Математика 4 класс учебник Моро, Бантова 2 часть ответы – страница 57
- Тип: ГДЗ, Решебник.
- Авторы: Моро М.И., Бантова М.А., Бельтюкова Г.В. и др.
- Часть: 2.
- Год: 2020-2024.
- Серия: Школа России (ФГОС).
- Издательство: Просвещение.
Деление на двузначное и трехзначное число
Номер 205.
Объясни по записи, как разделили 384 на 96.
Ответ:384 : 96 = 4 Надо 384 разделить на 96. Разделю 384 не на 96, а на 90, чтобы легче было найти цифру частного. Для этого разделю 38 на 9, получу 4. Это пробная цифра, ее нельзя сразу записать в частном − сначала надо проверить, подходит ли цифра 4. Умножу 96 на 4, получится 384, значит, цифра 4 подходит. Теперь ее можно запить в частном.
Повтори алгоритм письменного деления на двузначное число.
Рассмотрим запись решения примера.
Объясним, как разделили 384 на 96.
384 : 96 = 4
Надо 384 разделить на 96.
Разделю 384 не на 96, а на 90, чтобы легче было найти цифру частного. Для этого разделю 38 на 9, получу 4. Это пробная цифра, ее нельзя сразу записать в частном − сначала надо проверить, подходит ли цифра 4.
Умножу 96 на 4, получится 384, значит, цифра 4 подходит. Теперь ее можно записать в частном.
Номер 206.
Ответ:
Повтори алгоритм письменного деления на двузначные числа.
Выполняем вычисления с пояснениями.
Пишу: 294 : 42.
Разделю 294 не на 42, а на 40, чтобы легче было найти цифру частного. Для этого разделю 29 на 4, получу 7. Это пробная цифра, её нельзя сразу записать в частном – сначала надо проверить, подходит ли цифра 7.
Умножу 42 на 7, получится 294, значит, цифра 7 подходит. Теперь её можно записать в частном.
Пишу: 140 : 35.
Разделю 140 не на 35, а на 30, чтобы легче было найти цифру частного. Для этого разделю 14 на 3, получу 4. Это пробная цифра, её нельзя сразу записать в частном – сначала надо проверить, подходит ли цифра 4.
Умножу 35 на 4, получится 140, значит, цифра 4 подходит. Теперь её можно записать в частном.
Пишу: 230 : 46.
Разделю 230 не на 46, а на 40, чтобы легче было найти цифру частного. Для этого разделю 23 на 4, получу 5. Это пробная цифра, её нельзя сразу записать в частном – сначала надо проверить, подходит ли цифра 5.
Умножу 46 на 5, получится 230, значит, цифра 5 подходит. Теперь её можно записать в частном.
Пишу: 162 : 54.
Разделю 162 не на 54, а на 50, чтобы легче было найти цифру частного. Для этого разделю 16 на 5, получу 3. Это пробная цифра, её нельзя сразу записать в частном – сначала надо проверить, подходит ли цифра 3.
Умножу 54 на 3, получится 162, значит, цифра 3 подходит. Теперь её можно записать в частном.
Пишу: 252 : 63.
Разделю 252 не на 63, а на 60, чтобы легче было найти цифру частного. Для этого разделю 25 на 6, получу 4. Это пробная цифра, её нельзя сразу записать в частном – сначала надо проверить, подходит ли цифра 4.
Умножу 63 на 4, получится 252, значит, цифра 4 подходит. Теперь её можно записать в частном.
Пишу: 504 : 84.
Разделю 504 не на 84, а на 80, чтобы легче было найти цифру частного. Для этого разделю 50 на 8, получу 6. Это пробная цифра, её нельзя сразу записать в частном – сначала надо проверить, подходит ли цифра 6.
Умножу 84 на 6, получится 504, значит, цифра 6 подходит. Теперь её можно записать в частном.
Оформляем задание в тетрадь.
Номер 207.
Выпуская каждый день одинаковое количество машин, завод изготовил 2800 машин за 20 дней. Сколько машин выпустит завод за следующие 36 дней, если он ежедневно будет выпускать на 12 машин больше, чем раньше?
Ответ:
1) 2800 : 20 = 140 (м.) – за день.
2) 140 + 12 = 152 (м.) – будут выпускать за день.
3) 152 ∙ 36 = 5472 (м.) – выпустит завод за 36 дней.
