Математика 4 класс учебник Моро, Бантова 2 часть ответы – страница 68

  • Тип: ГДЗ, Решебник.
  • Авторы: Моро М.И., Бантова М.А., Бельтюкова Г.В. и др.
  • Часть: 2.
  • Год: 2020-2024.
  • Серия: Школа России (ФГОС).
  • Издательство: Просвещение.
Отличается задание? Переключите год учебника.
Переключение года издания

Странички для любознательных

Задачи-расчеты

Номер 1.

Дополни следующие задачи недостающими данными, исходя из условий твоей семьи. Реши задачи. Затем рассмотри другие варианты.
1) Расход горючего дня нашего семейного автомобиля составляет □ л на 100 км. Расстояние от дома до дачи и обратно □ км. Рассчитай, сколько рублей надо затратить на бензин. чтобы съездить на дачу и обратно.
2) Путёвка в санаторий для одного взрослого человека стоит 15000 р., для ребёнка – 9000 р., а путёвка для взрослого вместе с ребёнком стоит 19000 р. Сколько удастся сэкономить твоей семье, если поехать на отдых не по одному в разные санатории, а всем вместе в один санаторий?

Ответ:

1) Вариант 1: Расход горючего для нашего семейного автомобиля составляет 8 л на 100 км. Расстояние от дома до дачи и обратно 50 км. Рассчитай, сколько рублей надо затратить на бензин, чтобы съездить на дачу и обратно, если цена бензина 40 рублей за 1 литр?
8 л бензина - 100 км ? л - 50 км - ? р.
1) 100 : 50 = 2 (раза) − меньше потребуется потратить бензина, чтобы проехать до дачи и обратно. 2) 8 : 2 = 4 (л) − бензина потратится. 3) 4 ∙ 40 = 160 (р.) − стоимость бензина.
Ответ: общая стоимость бензина составляет 160 рублей.
Вариант 2: Расход горючего для нашего семейного автомобиля составляет 4 л на 100 км. Расстояние от дома до дачи и обратно 25 км. Рассчитай, сколько рублей надо затратить на бензин, чтобы съездить на дачу и обратно, если цена бензина 23 рублей за 1 литр?
4 л бензина - 100 км ? л - 25 км - ? р.
1) 100 : 4 = 25 (км) − может проехать машина на 1 литре бензина. 2) 25 : 25 = 1 (л) − бензина нужен машине, чтобы проехать до дома и обратно. 3) 1 ∙ 23 = 23 (р.) − цена бензина для путешествия до дачи и обратно.
Ответ: цена бензина для путешествия составляет 23 р.
Вариант 3: Расход горючего для нашего семейного автомобиля составляет 10 л на 100 км. Расстояние от дома до дачи и обратно 10 км. Рассчитай, сколько рублей надо затратить на бензин, чтобы съездить на дачу и обратно, если цена бензина 40 рублей за 1 литр?
10 л бензина - 100 км ? л - 10 км - ? р.
1) 100 : 10 = в 10 (раз) − меньше. 2) 10 : 10 = 1 (л) − бензина потратится. 3) 1 ∙ 40 = 40 (р.) − стоимость бензина.
Ответ: общая стоимость бензина составляет 40 рублей.
Лишних данных не было. Данных, которых бы не хватало не было.
2) Вариант 1: Предположим, что в семье 2 взрослых и 2 ребенка. 1) 2 ∙ 15000 + 2 ∙ 9000 = 30000 + 18000 = 48000 (р.) − стоила бы поездка в санаторий, если бы все отдыхали отдельно. 2) 2 ∙ 19000 = 38000 (р.) − стоит поездка в санаторий, если отдыхать вместе. 3) 48000 − 38000 = 10000 (р.) − составит экономия.
Ответ: 10000 рублей составит экономия всего.
Вариант 2: Предположим, что в семье 2 взрослых и 1 ребенок. 1) 2 ∙ 15000 + 9000 = 30000 + 9000 = 39000 (р.) − стоила бы поездка в санаторий, если бы все отдыхали отдельно. 2) 1 ∙ 19000 + 15000 = 19000 + 15000 = 34000 (р.) − стоит поездка в санаторий, если отдыхать вместе. 3) 39000 − 34000 = 5000 (р.) − составит экономия.
Ответ: 5000 рублей всего соствит экономия.
Лишних данных не было. Данных, которых бы не хватало не было.

Подсказка:

Повтори единицу длины – километр, единицу объёма – литр и денежную единицу – рубль.

Задача 1.

Шаг 1.
Дополним условие первой задачи.

Расход горючего для нашего семейного автомобиля составляет 8 л на 100 км. Расстояние от дома до дачи и обратно 50 км. Рассчитай, сколько рублей надо затратить на бензин, чтобы съездить на дачу и обратно, если цена бензина 40 рублей за 1 литр?

