 1000 г – 820 г = 4000 г + 180 г = 4180 г = 4 кг 180 г

    Так как 1 м² = 100 дм², то
    10 м² – 75 дм² = 1000 дм² – 75 дм² = 900 дм² + 100 дм² – 75 дм² = 900 дм² + 25 дм² = 925 дм² = 9 м² 25 дм²

    Так как 1 дм² = 100 см², то
    12 дм² – 48 см² = 1200 см² – 48 см² = 1100 см² + 100 см² – 48 см² = 1100 см² + 52 см² = 1152 см² = 11 дм² 52 см².

2) 16 ч – 8 ч = 8 ч
    25 с – 6 с = 19 с

    Так как 1 мин = 60 с, то
    2 мин – 30 с = 120 с – 30 с = 90 с = 1 мин 30 с

    Так как 1 ч = 60 мин, то
    4 ч – 55 мин = 240 мин – 40 мин – 15 мин = 200 мин – 15 мин = 185 мин = 3 ч 5 мин

    Так как 1 сут = 24 ч, то
    2 сут – 10 ч = 48 ч – 10 ч = 38 ч = 1 сут 14 ч

    Так как 1 сут = 24 ч и 1 ч = 60 мин, значит 1 сут = 24 ∙ 60 мин = 1440 мин, то
    2 сут – 30 мин = 2880 мин – 30 мин = 2850 мин = 47 ч 30 мин = 1 сут 23 ч 30 мин

Пояснение к заданию 6
Шаг 2.
Оформляем задание в тетрадь.

1) 6 км − 380 м = 6000 м − 380 м = 5 км 620 м
    3 м − 89 см = 300 см − 89 см = 211 см = 2 м 11 см
    7 т − 450 кг = 7000 кг − 450 кг = 6550 кг = 6 т 550 кг
    5 кг − 820 г = 5000 г − 820 г = 4180 г = 4 кг 180 г
    10 м² − 75 дм² = 1000 дм² − 75 дм² = 925 дм² = 9 м² 25 см²
    12 дм² − 48 см² = 1200 см² − 48 см² = 1152 см² = 11 дм² 52 см²

2) 16 ч − 8 ч = 8 ч
    25 с − 6 с = 19 с
    2 мин − 30 с = 1 мин 60 сек − 30 сек = 1 мин 30 с
    4 ч − 55 мин = 3 ч 60 мин − 55 мин = 3 ч 5 мин
    2 сут − 10 ч = 1 сут 24 ч − 10 ч = 1 сут 14 ч
    2 сут − 30 мин = 1 сут 23 ч 60 мин − 30 мин = 1 сут 23 ч 30 мин

Номер 7.

Ответ:
Математика 4 класс Моро, Бантова - 2 часть страница 69, номер 7. Год 2024.
Подсказка:

Повтори алгоритм письменного деления на двузначные числа.

Шаг 1.
Выполняем вычисления.

156 : 26 = 6

Пояснение к заданию 7

Разделю 156 на 26, получу 6.
156 – 156 = 0.
Частное — 6.

216 : 54 = 4

Пояснение к заданию 7

Разделю 216 на 54, получу 4.
216 – 216 = 0.
Частное — 4.

2924 : 68 = 43

Пояснение к заданию 7

Разделю 2924 на 68. Выделю первое неполное делимое — 292.
Разделю 292 на 68, получу 4. 292 – 272 = 20. Добавляю 4 ед.
Нахожу вторую цифру частного: 204 : 68, получу 3.
Умножу 68 на 3, получу 204.
204 – 204 = 0.
Частное — 43.

3456 : 54 = 64

Пояснение к заданию 7

Разделю 3456 на 54. Выделю первое неполное делимое — 345.
Разделю 345 на 5, получу 6. 345 – 324 = 21. Добавляю 4 ед.
Нахожу вторую цифру частного: 216 : 54, получу 4.
Умножу 54 на 4, получу 216.
216 – 216 = 0.
Частное — 64.

29736 : 56 = 531

Пояснение к заданию 7

Разделю 29736 на 56. Выделю первое неполное делимое — 297.
Разделю 29 на 5, получу 5. 297 – 280 = 17. Добавляю 3 дес.
Нахожу вторую цифру частного: 173 : 56, получу 3.
Умножу 56 на 3, получу 96.
173 – 168 = 5. Добавляю 6 ед.
Нахожу третью цифру частного: 56 : 56 = 1.
Умножу 56 на 1, получу 56.
56 – 56 = 0.
Частное — 531.