Ответ: 5472 машины всего выпустит завод за 36 дней.
Повтори алгоритм письменного умножения на двузначное число.
Оформляем условие в виде таблицы.
Рассуждаем.
Узнаем, сколько машин в день выпускает завод. Для этого количество машин, выпускаемых за 20 дней разделим на количество дней.
1) 2800 : 20 = 140 (м.) – за день.
Продолжаем рассуждение.
Узнаем, сколько машин будут выпускать в день, если их будет на 12 больше.
2) 140 + 12 = 152 (м.) – будут выпускать за день.
Продолжаем рассуждение.
Чтобы узнать, сколько машин выпустит завод за 36 дней, нужно количество машин, выпускаемых за день, умножить на количество дней.
3) 152 ∙ 36 = 5472 (м.) – выпустит завод за 36 дней.
Записываем ответ.
Ответ: 5472 машины.
Номер 208.
Площадь большой почтовой марки 1800 мм², а её длина 60 мм. Во сколько раз ширина этой марки меньше её длины?
Ответ:
1) 1800 : 60 = 30 (мм) – ширина марки.
2) 60 : 30 = 2 (раза) – ширина марки меньше её длины.
Ответ: в 2 раза меньше ширина марки её длины.
Повтори единицу длины – миллиметр, а также единицы площади.
Оформляем условие в виде краткой записи.
Рассуждаем.
Найдем ширину марки.
1) 1800 : 60 = 30 (мм) – ширина марки.
Продолжаем рассуждение.
Узнаем, какая разница между шириной и длиной данной марки.
2) 60 : 30 = 2 (раза) – ширина марки меньше её длины.
Записываем ответ.
Ответ: в 2 раза.
Номер 209.
Проверь, верны ли неравенства.
Ответ:
Повтори, что такое неравенства.
Выполняем вычисления с пояснением.
Сравниваем только различные множители.
478 ∙ 24 < 478 ∙ (3 ∙ 9)
478 ∙ 24 < 478 ∙ 27
24 < 27
356 ∙ 10 ∙ 6 > 356 ∙ 16
356 ∙ 60 > 356 ∙ 16
10 ∙ 6 > 16
296 ∙ 80 > 296 ∙ (10 + 8)
296 ∙ 80 > 296 ∙ 18
80 > 18
134 ∙ 19 < 134 ∙ 9 ∙ 10
134 ∙ 19 < 134 ∙ 90
19 < 90
Данные неравенства выполнены верно.
Оформляем задание в тетрадь.
478 ∙ 24 < 478 ∙ (3 ∙ 9)
478 ∙ 24 < 478 ∙ 27
356 ∙ 10 ∙ 6 > 356 ∙ 16
356 ∙ 60 > 356 ∙ 16
296 ∙ 80 > 296 ∙ (10 + 8)
296 ∙ 80 > 296 ∙ 18
134 ∙ 19 < 134 ∙ 9 ∙ 10
134 ∙ 19 < 134 ∙ 90
Номер 210.
Ответ:
Повтори, как умножать на круглое число.
Выполняем вычисления.
Чтобы найти значение буквенного выражения, нужно в это выражение вместо букв подставить соответствующие числа и выполнить вычисления.
7 + 8 = 15
20 ∙ (7 + 8) = 20 ∙ 15 = 300
12 + 8 = 20
20 ∙ (12 + 8)= 400
15 + 15 = 30
20 ∙ (15 + 15) = 600
40 + 1 = 41
20 ∙ (40 + 1) = 820
50 + 0 = 50
20 ∙ (50 + 0) = 1 000
0 + 200 = 200
20 ∙ (0 + 200) = 4 000
Оформляем задание в тетрадь.
Задание внизу страницы
Вычисли.
Ответ:
Повтори алгоритм письменного деления на двузначные числа.
Выполняем вычисления с пояснениями.
Пишу: 344 : 43.
Разделю 344 не на 43, а на 40, чтобы легче было найти цифру частного. Для этого разделю 34 на 4, получу 8. Это пробная цифра, её нельзя сразу записать в частном – сначала надо проверить, подходит ли цифра 8.
Умножу 43 на 8, получится 344, значит, цифра 8 подходит. Теперь её можно записать в частном.
Пишу: 368 : 92.