Шаг 2.
Оформляем условие в виде краткой записи.

8 л бензина – 100 км
? л – 50 км – ? р.

Шаг 3.
Рассуждаем.

Узнаем, во сколько раз меньше потребуется потратить бензина, чтобы проехать до дачи и обратно.
1) 100 : 50 = 2 (раза) − меньше потребуется потратить бензина, чтобы проехать до дачи и обратно.

Шаг 4.
Продолжаем рассуждение.

Узнаем, сколько всего бензина потратится.
2) 8 : 2 = 4 (л) − бензина потратится.

Шаг 5.
Продолжаем рассуждение.

Узнаем, сколько будет стоить данное количество бензина.
3) 4 ∙ 40 = 160 (р.) − стоимость бензина.

Шаг 6.
Записываем ответ.

Ответ: 160 рублей.

Задача 2.

Шаг 1.
Дополним условие второй задачи.

В моей семье:
Взрослых – 2 человека (мама и папа)
Детей – 2 человека (я и брат)

Шаг 2.
Оформляем условие в виде таблицы.
Пояснение к заданию 1
Шаг 3.
Рассуждаем.

Узнаем, сколько стоила бы поездка в санаторий, если бы все отдыхали отдельно.
1) 2 ∙ 15000 + 2 ∙ 9000 = 30000 + 18000 = 48000 (р.) − стоила бы поездка в санаторий, если бы все отдыхали отдельно.

Шаг 4.
Продолжаем рассуждение.

Узнаем, сколько стоит поездка в санаторий, если отдыхать вместе.
2) 2 ∙ 19000 = 38000 (р.) − стоит поездка в санаторий, если отдыхать вместе.

Шаг 5.
Продолжаем рассуждение.

Узнаем, сколько составит экономия.
3) 48000 − 38000 = 10000 (р.) − составит экономия.

Шаг 6.
Записываем ответ.

Ответ: 10000 рублей.

Номер 2.

Принтер (печатающее устройство) к домашнему компьютеру стоит 3600 р. Один картридж (устройство, наполненное чернилами) к нему может отпечатать 2000 страниц. Заправка картриджа стоит 650 р. Всем членами семьи в месяц требуется распечатать 150 страниц.
1) Хватит ли одного картриджа на весь учебный год?
2) Сколько пачек бумаги потребуется в этих условиях в течение одного учебного года для обычной распечатки страниц компьютерного набора?
3) Отпечатать одну страницу компьютерного набора стоит 4 р. Нужно ли покупать принтер или выгоднее пользоваться услугами специалиста? Расскажи, какие данные для ответа на каждый вопрос оказались лишними в этой задаче и какими данными её надо дополнить.

Ответ:

Задача 1: В 1 году 12 месяцев, значит на год потребуется распечатать 1800 страниц. С одного картриджа можно отпечатать 2000 страниц, а 2000 больше, чем 1800, значит одного картриджа на учебный год хватит.
Ответ: да, хватит.
Лишние данные: стоимость принтера и стоимость заправки картриджа.
Задача 2: В 1 году 12 месяцев, значит на год потребуется распечатать 1800 страниц. В пачке бумаги 500 листов. 1800 : 500 = 3 пачки и 300 листов останется, значит в течении года потребуется 3 пачки бумаги и 300 листов, то есть 4 пачки бумаги.
Ответ: 4 пачки бумаги.
Лишние данные: стоимость принтера, стоимость заправки картриджа и количество страниц, которое он может напечатать. Недостающие данные: количество страниц в пачке бумаги.
Задача 3: В 1 году 12 месяцев, значит на год потребуется распечатать 1800 страниц. В пачке бумаги 500 листов стоимостью за 1 - 240 рублей. 1) В год печатается 1800 страниц, а это меньше, чем количество страниц, которые может распечатать картридж. Значит, в течении года катридж заправлять не надо. 2) 1800 : 500 = 3 пачки и 300 листов, значит на год понадобятся 4 пачки бумаги. 3) 4 ∙ 240 = 960 рублей стоит бумага на год. 4) Покупка принтера и покупка бумаги обойдется в: 3600 + 960 = 4560 рублей. 5) Воспользоваться услугами специалиста: 1800 ∙ 4 = 7200 рублей. 6) 4560 меньше, чем 7200, значит, купить принтер будет дешевле, чем пользоваться услугами специалиста.
Ответ: будет выгоднее купить принтер.
Лишние данные: стоимость заправки картриджа (потому что из предыдущих задач понятно, что картриджа хватает на год). Недостающие данные: не указывается стоимость пачки бумаги.

Подсказка:

Повтори денежную единицу – рубль, а также что такое неравенства.

Шаг 1.
Решаем первую задачу.

В 1 году 12 месяцев, значит на год потребуется распечатать 1800 страниц.
С одного картриджа можно отпечатать 2000 страниц, а 2000 больше, чем 1800, значит одного картриджа на учебный год хватит.
Ответ: да, хватит.