38232 : 72 = 531

Пояснение к заданию 7

Разделю 38232 на 72. Выделю первое неполное делимое — 382.
Разделю 382 на 72, получу 5. 382 – 360 = 22. Добавляю 3 дес.
Нахожу вторую цифру частного: 223 : 72, получу 3.
Умножу 72 на 3, получу 216.
223 – 216 = 7. Добавляю 2 ед.
Нахожу третью цифру частного: 72 : 72, получу 1.
Умножу 72 на 1, получу 72.
72 – 72 = 0.
Частное — 531.

136576 : 64 = 2134

Пояснение к заданию 7

Разделю 136576 на 64. Выделю первое неполное делимое — 136.
Разделю 13 на 6, получу 2. 136 – 128 = 8. Добавляю 5 сот.
Нахожу вторую цифру частного: 85 : 64, получу 1.
Умножу 64 на 1, получу 64.
85 – 64 = 21. Добавляю 7 дес.
Нахожу третью цифру частного: 217 : 64, получу 3.
Умножу 64 на 3, получу 192.
217 – 192 = 25. Добавляю 6 ед.
Нахожу четвёртую цифру частного: 256 : 64 = 4.
Умножу 64 на 4, получу 256.
256 – 256 = 0.
Частное — 2134.

191962 : 82 = 2341

Пояснение к заданию 7

Разделю 191962 на 82. Выделю первое неполное делимое — 191.
Разделю 191 на 82, получу 2. 191 – 164 = 27. Добавляю 9 сот.
Нахожу вторую цифру частного: 279 : 82, получу 3.
Умножу 82 на 3, получу 246.
279 – 246 = 33. Добавляю 6 дес.
Нахожу третью цифру частного: 336 : 82, получу 4.
Умножу 82 на 4, получу 328.
336 – 328 = 8. Добавляю 2 ед.
Нахожу четвёртую цифру частного: 82 : 82 = 1.
Умножу 82 на 1, получу 82.
82 – 82 = 0.
Частное — 2341.

Шаг 2.
Оформляем задание в тетрадь.
Пояснение к заданию 7

Номер 8.

Математика 4 класс Моро, Бантова - 2 часть страница 69, номер 8. Год 2024.
Ответ:
Математика 4 класс Моро, Бантова - 2 часть страница 69, номер 8. Год 2024.

80 ∙ 70 − 65 80 ∙ 70 = 5600 5600 − 65 = 5535
20 ∙ 70 − 65 20 ∙ 70 = 1400 1400 − 65 = 1335
8 ∙ 70 − 65 8 ∙ 70 = 560 560 − 65 = 495
2 ∙ 70 − 65 2 ∙ 70 = 140 140 − 65 = 75
6 ∙ 70 − 65 6 ∙ 70 = 420 420 − 65 = 355
4 ∙ 70 − 65 4 ∙ 70 = 280 280 − 65 = 215

Подсказка:

Повтори случаи устного вычитания трёхзначных чисел.

Шаг 1.
Рассмотрим таблицу.
Пояснение к заданию 8
Шаг 2.
Выполняем вычисления.

Если с = 80, то
с ∙ 70 – 65 = 80 ∙ 70 – 65 = 5535
1) 80 ∙ 70 = 5600
2) 5600 − 65 = 5535

Если с = 20, то
с ∙ 70 – 65 = 20 ∙ 70 – 65 = 1335
1) 20 ∙ 70 = 1400
2) 1400 − 65 = 1335

Если с = 8, то
с ∙ 70 – 65 = 8 ∙ 70 – 65 = 495
1) 8 ∙ 70 = 560
2) 560 − 65 = 495

Если с = 2, то
с ∙ 70 – 65 = 2 ∙ 70 – 65 = 75
1) 2 ∙ 70 = 140
2) 140 − 65 = 75

Если с = 6, то
с ∙ 70 – 65 = 6 ∙ 70 – 65 = 355
1) 6 ∙ 70 = 420
2) 420 − 65 = 355

Если с = 4, то
с ∙ 70 – 65 = 4 ∙ 70 – 65 = 215
1) 4 ∙ 70 = 280
2) 280 − 65 = 215

Шаг 3.
Оформляем задание в тетрадь.
Пояснение к заданию 8

Номер 9.

Ответ:
Математика 4 класс Моро, Бантова - 2 часть страница 69, номер 9. Год 2024.
Подсказка:

Повтори алгоритм письменного деления на двузначные числа.

Шаг 1.
Выполняем вычисления.