Разделю 368 не на 92, а на 90, чтобы легче было найти цифру частного. Для этого разделю 36 на 9, получу 4. Это пробная цифра, её нельзя сразу записать в частном – сначала надо проверить, подходит ли цифра 4.
Умножу 92 на 4, получится 368, значит, цифра 4 подходит. Теперь её можно записать в частном.
Оформляем задание в тетрадь.
Задание на полях страницы
Цепочка.

Ответ:
18 ∙ 30 = 540 : 20 = 27 ∙ 300 = 8100 : 9 = 900 + 100 = 1000
Повтори, как умножать и делить круглые числа.
Выполняем вычисления по цепочке.
Оформляем задание в тетрадь.
18 ∙ 30 = 540
540 : 20 = 27
27 ∙ 300 = 8 100
8 100 : 9 = 900
900 + 100 = 1 000
Номер 13.
1) Верно ли утверждение: «Если значение каждого слагаемого суммы 36 + 44 увеличить в 20 раз, то и значение суммы увеличится в 20 раз»? Дай ответ и подтверди его.
2) Как изменится значение произведения 15 ·10, если первый множитель увеличить в 4 раза, а второй оставить без изменения? Подтверди ответ вычислениями.
1) 36 + 44 = 80
20 ∙ 36 + 44 ∙ 20 = 720 + 880 = 1600
1600 : 80 = 20
Ответ: да, сумма увеличилась в 20 раз.
2) 15 ∙ 10 = 150
15 ∙ 4 ∙ 10 = 600
600 : 150 = 4
Ответ: да, произведение увеличилось в 4 раза.
Повтори, как называются числа при сложении и умножении.
Рассуждаем.
36 + 44 = 80
Увеличим значение каждого слагаемого в 20 раз и найдём сумму.
20 ∙ 36 + 44 ∙ 20 = 720 + 880 = 1600
Узнаем, во сколько раз увеличилась сумма.
1600 : 80 = 20
Ответ: да, сумма увеличилась в 20 раз.
Продолжаем рассуждения.
15 ∙ 10 = 150
Увеличим первый множитель в 4 раза, а второй оставим без изменений, и найдём произведение.
15 ∙ 4 ∙ 10 = 60 ∙ 10 = 600
Узнаем, во сколько раз увеличилось произведение.
600 : 150 = 4
Ответ: произведение увеличилось в 4 раза.
Оформляем задание в тетрадь.
1) 36 + 44 = 80
20 ∙ 36 + 44 ∙ 20 = 720 + 880 = 1600
1600 : 80 = 20 (раз) – увеличилась сумма.
2) 15 ∙ 10 = 150
15 ∙ 4 ∙ 10 = 60 ∙ 10 = 600
600 : 150 = 4 (раз) – увеличилось произведение.
Номер 14.
Ответ:
Повтори алгоритм умножения на двузначные и трёхзначные числа, деления на двузначные, а также порядок действий.
Выполняем вычисления.
986 ∙ 134 = 132124
701 ∙ 235 = 164735
809 ∙ 350 = 283150
406 ∙ 502 = 203812
34 ∙ (120 – 3920 : 70) = 2176
Выполним вычисления по действиям.
1) 3920 : 70 = 392 : 7 = (350 + 42) : 7 = 50 + 6 = 56
2) 120 – 56 = 60 + 60 – 56 = 60 + 4 = 64
3) 34 ∙ 64 = 2176
(110 – 3420 : 90) ∙ 25 = 1800
Выполним вычисления по действиям.
1) 3420 : 90 = 342 : 9 = (270 + 72) : 9 = 30 + 8 = 38
2) 110 – 38 = 70 + 40 – 38 = 70 + 2 = 72
3) 72 ∙ 25 = 1800
Оформляем задание в тетрадь.
Номер 15.
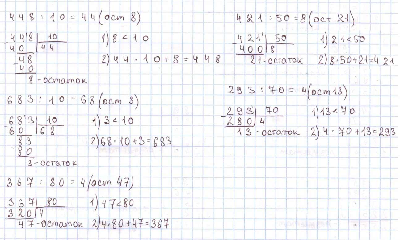
Выполни деление с остатком.
Ответ:
Повтори алгоритм деления с остатком.
Выполняем вычисление.
448 : 10 = 44 (ост. 8)
Первое неполное делимое – 44 десятка. В записи частного будет 2 цифры.