Лишние данные: стоимость принтера и стоимость заправки картриджа.

Шаг 2.
Решаем вторую задачу.

В 1 году 12 месяцев, значит на год потребуется распечатать 1800 страниц.
В пачке бумаги 500 листов.
1800 : 500 = 3 пачки и 300 листов останется, значит в течении года потребуется 3 пачки бумаги и 300 листов, то есть 4 пачки бумаги.
Ответ: 4 пачки бумаги.

Лишние данные: стоимость принтера, стоимость заправки картриджа и количество страниц, которое он может напечатать.
Недостающие данные: количество страниц в пачке бумаги.

Шаг 3.
Решаем третью задачу.

В 1 году 12 месяцев, значит на год потребуется распечатать 1800 страниц.
В пачке бумаги 500 листов стоимостью за 1 – 240 рублей.
1) В год печатается 1800 страниц, а это меньше, чем количество страниц, которые может распечатать картридж. Значит, в течении года катридж заправлять не надо.
2) 1800 : 500 = 3 пачки и 300 листов, значит на год понадобятся 4 пачки бумаги.
3) 4 ∙ 240 = 960 рублей стоит бумага на год.
4) Покупка принтера и покупка бумаги обойдется в: 3600 + 960 = 4560 рублей.
5) Воспользоваться услугами специалиста: 1800 ∙ 4 = 7200 рублей.
6) 4560 меньше, чем 7200, значит, купить принтер будет дешевле, чем пользоваться услугами специалиста.
Ответ: будет выгоднее купить принтер.

Лишние данные: стоимость заправки картриджа (потому что из предыдущих задач понятно, что картриджа хватает на год).
Недостающие данные: не указывается стоимость пачки бумаги.

Номер 285.

1) Каждый час токарь изготавливал по 10 деталей и всего изготовил 70 деталей. Сколько часов он работал?
2) Один токарь каждый час изготавливает 8 деталей, а другой – 7 деталей. За сколько часов они изготовят вместе 90 деталей, если выработка в час у них не изменится?
Составь и реши задачи, обратные данной.

Ответ:

Задача 1: Деталей за 1 ч - 10 шт. Всего деталей - 70 шт. Время работы - ? ч
70 : 10 = 7 (ч) – работал токарь.
Ответ: 7 часов всего работал токарь.
Обратная задача 1: Токарь работал 7 ч и изготовил 70 деталей. Какова выработка в час у токаря?
Деталей за 1 ч - ? шт. Всего деталей - 70 шт. Время работы - 7 ч
70 : 7 = 10 (ед.) – в час делал токарь.
Ответ: выработка токаря 10 деталей в час.
Обратная задача 2: Токарь работал 7 ч и изготавливал в час 10 деталей. Сколько всего деталей изготовил токарь?
Деталей за 1 ч - 10 шт. Всего деталей - ? шт. Время работы - 7 ч
10 ∙ 7 = 70 (дет.) – всего изготовил токарь.
Ответ: токарь изготовил 70 деталей.
Задача 2:

Математика 4 класс Моро, Бантова - 2 часть страница 68, номер 285, задача 2. Год 2024.

1) 8 + 7 = 15 (д.) – изготавливают оба токаря за 1 ч. 2) 90 : 15 = 6 (ч) – изготовят 90 деталей.
Ответ: за 6 ч изготовят 90 деталей.
Обратная задача: Один токарь каждый час изготавливает 8 деталей, а другой – 7 деталей. Сколько деталей они изготовят вместе за 6 ч, если выработка в час у них не изменится.

Математика 4 класс Моро, Бантова - 2 часть страница 68, номер 285, обратная задача. Год 2024.

1) 8 + 7 = 15 (д.) – изготавливают оба токаря за 1 ч. 2) 15 ∙ 6 = 90 (д.) – изготовят за 6 ч.
Ответ: 90 деталей изготовят за 6 часов.

Подсказка:

Повтори, что такое обратные задачи и единицу времени — час.

Задача 1.

Шаг 1.
Оформляем условие в виде краткой записи.

Деталей за 1 ч — 10 шт.
Всего деталей — 70 шт.
Время работы — ? ч

Шаг 2.
Рассуждаем.

Узнаем, сколько часов работал токарь, для этого количество всех выполненных деталей разделим на количество деталей, которые токарь делал за час.
70 : 10 = 7 (ч) — работал токарь.

Шаг 3.
Записываем ответ.

Ответ: 7 ч работал токарь.

Обратная задача 1.

Шаг 1.
Составляем обратную задачу.

Токарь работал 7 ч и изготовил 70 деталей. Какова выработка в час у токаря?

Шаг 2.
Оформляем условие в виде краткой записи.

Деталей за 1 ч — ? шт.
Всего деталей — 70 шт.
Время работы — 7 ч

Шаг 3.
Рассуждаем.