11661 : 23 = 507

Пояснение к заданию 9

Разделю 11661 на 23. Выделю первое неполное делимое — 116.
Разделю 11 на 2, получу 5.
Умножу 23 на 5, получу 115.
116 – 115 = 1. Добавляю 6 дес.
Нахожу вторую цифру частного: 16 : 23.
16 меньше, чем 23, пишу в частном 0. Добавляю 1 ед.
Нахожу третью цифру частного: 161 : 23, получу 7.
Умножу 23 на 7, получу 161.
161 – 161 = 0.
Частное — 507.

20706 : 34 = 609

Пояснение к заданию 9

Разделю 20706 на 34. Выделю первое неполное делимое — 207.
Разделю 20 на 3, получу 6 — это пробная цифра.
Проверяю, подходит ли цифра 6.
Умножу 34 на 6, получу 204.
207 – 204 = 3. Добавляю 0 дес.
Нахожу вторую цифру частного: 30 : 34.
30 меньше, чем 34, пишу в частном 0. Добавляю 6 ед.
Нахожу третью цифру частного: 306 : 34, получу 9.
Умножу 34 на 9, получу 306.
306 – 306 = 0.
Частное — 609.

48960 : 68 = 720

Пояснение к заданию 9

Разделю 48960 на 68. Выделю первое неполное делимое — 489.
Разделю 48 на 6, получу 8 — это пробная цифра.
Проверяю, подходит ли цифра 8.
Умножу 68 на 8, получу 544. Это больше, чем 489, значит, в частном должно быть меньше, чем 8. Пробую, подходит ли цифра 7.
Умножу 68 на 7, получу 476.
489 – 476 = 13 сот. Добавляю 6 дес.
Нахожу вторую цифру частного: 136 : 68, получу 2.
Умножу 68 на 2, получу 136.
136 – 136 = 0.
Нахожу третью цифру частного: 0 : 68 = 0.
Частное — 720.

40890 : 87 = 470

Пояснение к заданию 9

Разделю 40890 на 87. Выделю первое неполное делимое — 408.
Разделю 40 на 8, получу 5 — это пробная цифра.
Проверяю, подходит ли цифра 5.
Умножу 87 на 5, получу 435. Это больше, чем 408, значит, в частном должно быть меньше, чем 5. Пробую, подходит ли цифра 4.
Умножу 87 на 4, получу 348.
408 – 348 = 60 сот. Добавляю 9 дес.
Нахожу вторую цифру частного: 609 : 87, получу 7.
Умножу 87 на 7, получу 609.
609 – 609 = 0.
Нахожу третью цифру частного: 0 : 87 = 0.
Частное — 470.

773075 : 85 = 9095

Пояснение к заданию 9

Разделю 773075 на 85. Выделю первое неполное делимое — 773.
Разделю 77 на 8, получу 9 — это пробная цифра.
Проверяю, подходит ли цифра 9.
Умножу 77 на 9, получу 765.
773 – 765 = 8. Добавляю 0 сот.
Нахожу вторую цифру частного: 80 : 85.
80 меньше, чем 85, пишу в частном 0. Добавляю 7 дес.
Нахожу третью цифру частного: 807 : 85, получу 9.
807 – 765 = 42. Добавляю 5 ед.
Нахожу четвёртую цифру частного: 425 : 85, получу 5.
425 – 425 = 0.
Частное — 9095.

629260 : 73 = 8620

Пояснение к заданию 9

Разделю 629260 на 73. Выделю первое неполное делимое — 629.
Разделю 62 на 7, получу 8 — это пробная цифра.
Проверяю, подходит ли цифра 8.
Умножу 73 на 8, получу 584.
629 – 584 = 45. Добавляю 2 сот.
Нахожу вторую цифру частного:
452 : 73. Разделю 45 на 7, получу 6 — это пробная цифра.
Проверяю, подходит ли цифра 6.
Умножу 73 на 6, получу 438.
452 – 438 = 14. Добавляю 6 дес.
Нахожу третью цифру частного: 146 : 73, получу 2.
146 – 146 = 0.
Нахожу четвёртую цифру частного: 0 : 73, получу 0.
Частное — 8620.

234135 : 45 = 5203

Пояснение к заданию 9

Разделю 234135 на 45. Выделю первое неполное делимое — 234.
Разделю 23 на 4, получу 5 — это пробная цифра.
Проверяю, подходит ли цифра 5.
Умножу 45 на 5, получу 225.
234 – 225 = 9. Добавляю 1 сот.
Нахожу вторую цифру частного: 91 : 45, получу 2.
Умножу 45 на 2, получу 90.
91 – 90 = 1. Добавляю 3 дес.
Нахожу третью цифру частного: 13 : 45.
13 меньше, чем 45, пишу в частном 0. Добавляю 5 дес.
Нахожу четвёртую цифру частного: 135 : 45, получу 3.
Умножу 45 на 3, получу 135.
135 – 135 = 0.
Частное — 5203.