Разделю 44 на 10. Для этого разделю 4 на 1, получу 4 – столько десятков будет в частном.
4 ∙ 10 = 40 – столько десятков разделили.
44 – 40 = 4 – столько десятков осталось разделить.
Сравню остаток с делителем: 4 < 10.
Второе неполное делимое – 48 единиц.
Разделю 48 на 10. Для этого разделю 4 на 1, получу 4 – столько единиц будет в частном.
4 ∙ 10 = 40 – столько единиц разделили.
44 – 40 = 4 – столько единиц осталось разделить.
Сравню остаток с делителем: 8 < 10.
Читаю ответ: частное равно 44, остаток 8.
683 : 10 = 68 (ост. 3)
Первое неполное делимое – 68 десятков. В записи частного будет 2 цифры.
Разделю 68 на 10. Для этого разделю 6 на 1, получу 6 – столько десятков будет в частном.
6 ∙ 10 = 60 – столько десятков разделили.
68 – 60 = 8 – столько десятков осталось разделить.
Сравню остаток с делителем: 8 < 10.
Второе неполное делимое – 83 единицы.
Разделю 83 на 10. Для этого разделю 8 на 1, получу 8 – столько единиц будет в частном.
8 ∙ 10 = 80 – столько единиц разделили.
83 – 80 = 3 – столько единиц осталось разделить.
Сравню остаток с делителем: 3 < 10.
Читаю ответ: частное равно 68, остаток 3.
367 : 80 = 4 (ост. 47)
Так как 36 < 80, то сразу делим 367 на 80. В записи частного будет 1 цифра.
Для этого разделю 36 на 8, получу 4 – столько десятков будет в частном.
4 ∙ 80 = 320 – столько единиц разделили.
367 – 320 = 47 – столько единиц осталось разделить.
Сравню остаток с делителем: 47 < 80.
Читаю ответ: частное равно 4, остаток 47.
421 : 50 = 8 (ост. 21)
Так как 42 < 50, то сразу делим 421 на 50. В записи частного будет 1 цифра.
Для этого разделю 42 на 5, получу 8 – столько десятков будет в частном.
8 ∙ 50 = 400 – столько единиц разделили.
421 – 400 = 21 – столько единиц осталось разделить.
Сравню остаток с делителем: 21 < 50.
Читаю ответ: частное равно 8, остаток 21.
293 : 70 = 4 (ост. 13)
Так как 29 < 70, то сразу делим 293 на 70. В записи частного будет 1 цифра.
Для этого разделю 29 на 7, получу 4 – столько десятков будет в частном.
4 ∙ 70 = 280 – столько единиц разделили.
293 – 280 = 13 – столько единиц осталось разделить.
Сравню остаток с делителем: 13 < 70.
Читаю ответ: частное равно 4, остаток 13.
Оформляем задание в тетрадь.
Номер 16.
Составь и реши задачи по рисункам животных (с. 81).
Ответ:Задача 1: Голубь и воробей одновременно вылетели из дома сороки и после сытного ужина решили немного полетать. Голубь полетел налево, а воробей направо, причем в пути птицы были 2 часа. На каком расстоянии оказалась каждая птица от домика сороки, если известно, что скорость воробья 50 км/ч, а голубя на 30 км/ч больше?
1) 50 + 30 = 80 (км/ч) – скорость, с которой летел голубь.
2) 80 · 2 = 160 (км) – пролетел голубь.
3) 50 · 2 = 100 (км) – пролетел воробей.
Ответ: 160 км пролетел голубь и 100 км пролетел воробей.
Задача 2:
Зебра и жираф – два старых друга решили пойти к другу гепарду и заодно узнать, кто же придет быстрее. На сколько часов раньше придет в гости к гепарду зебра, если ее скорость 60 км/ч, а скорость жирафа – 45 км/ч. До домика гепарда животным нужно бежать 180 км.
1) 180 : 60 = 3 (ч) – будет бежать зебра до домика гепарда.
2) 180 : 45 = 4 (ч) – будет бежать жираф до домика гепарда.
3) 4 – 3 = 1 (ч) – на столько часов раньше зебра доберется до дома гепарда.
Ответ: на 1 час раньше.
Задача 3:
Лев и страус бежали к водопою. Страусу до водопоя нужно было пройти 60 км, а льву – 160 км. Кто первым придет к водопою, если скорость льва – 80 км/ч, а скорость страуса на 50 км/ч меньше?