Узнаем, сколько деталей изготавливает токарь в час. Для этого общее количество деталей разделим на время работы.
70 : 7 = 10 (шт.) — деталей в час делал токарь.

Шаг 4.
Записываем ответ.

Ответ: выработка токаря 10 деталей в час.

Обратная задача 2.

Шаг 1.
Составляем обратную задачу.

Токарь работал 7 ч и в час изготавливал 10 деталей. Сколько всего деталей изготовил токарь?

Шаг 2.
Оформляем условие в виде краткой записи.

Деталей за 1 ч — 10 шт.
Всего деталей — ? шт.
Время работы — 7 ч

Шаг 3.
Рассуждаем.

Узнаем, сколько всего деталей изготовил токарь. Для этого количество деталей, которые токарь изготавливал за час умножим на время его работы.
10 ∙ 7 = 70 (шт.) — деталей изготовил токарь.

Шаг 4.
Записываем ответ.

Ответ: всего токарь изготовил 70 деталей.

Задача 2.

Шаг 1.
Оформляем условие в виде таблицы.
Пояснение к заданию 285
Шаг 2.
Рассуждаем.

Узнаем, сколько деталей изготавливают оба токаря за один час.
8 + 7 = 15 (д.) — изготавливают оба токаря за 1 ч.

Шаг 3.
Продолжаем рассуждение.

Узнаем, за какое время они вместе изготовят 90 деталей.
90 : 15 = 6 (ч) — время работы.

Шаг 4.
Записываем ответ.

Ответ: за 6 ч они вместе изготовят 90 деталей.

Обратная задача.

Шаг 1.
Составляем обратную задачу.

Один токарь каждый час изготавливает 8 деталей, а другой — 7 деталей. Сколько деталей они изготовят вместе за 6 ч, если выработка в час у них не изменится?

Шаг 2.
Оформляем условие в виде таблицы.
Пояснение к заданию 285
Шаг 3.
Рассуждаем.

Узнаем, сколько деталей изготавливают оба токаря за один час.
8 + 7 = 15 (д.) — изготавливают оба токаря за 1 ч.

Шаг 4.
Продолжаем рассуждение.

Узнаем, сколько деталей они вместе изготовят на 6 часов.
15 ∙ 6 = 90 (д.) — изготовят за 6 ч.

Шаг 5.
Записываем ответ.

Ответ: 90 деталей они вместе изготовят за 6 часов.

Номер 286.

Выполни деление с объяснением.

Ответ:
Математика 4 класс Моро, Бантова - 2 часть страница 68, номер 286. Год 2024.

1) 192480 : 24 Для этого выделю первое неполное делимое – 192 (тысячи). Нахожу первую цифру частного: 192 : 24 = 8 (тысяч). Образую второе неполное делимое: 24 ∙ 8 = 192, 192 − 192 = 0.Добавляю оставшиеся 4 сотни – 4. Нахожу вторую цифру частного: 4 : 24 = 0 (сотен). Образую третье неполное делимое: добавляю к 4 сотням оставшиеся 8 десятков – 48. Нахожу третью цифру частного: 48 : 24 = 2 (десятка). Образую четвёртое неполное делимое: 24 ∙ 2 = 48, 48 − 48 = 0. Добавляю оставшиеся 0 единиц – 0. Нахожу четвёртую цифру частного: 0 : 24 = 0. Проверка:

Математика 4 класс Моро, Бантова - 2 часть страница 68, номер 286, пример 1. Год 2024.

Читаю ответ: при делении 192480 на 24 получится 8020.
2) 146880 : 36 Для этого выделю первое неполное делимое – 146 (тысяч). Нахожу первую цифру частного: 146 : 36 = 4 (тысячи). Образую второе неполное делимое: 36 ∙ 4 = 144, 146 − 144 = 2.Добавляю оставшиеся 8 сотен – 28. Нахожу вторую цифру частного: 28 : 36 = 0 (сотен). Образую третье неполное делимое: добавляю к 28 сотням оставшиеся 8 десятков – 288. Нахожу третью цифру частного: 288 : 36 = 8 (десятков). Образую четвёртое неполное делимое: 36 ∙ 8 = 288, 288 ∙ 288 = 0. Добавляю оставшиеся 0 единиц – 0. Нахожу четвёртую цифру частного: 0 : 36 = 0. Проверка:

Математика 4 класс Моро, Бантова - 2 часть страница 68, номер 286, пример 2. Год 2024.