603720 : 86 = 7020

Пояснение к заданию 9

Разделю 603720 на 86. Выделю первое неполное делимое — 603.
Разделю 60 на 8, получу 7 — это пробная цифра.
Проверяю, подходит ли цифра 7.
Умножу 86 на 7, получу 602.
603 – 602 = 1. Добавляю 7 сот.
Нахожу вторую цифру частного: 17 : 86.
17 меньше, чем 86, пишу в частном 0. Добавляю 2 дес.
Нахожу третью цифру частного: 172 : 86, получу 2.
Умножу 86 на 2, получу 172.
172 – 172 = 0.
Нахожу четвёртую цифру частного: 0 : 86, получу 0.
Частное — 7020.

Шаг 2.
Оформляем задание в тетрадь.
Пояснение к заданию 9

Номер 10.

Ответ:
Математика 4 класс Моро, Бантова - 2 часть страница 69, номер 10. Год 2024.
Подсказка:

Повтори алгоритм письменного деления на двузначные числа.

Шаг 1.
Выполняем вычисления.

3912 : 12 = 326

Пояснение к заданию 10

Разделю 3912 на 12. Выделю первое неполное делимое — 39.
Разделю 39 на 12, получу 3.
Умножу 12 на 3, получу 36.
39 – 36 = 3. Добавляю 1 дес.
Нахожу вторую цифру частного: 31 : 12, получу 2.
Умножу 12 на 2, получу 24.
31 – 24 = 7. Добавляю 2 ед.
Нахожу третью цифру частного: 72 : 12, получу 6.
Умножу 12 на 6, получу 72.
72 – 72 = 0.
Частное — 326.

6748 : 14 = 482

Пояснение к заданию 10

Разделю 6748 на 14. Выделю первое неполное делимое — 67.
Разделю 67 на 14, получу 4.
Умножу 14 на 4, получу 56.
67 – 56 = 11. Добавляю 4 дес.
Нахожу вторую цифру частного: 114 : 14, получу 8.
Умножу 14 на 8, получу 112.
114 – 112 = 2. Добавляю 8 ед.
Нахожу третью цифру частного: 28 : 14, получу 2.
Умножу 14 на 2, получу 28.
28 – 28 = 0.
Частное — 482.

10635 : 15 = 709

Пояснение к заданию 10

Разделю 10635 на 15. Выделю первое неполное делимое — 106.
Разделю 106 на 15, получу 7.
Умножу 15 на 7, получу 105.
106 – 105 = 1. Добавляю 3 дес.
Нахожу вторую цифру частного:
13 : 15. 13 меньше, чем 15, пишу в частном 0. Добавляю 5 ед.
Нахожу третью цифру частного: 135 : 15, получу 9.
Умножу 15 на 9, получу 135.
135 – 135 = 0.
Частное — 709.

11206 : 13 = 862

Пояснение к заданию 10

Разделю 11206 на 13. Выделю первое неполное делимое — 112.
Разделю 112 на 13, получу 8.
Умножу 13 на 8, получу 104.
112 – 104 = 8. Добавляю 0 дес.
Нахожу вторую цифру частного: 80 : 13, получу 6.
Умножу 13 на 6, получу 78.
80 – 78 = 2. Добавляю 6 ед.
Нахожу третью цифру частного: 26 : 13, получу 2.
Умножу 13 на 2, получу 26.
26 – 26 = 0.
Частное — 862.

14562 : 18 = 809

Пояснение к заданию 10

Разделю 14 562 на 18. Выделю первое неполное делимое — 145.
Разделю 145 на 18, получу 8.
Умножу 18 на 8, получу 144.
145 – 144 = 1. Добавляю 6 дес.
Нахожу вторую цифру частного: 16 : 18.
16 меньше, чем 18, пишу в частном 0. Добавляю 2 ед.
Нахожу третью цифру частного: 162 : 18, получу 9.
Умножу 18 на 9, получу 162.
162 – 162 = 0.
Частное — 809.