1) 80 – 50 = 30 (км/ч) – скорость страуса.
2) 60 : 30 = 2 (ч) – потребуются страусу, чтобы добраться до водопоя.
3) 160 : 80 = 2 (ч) – потребуются льву, чтобы добежать до водопоя.
И льву, и страусу потребуются 2 часа, чтобы добраться до водопоя, а это значит, что они придут туда в одно и тоже время.
Ответ: они доберутся до водопоя одновременно.
Повтори взаимосвязь между скоростью, временем и расстоянием.
Шаг 1.
Составляем задачу.
Голубь и воробей одновременно вылетели из дома сороки и после сытного ужина решили немного полетать. Голубь полетел налево, а воробей направо, причем в пути птицы были 2 часа. На каком расстоянии оказалась каждая птица от домика сороки, если известно, что скорость воробья 50 км/ч, а голубя на 30 км/ч больше?
Оформляем условие в виде схематического чертежа.
Рассуждаем.
Узнаем скорость, с которой летел голубь. Для этого прибавим 30 км/ч к скорости воробья.
50 + 30 = 80 (км/ч) – скорость, с которой летел голубь.
Продолжаем рассуждение.
Теперь мы можем узнать, какое расстояние пролетел голубь, для этого скорость умножим на время.
80 ∙ 2 = 160 (км) – пролетел голубь.
Продолжаем рассуждение.
Теперь мы можем узнать, какое расстояние пролетел воробей, для этого скорость умножим на время.
50 ∙ 2 = 100 (км) – пролетел воробей.
Записываем ответ.
Ответ: 160 км пролетел голубь и 100 км пролетел воробей.
Шаг 1.
Составляем задачу.
Зебра и жираф – два старых друга решили пойти к другу гепарду и заодно узнать, кто же придет быстрее. На сколько часов раньше придет в гости к гепарду зебра, если ее скорость 60 км/ч, а скорость жирафа – 45 км/ч. До домика гепарда животным нужно бежать 180 км.
Оформляем условие в виде схематического чертежа.
Рассуждаем.
Узнаем, какое время будет бежать зебра до домика гепарда. Для этого расстояние разделим на её скорость.
180 : 60 = 3 (ч) – будет бежать зебра до домика гепарда.
Продолжаем рассуждение.
Узнаем, какое время будет бежать жираф до домика гепарда. Для этого расстояние разделим на его скорость.
180 : 45 = 4 (ч) – будет бежать жираф до домика гепарда.
Продолжаем рассуждение.
Узнаем, на сколько раньше зебра доберется до дома гепарда, чем жираф.
4 − 3 = 1 (ч) – на столько часов раньше зебра доберется до дома гепарда.
Записываем ответ.
Ответ: на 1 час раньше.
Шаг 1.
Составляем задачу.
Лев и страус бежали к водопою. Страусу до водопоя нужно было пройти 60 км, а льву – 160 км. Кто первым придет к водопою, если скорость льва – 80 км/ч, а скорость страуса на 50 км/ч меньше?
Оформляем условие в виде схематического чертежа.
Рассуждаем.
Узнаем скорость страуса. Для этого вычтем 50 км/ч из скорости льва.
80 − 50 = 30 (км/ч) – скорость страуса.
Продолжаем рассуждение.
Узнаем, сколько времени потребуется страусу, чтобы добраться до водопоя. Для этого расстояние разделим на его скорость.
60 : 30 = 2 (ч) – потребуются страусу, чтобы добраться до водопоя.
Продолжаем рассуждение.
Узнаем, сколько времени потребуется льву, чтобы добраться до водопоя. Для этого расстояние разделим на его скорость.
160 : 80 = 2 (ч) – потребуются льву, чтобы добежать до водопоя.
И льву, и страусу потребуются 2 часа, чтобы добраться до водопоя, а это значит, что они придут туда в одно и тоже время.
Записываем ответ.
Ответ: они доберутся до водопоя одновременно.
Номер 17.
Прочитай задачи. Чем задачи похожи? Чем различаются? Реши задачи. Чем похожи решения задач? Чем различаются?
1) На фабрику по изготовлению фруктового сока привезли 18 одинаковых по массе коробок зелёного винограда и 12 таких же коробок чёрного винограда. Сколько килограммов винограда каждого сорта привезли, если зелёного винограда было на 228 кг больше, чем чёрного?