Читаю ответ: при делении 146880 на 36 получается 4080.
3) 143520 : 16 Разделю 143520 на 16. Для этого выделю первое неполное делимое – 143 (тысячи). Нахожу первую цифру частного: 143 : 16 = 8 (тысяч). Образую второе неполное делимое: 16 ∙ 8 = 128, 143 − 128 = 15. Добавляю оставшиеся 5 сотен – 155. Нахожу вторую цифру частного: 155 : 16 = 9 (сотен). Образую третье неполное делимое: 16 ∙ 9 = 144, 155 − 144 = 11. Добавляю оставшиеся 2 десятка – 112. Нахожу третью цифру частного: 112 : 16 = 7 (десятков). Образую четвёртое неполное делимое: 16 ∙ 7 = 112, 112 − 112 = 0. Добавляю оставшиеся 0 единиц – 0. Нахожу четвёртую цифру частного: 0 : 16 = 0. Проверка:

Математика 4 класс Моро, Бантова - 2 часть страница 68, номер 286, пример 3. Год 2024.

Читаю ответ:при делении 143520 на 16 получается 8970.

Подсказка:

Повтори алгоритм письменного деления на двузначные числа.

Шаг 1.
Выполняем вычисления.

192480 : 24 = 8020

Пояснение к заданию 286

Для этого выделю первое неполное делимое — 192 (тысячи).
Нахожу первую цифру частного: 192 : 24 = 8 (тысяч).
Образую второе неполное делимое: 24 ∙ 8 = 192, 192 − 192 = 0.
Добавляю оставшиеся 4 сотни — 4.
Нахожу вторую цифру частного: 4 : 24 = 0 (сотен).
Образую третье неполное делимое: добавляю к 4 сотням оставшиеся 8 десятков — 48.
Нахожу третью цифру частного: 48 : 24 = 2 (десятка).
Образую четвёртое неполное делимое: 24 ∙ 2 = 48, 48 − 48 = 0.
Добавляю оставшиеся 0 единиц — 0.
Нахожу четвёртую цифру частного: 0 : 24 = 0.
Проверка:

Пояснение к заданию 286

Читаю ответ: при делении 192480 на 24 получится 8020.

146880 : 36 = 4080

Пояснение к заданию 286

Для этого выделю первое неполное делимое — 146 (тысяч).
Нахожу первую цифру частного: 146 : 36 = 4 (тысячи).
Образую второе неполное делимое: 36 ∙ 4 = 144, 146 − 144 = 2.
Добавляю оставшиеся 8 сотен — 28.
Нахожу вторую цифру частного: 28 : 36 = 0 (сотен).
Образую третье неполное делимое: добавляю к 28 сотням оставшиеся 8 десятков — 288.
Нахожу третью цифру частного: 288 : 36 = 8 (десятков).
Образую четвёртое неполное делимое: 36 ∙ 8 = 288, 288 ∙ 288 = 0.
Добавляю оставшиеся 0 единиц — 0.
Нахожу четвёртую цифру частного: 0 : 36 = 0.
Проверка:

Пояснение к заданию 286

Читаю ответ: при делении 146880 на 36 получается 4080.

143520 : 16 = 8970

Пояснение к заданию 286

Разделю 143520 на 16. Для этого выделю первое неполное делимое — 143 (тысячи).
Нахожу первую цифру частного: 143 : 16 = 8 (тысяч).
Образую второе неполное делимое: 16 ∙ 8 = 128, 143 − 128 = 15.
Добавляю оставшиеся 5 сотен — 155.
Нахожу вторую цифру частного: 155 : 16 = 9 (сотен).
Образую третье неполное делимое: 16 ∙ 9 = 144, 155 − 144 = 11.
Добавляю оставшиеся 2 десятка — 112.
Нахожу третью цифру частного: 112 : 16 = 7 (десятков).
Образую четвёртое неполное делимое: 16 ∙ 7 = 112, 112 − 112 = 0.
Добавляю оставшиеся 0 единиц — 0.
Нахожу четвёртую цифру частного: 0 : 16 = 0.
Проверка:

Пояснение к заданию 286

Читаю ответ: при делении 143520 на 16 получается 8970.

Шаг 2.
Оформляем задание в тетрадь.
Пояснение к заданию 286

Номер 287.

Ответ:
Математика 4 класс Моро, Бантова - 2 часть страница 68, номер 287. Год 2024.
Подсказка:

Повтори алгоритм письменного вычитания, умножения и деления многозначных чисел, а также порядок действий.

Шаг 1.
Выполняем вычисления.

273150 : 45 = 6070

Пояснение к заданию 287

Разделю 273150 на 45. Выделю первое неполное делимое — 273. Разделю 27 на 4, получу 6 — это пробная цифра.
Проверяю, подходит ли цифра 6.
Умножу 45 на 6, получу 270.
273 - 270 = 3. Добавляю 1 сот.
Нахожу вторую цифру частного: 31 : 45.
31 меньше, чем 45, пишу в частном 0. Добавляю 5 дес.
Нахожу третью цифру частного:
315 : 45, получу 7. 315 – 315 = 0.
Нахожу четвёртую цифру частного:
0 : 45 = 0.
Частное — 6070.