15640 : 17 = 920

Пояснение к заданию 10

Разделю 15640 на 17. Выделю первое неполное делимое — 156.
Разделю 156 на 17, получу 9.
Умножу 17 на 9, получу 153.
156 – 153 = 3 сот. Добавляю 4 дес.
Нахожу вторую цифру частного: 34 : 17, получу 2.
Умножу 17 на 2, получу 34.
34 – 34 = 0.
Нахожу третью цифру частного: 0 : 17 = 0.
Частное — 920.

58520 : 19 = 3080

Пояснение к заданию 10

Разделю 58520 на 19. Выделю первое неполное делимое — 58.
Разделю 58 на 19, получу 3.
Умножу 19 на 3, получу 57.
58 – 57 = 1. Добавляю 5 сот.
Нахожу вторую цифру частного:
15 : 19. 15 меньше, чем 19, пишу в частном 0. Добавляю 2 дес.
Нахожу третью цифру частного: 152 : 19, получу 8.
Умножу 19 на 8, получу 152.
152 – 152 = 0.
Нахожу четвёртую цифру частного: 0 : 19, получу 0.
Частное — 3080.

43248 : 16 = 2703

Пояснение к заданию 10

Разделю 43248 на 16. Выделю первое неполное делимое — 43.
Разделю 43 на 16, получу 2.
Умножу 16 на 2, получу 32.
43 – 32 = 11. Добавляю 2 сот.
Нахожу вторую цифру частного: 112 : 16, получу 7.
Умножу 16 на 7, получу 112.
112 – 112 = 0.
Нахожу третью цифру частного: 4 : 16.
4 меньше, чем 16, пишу в частном 0. Добавляю 8 ед.
Нахожу четвёртую цифру частного: 48 : 16, получу 3.
Умножу 16 на 3, получу 48.
48 – 48 = 0.
Частное — 2703.

Шаг 2.
Оформляем задание в тетрадь.
Пояснение к заданию 10

Задание на полях страницы

Занимательные рамки.

Математика 4 класс Моро, Бантова - 2 часть страница 69, задание на полях страницы, занимательные рамки. Год 2024.
Ответ:
Математика 4 класс Моро, Бантова - 2 часть страница 69, задание на полях страницы, занимательные рамки. Год 2024.

Проверка:
Первая занимательная рамка:
350 + 360 + 190 = 710 + 190 = 900
350 + 130 + 420 = 350 + 550 = 900
190 + 290 + 420 = 480 + 420 = 900

Вторая занимательная рамка:
70 + 190 + 60 = 130 + 190 = 320
70 + 160 + 90 = 160 + 160 = 320
60 + 170 + 90 = 150 + 170 = 320

Подсказка:

Вспомни свойство занимательных рамок.

Шаг 1.
Рассмотрим рисунок.
Пояснение к заданию на полях страницы
Шаг 2.
Выполняем вычисления.

В занимательных рамках сумма всех чисел на каждой стороне должна равняться числу в центре.
900 – (350 + 190) = 900 – 540 = 360
900 – (420 + 190) = 900 – 610 = 290
900 – (420 + 350) = 900 – 770 = 130
320 – (60 + 70) = 320 – 130 = 190
320 – (90 + 60) = 320 – 150 = 170
320 – (90 + 70) = 320 – 160 = 160

Шаг 3.
Оформляем задание в тетрадь.
Пояснение к заданию на полях страницы

Ребус.

Математика 4 класс Моро, Бантова - 2 часть страница 69, задание на полях страницы, ребус. Год 2024.
Ответ:
Математика 4 класс Моро, Бантова - 2 часть страница 69, задание на полях страницы, ребус. Год 2024.
Подсказка:

Перед нами ребус, для того чтобы найти недостающие цифры необходимо выполнить деление.

Шаг 1.
Рассмотрим ребус.
Пояснение к заданию на полях страницы
Шаг 2.
Разгадаем ребус.

Второе неполное делимое — 207. После того, как 207 разделили на двузначное число, получилось 9. 207 : 9 = 23.
После того, как первое неполное делимое с 6 десятками разделили на 23, получился остаток 20. Значит, получилось разделить на 23 число с 4 десятками. Таким образом, получилось разделить число 46. 46 : 23 = 2. 46 + 20 = 66.

Шаг 3.
Оформим задание в тетрадь.
Пояснение к заданию на полях страницы
Конец страницы
Переход на другие страницы Содержание
Информация на этой странице была полезной?
0/5 (0 голосов)
Нашли ошибку на сайте? Помогите нам ее исправить!

С подпиской рекламы не будет

Подключите премиум подписку со скидкой в 40% за 149 ₽

Понравились решения?
Напишите свой комментарий.

Вам может быть интересно