2) На фабрику по изготовлению фруктового сока привезли в одинаковых по массе коробках 684 кг зелёного винограда и 456 кг чёрного в таких же коробках. Сколько коробок винограда каждого сорта привезли, если коробок с зелёным виноградом было на 6 больше, чем с чёрным?
Задача 1:
1) 18 − 12 = 6 (кор.) – на столько больше привезли или 228 кг;
2) 228 : 6 = 38 (кг) – в одной коробке;
3) 38 ∙ 18 = 684 (кг) – привезли зелёного винограда;
4) 12 ∙ 38 = 456 (кг) – привезли чёрного винограда.
Ответ: 684 кг зелёного винограда привезли и 456 кг чёрного винограда привезли всего.
Задача 2:
1) 684 − 456 = 228 (кг) – на сколько больше привезли зелёного винограда или в 6 коробках;
2) 228 : 6 = 38 (кг) − в одной коробке;
3) 684 : 38 = 18 (кор.) − привезли зелёного винограда;
4) 456 : 38 = 12 (кор.) − привезли чёрного винограда.
Ответ: 18 коробок зелёного винограда привезли всего и 12 коробок чёрного винограда привезли всего.
Сравнение задач и их решений:
В первой задаче нам известно количество коробок и то, на сколько кг больше привезли зелёного винограда, чем чёрного, а во второй задаче наоборот: нам известно количество кг винограда каждого вида, и сказано, что зелёного винограда привезли на 6 коробок больше, чем чёрного.
В первой задаче первым действием мы находим разницу в весе винограда, а во второй – разницу между коробками. Затем делим количество кг на количество коробок и узнаем вместимость одной коробки.
Также есть еще одно различие: в первой задаче мы умножаем полученное значение на количество коробок, и находим количество винограда (в кг), а во второй наоборот делим известные величины (количество привезенного винограда в кг) на вместимость одной коробки и находим количество коробок, каждого винограда.
Эти задачи можно считать обратными.
Повтори единицу объёма – килограмм.
Шаг 1.
Оформляем условие в виде схематического чертежа.
Рассуждаем.
Узнаем, на сколько больше коробок привезли с зелёным виноградом, чем с чёрным. Для этого из большего вычтем меньшее.
18 − 12 = 6 (к.) – на столько больше коробок привезли с зелёным виноградом, чем с чёрным.
Продолжаем рассуждение.
Узнаем, сколько килограммов винограда содержится в одной коробке.
228 : 6 = 38 (кг) – винограда в одной коробке.
Продолжаем рассуждение.
Узнаем, сколько килограммов зелёного винограда привезли.
38 ∙ 18 = 684 (кг) – зелёного винограда привезли.
Продолжаем рассуждение.
Узнаем, сколько килограммов чёрного винограда привезли.
12 ∙ 38 = 456 (кг) – чёрного винограда привезли.
Записываем ответ.
Ответ: привезли 684 кг зелёного винограда и 456 кг чёрного винограда.
Шаг 1.
Оформляем условие в виде схематического чертежа.
Рассуждаем.
Узнаем, на сколько больше килограммов зелёного винограда, чем чёрного привезли. Для этого из большего вычтем меньшее.
684 − 456 = 228 (кг) – на столько больше килограммов зелёного винограда, чем чёрного привезли.
Продолжаем рассуждение.
Узнаем, сколько килограммов винограда содержится в одной коробке.
228 : 6 = 38 (кг) – винограда в одной коробке.
Продолжаем рассуждение.
Узнаем, сколько коробок зелёного винограда привезли.
684 : 38 = 18 (к.) – зелёного винограда привезли.
Продолжаем рассуждение.
Узнаем, сколько коробок чёрного винограда привезли.
456 : 38 = 12 (к.) – чёрного винограда привезли.
Записываем ответ.
Ответ: привезли 18 коробок зелёного винограда и 12 коробок чёрного винограда.
Сравниваем задачи.