449920 : 64 = 7030

Пояснение к заданию 287

Разделю 449920 на 64. Выделю первое неполное делимое — 449. Разделю 44 на 6, получу 7 — это пробная цифра.
Проверяю, подходит ли цифра 7.
Умножу 64 на 7, получу 448.
449 - 448 = 1. Добавляю 9 сот.
Нахожу вторую цифру частного: 19 : 64.
19 меньше, чем 64, пишу в частном 0. Добавляю 2 дес.
Нахожу третью цифру частного:
192 : 64, получу 3. 192 – 192 = 0.
Нахожу четвёртую цифру частного:
0 : 64 = 0.
Частное — 7030.

479120 : 53 = 9040

Пояснение к заданию 287

Разделю 479120 на 53. Выделю первое неполное делимое — 479. Разделю 47 на 5, получу 9 — это пробная цифра.
Проверяю, подходит ли цифра 9.
Умножу 53 на 9, получу 477.
479 – 477 = 2. Добавляю 1 сот.
Нахожу вторую цифру частного: 21 : 53.
21 меньше, чем 53, пишу в частном 0. Добавляю 2 дес.
Нахожу третью цифру частного:
212 : 53, получу 4. 212 – 212 = 0.
Нахожу четвёртую цифру частного:
0 : 53 = 0.
Частное — 9040.

923400 : 19 = 48600

Пояснение к заданию 287

Разделю 923400 на 19. Выделю первое неполное делимое — 92. Разделю 92 на 19, получу 4.
92 – 76 = 16. Добавляю 3 тыс.
Нахожу вторую цифру частного:
163 : 19, получу 8.
Умножу 19 на 8, получу 152.
163 – 152 = 11. Добавляю 4 сот.
Нахожу третью цифру частного:
114 : 19, получу 6.
Умножу 19 на 6, получу 114.
114 – 114 = 0.
Нахожу четвёртую цифру частного:
0 : 19 = 0.
Нахожу четвёртую цифру частного:
0 : 19 = 0.
Частное — 48600.

676800 : 18 = 37600

Пояснение к заданию 287

Разделю 676800 на 18. Выделю первое неполное делимое — 67. Разделю 67 на 18, получу 3.
67 – 54 = 13. Добавляю 6 тыс.
Нахожу вторую цифру частного:
136 : 18, получу 7.
Умножу 18 на 7, получу 126.
136 – 126 = 10. Добавляю 8 сот.
Нахожу третью цифру частного:
108 : 18, получу 6.
Умножу 18 на 6, получу 108.
108 – 108 = 0.
Нахожу четвёртую цифру частного:
0 : 18 = 0.
Нахожу четвёртую цифру частного:
0 : 18 = 0.
Частное — 37600.

899200 : 16 = 56200

Пояснение к заданию 287

Разделю 899200 на 16. Выделю первое неполное делимое — 89. Разделю 89 на 16, получу 5. 89 – 80 = 9. Добавляю 9 тыс.
Нахожу вторую цифру частного:
99 : 16, получу 6.
Умножу 16 на 6, получу 96.
99 – 96 = 3. Добавляю 2 сот.
Нахожу третью цифру частного:
32 : 16, получу 2.
Умножу 16 на 2, получу 32.
32 – 32 = 0.
Нахожу четвёртую цифру частного:
0 : 16 = 0.
Нахожу четвёртую цифру частного:
0 : 16 = 0.
Частное — 56200.

90000 – 508 ∙ 173 = 2116
В данном выражении сначала выполняется действие умножение, а затем — вычитание.
1) 508 ∙ 173 = 173 ∙ 508 = 87884

Пояснение к заданию 287

2) 90000 – 87884 = 2116

Пояснение к заданию 287

324 ∙ 250 – 689 = 80311
В данном выражении сначала выполняется действие умножение, а затем – вычитание.
1) 324 ∙ 250 = 81000

Пояснение к заданию 287

2) 81000 – 689 = 80311

Пояснение к заданию 287

5001 – 272 ∙ 16 = 649
В данном выражении сначала выполняется действие умножение, а затем — вычитание.
1) 272 ∙ 16 = 4352

Пояснение к заданию 287

2) 5001 – 4352 = 649

Пояснение к заданию 287
Шаг 2.
Оформляем задание в тетрадь.
Пояснение к заданию 287

Номер 288.

Для перевозки нефти и нефтепродуктов используются специальные цистерны. В прошлом году буровую обслуживали 5 таких цистерн, а в этом году – 7. В семи цистернах стали перевозить на 38 т нефти больше, чем раньше. Сколько тонн нефти перевезли с буровой в прошлом году и сколько в этом?

Ответ:
Математика 4 класс Моро, Бантова - 2 часть страница 68, номер 288. Год 2024.