В первой задаче нам известно количество коробок и то, на сколько кг больше привезли зелёного винограда, чем чёрного, а во второй задаче наоборот: нам известно количество кг винограда каждого вида, и сказано, что зелёного винограда привезли на 6 коробок больше, чем чёрного. В первой задаче первым действием мы находим разницу в весе винограда, а во второй – разницу между коробками. Затем делим количество кг на количество коробок и узнаем вместимость одной коробки. Также есть еще одно различие: в первой задаче мы умножаем полученное значение на количество коробок, и находим количество винограда (в кг), а во второй наоборот делим известные величины (количество привезенного винограда в кг) на вместимость одной коробки и находим количество коробок, каждого винограда.
Эти задачи можно считать обратными.
Номер 18.
Реши уравнения.
Ответ:
х − 12 = 0
х = 12 + 0
х = 12
Проверка:
12 - 12 = 0
0 = 0
Ответ: х = 12
25 + х = 25
х = 25 − 25
х = 0
Проверка:
25 + 0 = 25
25 = 25
Ответ: х = 0
х : 108 = 1
х = 108 ∙ 1
х = 108
Проверка:
108 : 108 = 1
1 = 1
Ответ: х = 108
у : 1 = 37
у = 37 ∙ 1
у = 37
Проверка:
37 : 1 = 37
37 : 37
Ответ: у = 37
х ∙ 15 = 0
х = 0 : 15
х = 0
Проверка:
0 * 15 = 0
0 = 0
Ответ: х = 0
х ∙ 18 = 18
х = 18 : 18
х = 1
Проверка:
1 * 18 = 18
18 = 18
Ответ: х = 1
Если из числа вычесть само себя, то получится нуль.
Если к числу прибавить нуль, то получится это же число.
Если число разделить на само себя, то получается 1.
Если число разделить на 1, то получится это же число.
Если при умножении числа на другое число получается нуль, то одно из чисел равно нулю.
Если число умножить на 1, то получится само число.
Повтори, как решать уравнения.
Выполняем вычисления.
х – 12 = 0
Чтобы найти уменьшаемое, нужно к вычитаемому прибавить разность.
х = 12 + 0
х = 12
Проверка:
12 – 12 = 0
0 = 0
Ответ: х = 12.
25 + х = 25
Чтобы найти второе слагаемое, нужно из суммы вычесть первое слагаемое.
х = 25 – 25
х = 0
Проверка:
25 + 0 = 25
25 = 25
Ответ: х = 0.
х : 108 = 1
Чтобы найти делимое, нужно частное умножить на делитель.
х = 108 ∙ 1
х = 108
Проверка:
108 : 108 = 1
1 = 1
Ответ: х = 108.
у : 1 = 37
Чтобы найти делимое, нужно частное умножить на делитель.
у = 37 ∙ 1
у = 37
Проверка:
37 : 1 = 37
37 = 37
Ответ: у = 37.
х ∙ 15 = 0
Чтобы найти первый множитель, нужно произведение разделить на второй множитель.
х = 0 : 15
х = 0
Проверка:
0 ∙ 15 = 0
0 = 0
Ответ: х = 0.
х ∙ 18 = 18
Чтобы найти первый множитель, нужно произведение разделить на второй множитель.
х = 18 : 18
х = 1
Проверка:
1 ∙ 18 = 18
18 = 18
Ответ: х = 1.
Оформляем задание в тетрадь.
х − 12 = 0
х = 12 + 0
х = 12
Проверка:
12 − 12 = 0
0 = 0
25 + х = 25
х = 25 − 25
х = 0
Проверка:
25 + 0 = 25
25 = 25
х : 108 = 1
х = 108 ∙ 1
х = 108
Проверка:
108 : 108 = 1
1 = 1
у : 1 = 37
у = 37 ∙ 1
у = 37
Проверка:
37 : 1 = 37
37 = 37
х ∙ 15 = 0
х = 0 : 15
х = 0
Проверка:
0 ∙ 15 = 0
0 = 0
х ∙ 18 = 18
х = 18 : 18
х = 1
Проверка:
1 ∙ 18 = 18
18 = 18
Номер 19.
Начерти и вырежи 4 квадрата со стороной 4 см. Составь из них 2 разных прямоугольника и найди периметр и площадь каждого из них.
Ответ:У нас есть 4 квадрата. Найдем сначала площадь одного из них. S квадрата = а ∙ а S квадрата = 4 ∙ 4 = 16 см²
Первый прямоугольник. Его площадь равна 4 площадям квадратов. Значит, S = 4 ∙ 16 = 64 см², или же можно перемножить ширину квадрата (4 см) на длину 4 сторон вместе взятых (16 см) и тоже получится 64 см².