1) 7 − 5 = 2 (цист.) – на столько больше стало цистерн в этом году, чем в прошлом;
2) 38 : 2 = 19 (т) – нефти в каждой цистерне;
3) 19 ∙ 5 = 95 (т) – нефти перевозили в прошлом году;
4) 19 ∙ 7 = 133 (т) – нефти перевозили в этом году.

Ответ: 95 т нефти всего перевезли в прошлом году, 133 т нефти всего перевезли в этом году.

Подсказка:

Повтори единицу массы — тонну.

Шаг 1.
Оформляем условие в виде таблицы.
Пояснение к заданию 288
Шаг 2.
Рассуждаем.

Узнаем, на сколько больше цистерн стало обслуживать буровую в этом году, чем в прошлом.
7 − 5 = 2 (ц) — на столько больше стало цистерн в этом году, чем в прошлом.

Шаг 3.
Продолжаем рассуждение.

Узнаем, сколько тонн нефти перевозит одна цистерна.
38 : 2 = 19 (т) — нефти перевозит одна цистерна.

Шаг 4.
Продолжаем рассуждение.

Узнаем, сколько тонн нефти перевезли с буровой в прошлом году.
19 ∙ 5 = 95 (т) — нефти перевезли в прошлом году.

Шаг 5.
Продолжаем рассуждение.

Узнаем, сколько тонн нефти перевезли с буровой в этом году.
19 ∙ 7 = 133 (т) — нефти перевезли в этом году.

Шаг 6.
Записываем ответ.

Ответ: 95 т нефти перевезли в прошлом году, 133 т нефти перевезли в этом году.

Номер 289.

На автомашине с прицепом нужно перевезти 1080 ц угля. За один рейс на машине увозили 30 ц, а на прицепе – в 2 раза меньше. Сколько рейсов надо сделать, чтобы перевезти весь уголь?

Ответ:
Математика 4 класс Моро, Бантова - 2 часть страница 68, номер 289. Год 2024.

1) 30 : 2 = 15 (ц) – масса угля на прицепе. 2) 30 + 15 = 45 (ц) – масса угля на машине с прицепом. 3) 1080 : 45 = 24 (р.) – нужно сделать.
Ответ: 24 рейса всего нужно сделать, чтобы перевезти уголь.

Подсказка:

Повтори единицу массы — центнер, а также алгоритм деления на двузначные числа.

Шаг 1.
Оформляем условие в виде таблицы.
Пояснение к заданию 289
Шаг 2.
Рассуждаем.

Узнаем, сколько центнеров угля можно перевезти на прицепе за один раз.
30 : 2 = 15 (ц) — угля можно увезти на прицепе.

Шаг 3.
Продолжаем рассуждение.

Узнаем, сколько центнеров угля можно перевезти на машине с прицепом за раз.
30 + 15 = 45 (ц) — угля можно увезти на машине с прицепом.

Шаг 4.
Продолжаем рассуждение.

Вычислим, сколько рейсов нужно сделать, чтобы перевезти весь уголь.
1080 : 45 = 24 (р.) — нужно сделать.

Пояснение к заданию 289
Шаг 5.
Записываем ответ.

Ответ: 24 рейса нужно сделать.

Номер 290.

Запиши неравенства и докажи, что они верны.
1) Произведение чисел 3806 и 1 меньше их суммы.
2) Произведение чисел 17489 и 0 меньше их суммы.

Ответ:

1) 3806 ∙ 1 < 3806 + 1     3806 < 3807 – верно, так как когда мы умножаем число на 1, мы получаем число равное данному, а когда прибавляем 1 - получаем число, больше данного на 1.
2) 17489 ∙ 0 < 17489 + 0     0 < 17489 – верно, так как когда мы умножаем число на 0, мы получаем нуль, а когда прибавляем 0 - получаем число, равное данному.

Подсказка:

Повтори, как называются числа при сложении и умножении, а также что такое неравенства.

Шаг 1.
Рассуждаем.

Запишем неравенство:
3806 ∙ 1 < 3806 + 1
3806 < 3807
Данное неравенство верно, так как, когда мы умножаем число на 1, мы получаем число равное данному, а когда прибавляем 1 — получаем число, больше данного на 1.

Шаг 2.
Продолжаем рассуждение.

Запишем неравенство:
17489 ∙ 0 < 17489 + 0
0 < 17489
Данное неравенство верно, так как, когда мы умножаем число на 0, мы получаем нуль, а когда прибавляем 0 — получаем число, равное данному.

Шаг 3.
Оформляем задание в тетрадь.

3806 ∙ 1 < 3806 + 1
3806 < 3807

17489 ∙ 0 < 17489 + 0
0 < 17489

Номер 291.