Второй прямоугольник. Его площадь тоже равна 4 площадям квадратов, тоесть: 4 ∙ 16 = 64 см². Или же можно умножить сумму длин двух сторон квадрата (8 см) на сумму длин двух сторон квадрата (8 см) и тоже получится 64 см².
Периметр первого прямоугольника = (4 см + 4 см ∙ 4 см) ∙ 2 = 40 (см) Периметр второго прямоугольника = (4 см + 4 см + 4 см + 4 см) ∙ 2 = 32 (см)
Повтори, какие бывают многоугольники, а также как найти периметр и площадь прямоугольника.
Начертим квадраты.
Начертим и вырежем 4 квадрата со стороной 4 см.
У нас есть 4 квадрата. Найдем сначала площадь одного из них.
S квадрата = а ∙ а
S квадрата = 4 ∙ 4 = 16 (см²)
Рассуждаем.
Составим первый прямоугольник и найдем его периметр и площадь.
Его площадь равна площади четырёх квадратов.
Длина данного прямоугольника равна длине четырёх сторон квадрата:
4 ∙ 4 см = 16 см
Ширина данного прямоугольника равна одной стороне квадрата – 4 см.
S = 4 ∙ 16 = 64 (см²)
Периметр данного прямоугольника равен сумме всех его сторон:
(4 см + 16 см) ∙ 2 = 20 ∙ 2 = 40 (см)
Продолжаем рассуждения.
Составим второй прямоугольник и найдем его периметр и площадь.
Его площадь тоже равна площади четырёх квадратов.
Длина и ширина данного прямоугольника равны двум сторонам квадратов:
2 ∙ 4 см = 8 см.
S = 8 ∙ 8 = 64 (см²)
Периметр данного прямоугольника равен сумме всех его сторон:
(8 см + 8 см) ∙ 2 = 16 ∙ 2 = 32 (см)
Номер 20.
Рассмотри чертёж и выпиши названия всех треугольников с общей стороной АС; ВС.
Ответ:
Треугольники с общей стороной АС: АСВ, АСD, АСМ. Треугольники с общей стороной ВС: ВСМ, ВСА, ВСD, BCK, BCO.
Повтори, какие бывают треугольники.
Рассмотрим чертеж.
Рассуждаем.
Треугольники с общей стороной АС: АСВ, АСD, АСМ.
Треугольники с общей стороной ВС: ВСМ, ВСА, ВСD, BCK, BCO.
Номер 21.
1) Объясни, почему на 2 делится без остатка любое число, в записи которого последняя цифра 0, 2, 4, 6 или 8.
2) Какой должна быть последняя цифра в записи числа, которое делится без остатка на 5?
1) Если в записи числа последняя цифра 0, 2, 4, 6 и 8, то это четное число, а все четные числа без остатка делятся на 2. 2) Число, которое без остатка делится на 5, должно на конце записи содержать 0 или 5.
Повтори признаки деления на 2 и на 5.
Рассуждаем.
Если в записи числа последняя цифра 0, 2, 4, 6 и 8, то это четное число, а все четные числа без остатка делятся на 2.
Продолжаем рассуждения.
Число, которое без остатка делится на 5, должно на конце записи содержать 0 или 5.
Задание на полях страницы
Найди лишнее выражение.
Ответ:
Лишнее выражение – 120 ∙ 1, потому что это пример на умножение и выполнив действие мы найдем произведение, а все остальные действие на деление и решив их мы найдем частное.
Повтори действия умножение и деление.
Рассмотрим выражения.
240 : 2
360 : 3
600 : 5
120 ∙ 1
480 : 4
720 : 6
1200 : 10
Рассуждаем.
Вычислим выражения.
240 : 2 = 120
360 : 3 = 120
600 : 5 = 120
120 ∙ 1 = 120
480 : 4 = 120
720 : 6 = 120
1200 : 10 = 120
Все выражения имеют одинаковое значение.
120 ∙ 1 – лишнее выражение, потому что это пример на умножение и выполнив действие мы найдем произведение, а все остальные действие на деление и решив их мы найдем частное.
С подпиской рекламы не будет
Подключите премиум подписку со скидкой в 40% за 149 ₽
Напишите свой комментарий.