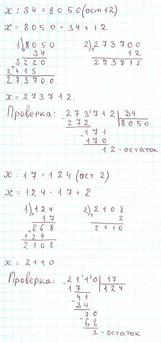
1) Найди делимое, если делитель 34, частное 8050, а остаток 12. Проверь, выполнив деление.
2) Найди делимое, если делитель 17, частное 124, а остаток 2. Сделай проверку.

Ответ:
Математика 4 класс Моро, Бантова - 2 часть страница 68, номер 291. Год 2024.
Подсказка:

Повтори алгоритм письменного умножения и деления на двузначные числа.

Шаг 1.
Составим уравнения.

Согласно описанию составим уравнения.
х : 34 = 8050 (ост. 12)
х : 17 = 124 (ост. 2)

Шаг 2.
Выполняем вычисления.

х : 34 = 8050 (ост. 12)
Чтобы найти делимое, нужно частное умножить на делить и прибавить остаток.
х = 8050 ∙ 34 + 12

Пояснение к заданию 291

х = 273700 + 12
х = 273712

Проверка:
273712 : 34 = 8050 (ост. 12)

Пояснение к заданию 291
Шаг 3.
Продолжаем вычисления.

х : 17 = 124 (ост. 2)
Чтобы найти делимое, нужно частное умножить на делить и прибавить остаток.
х = 124 ∙ 17 + 2

Пояснение к заданию 291

х = 2108 + 2 = 2110

Проверка:
2110 : 17 = 124 (ост. 2)

Пояснение к заданию 291
Шаг 4.
Оформляем задание в тетрадь.
Пояснение к заданию 291

Номер 292.

Какое наибольшее число квадратов со стороной 2 см можно вырезать из квадрата, площадь которого равна 1 дм²?

Ответ:

Площадь маленького квадрата = 2 см ∙ 2 см = 4 см² 1 дм² = 100 см² 100 : 4 = 25 (кв.) – можно вырезать из квадрата, площадь которого равна 1 дм2.
Ответ: 25 квадратов всего можно вырезать из квадрата площадью 1 дм2.

Подсказка:

Повтори, как найти площадь многоугольника.

Шаг 1.
Оформляем краткую запись.

Площадь большого квадрата — 1 дм²
Сторона маленького квадрата — 2 см
Какое наибольшее число маленьких квадратов можно вырезать из большого?

Шаг 2.
Рассуждаем.

Если сторона маленького квадрата — 2 см, то
Его площадь = 2 см ∙ 2 см = 4 см²
1 дм² = 100 см²
Чтобы найти, какое наибольшее число маленьких квадратов можно вырезать из большого, нужно площадь большого квадрата разделить на площадь маленького.
100 : 4 = 25 (кв.) — можно вырезать из большого квадрата.

Шаг 3.
Записываем ответ.

Ответ: 25 квадратов можно вырезать.

Номер 293.

Чтобы открыть сейф, нужно знать код. Известно, что код – трёхзначное число, записанное тремя разными цифрами из цифр 1, 2, 3, 4, и это число больше, чем 400. Сколько чисел нужно проверить, чтобы узнать код?

Ответ:

По условию известно, что кодовое число больше 400, значит первая цифра в нем 4. Остается проверить 3 цифры и комбинации из них. Получатся 6 вариантов: 12, 21, 13, 31, 23, 32, соответственно, нужно проверить 6 чисел: 412, 413, 421, 423, 431, 432.

Подсказка:

Повтори состав трёхзначных чисел.

Шаг 1.
Рассуждаем.

По условию известно, что кодовое число больше 400, значит первая цифра в нем 4. Остается проверить 3 цифры и комбинации из них.
Получатся 6 вариантов: 12, 21, 13, 31, 23, 32, соответственно, нужно проверить 6 чисел:
412, 413, 421, 423, 431, 432.

Шаг 2.
Записываем ответ.

Ответ: нужно проверить 6 чисел.

Задание на полях страницы

Начерти и раскрась узор.

Ответ:
Математика 4 класс Моро, Бантова - 2 часть страница 68, задание на полях страницы. Год 2024.
Подсказка:

Повтори, что такое окружность.

Шаг 1.
Рассмотрим рисунок.
Пояснение к заданию на полях страницы
Шаг 2.
Рассуждаем.

1) Начерти окружность с радиусом 1 см.
2) Начерти 4 такие же окружности так, чтобы они пересеклись в том же центре.
3) Из того же центра проведи окружность с радиусом 1 см 5 мм.
4) Раскрась.

Шаг 3.
Оформляем задание в тетрадь.
Пояснение к заданию на полях страницы

Задание внизу страницы

Проверочные работы с.76 Проверочные работы с.77

Конец страницы
Переход на другие страницы Содержание
Информация на этой странице была полезной?
0/5 (0 голосов)
Нашли ошибку на сайте? Помогите нам ее исправить!

С подпиской рекламы не будет

Подключите премиум подписку со скидкой в 40% за 149 ₽

Понравились решения?
Напишите свой комментарий.

Вам может быть интересно