Математика 2 класс учебник Моро, Волкова 2 часть ответы – страница 76

  • Тип: ГДЗ, Решебник.
  • Авторы: Моро М. И., Волкова С. И., Степанова С. В.
  • Часть: 2.
  • Год: 2020-2024.
  • Серия: Школа России (ФГОС).
  • Издательство: Просвещение.
Отличаются задания? Переключите год учебника.
Переключение года издания

Номер 1.

Используя рисунок и записи, объясни, что обозначают следующие выражения:
3 + 2     12 − (3 + 2)     12 − 3     12 − 2 − 3

Ответ:

1) 3 + 2 = 5 (кг) – масса дыни и арбуза вместе. 2) 12 − (3 + 2) = 7 (кг) – масса тыквы. 3) 12 − 3 = 9 (кг) – масса тыквы и дыни вместе. 4) 12 − 2 − 3 = 7 (кг) – масса тыквы.

Подсказка:

Повтори, из каких частей состоит задача и как оформить краткую запись к ней.

Шаг 1.
Рассмотрим рисунок
Пояснение к заданию 1
Шаг 2.
Объясним, что обозначают записи

3 + 2 - масса дыни и арбуза
12 - (3 + 2) - масса тыквы
12 - 3 - масса тыквы и дыни
12 - 2 - 3 - масса тыквы

Номер 2.

1) За альбом для рисования, краски и кисточку Ира уплатила 30 р. Альбом стоил 10 р., а краски – 12 р. Сколько стоила кисточка?
2) Что узнаешь выполнив действия:
30 − 10, 30 − 12, 12 − 10, 30 : 10, 10 + 12?

Ответ:

1)

математика 2 класс учебник 2 часть Моро страница 76. Номер 2

    1) 10 + 12 = 22 (р.) – стоили альбом и краски.     2) 30 − 22 = 8 (р.) – стоила кисточка.
    Ответ: 8 рублей стоила кисточка.
2) 30 − 10 = 20 (р.) – столько стоили краски и кисточка.     30 − 12 = 18 (р.) – столько стоили альбом и кисточка.     12 − 10 = 2 (р.) – на сколько краски дороже альбома.     30 : 10 = 3 (р.) – столько альбомов можно купить.     10 + 12 = 22 (р.) – столько стоили альбом и краски.

Подсказка:

Повтори, как составить краткую запись задачи.

Шаг 1.
Оформляем условие в виде краткой записи
Пояснение к заданию 2
Шаг 2.
Рассуждаем

Узнаем, сколько стоили краски и альбом вместе.
1) 10 + 12 = 22 (р.) – стоили краски и альбом

Шаг 3.
Продолжаем рассуждение

Чтобы узнать, сколько стоила кисточка, нужно из стоимости всей покупки вычесть стоимость красок и кисточек.
2) 30 – 22 = 8 (р.) – стоила кисточка

Шаг 4.
Записываем ответ

Ответ: кисточка стоила 8 рублей.

Шаг 5.
Объясним, что обозначают записи

30 - 10 = 20 (р.) - стоили краски и кисточка.
30 - 12 = 18 (р.) - стоили альбом и кисточка.
12 - 10 = 2 (р.) - на столько краски дороже альбома.
30 : 10 = 3 (р.) - во столько раз вся покупка дороже альбома.
10 + 12 = 22 (р.) - стоили альбом и краски.

Номер 3.

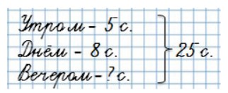
За день Оля прочитала 25 страниц книги: утром 5 страниц, днем 8 страниц. Сколько страниц Оля прочитала вечером?
Реши задачу разными способами.

Ответ:
математика 2 класс учебник 2 часть Моро страница 76. Номер 3

1) 8 + 5 = 13 (стр.) – прочитала Оля утром и днем. 2) 25 – 13 = 12 (стр.) – прочитала Оля вечером.

1) 25 – 5 = 20 (стр.) – осталось прочитать днем и вечером. 2) 20 – 8 = 12 (стр.) – прочитала Оля вечером.

1) 25 – 8 = 17 (стр.) – осталось прочитать Оле утром и вечером. 2) 17 – 5 = 12 (стр.) – осталось прочитать Оле вечером.

Ответ: 12 страниц осталось прочитать Оле вечером.

Подсказка:

Повтори, как составить краткую запись задачи.

Шаг 1.
Оформляем условие в виде краткой записи
Пояснение к заданию 3
Решим задачу первым способом
Шаг 1.
Рассуждаем

Узнаем, сколько страниц Оля прочитала утром и днем вместе.
1) 8 + 5 = 13 (с.) - прочитала утром и днем.

Шаг 2.
Продолжаем рассуждение

Узнаем, сколько страниц Оля прочитала вечером, для этого из всего количества страниц вычтем количество страниц, которые она прочитала утром и днем.
2) 25 - 13 = 12 (с.)

Шаг 3.
Записываем ответ

Ответ: 12 страниц вечером.

Решим задачу вторым способом
Шаг 1.
Рассуждаем

Узнаем, сколько страниц осталось прочитать Оле днем и вечером, для этого из всего количества страниц вычтем количество страниц, которое она прочитала утром.
1) 25 - 5 = 20 (с.) - осталось прочитать днем и вечером.

Шаг 2.
Продолжаем рассуждение

Узнаем, сколько страниц Оля прочитала вечером.
2) 20 - 8 = 12 (с.)

Шаг 3.
Записываем ответ

Ответ: 12 страниц вечером.

Номер 4.

Вспомни, что получится, если произведение двух множителей разделить на один из них, и заполни таблицу.

Ответ:
математика 2 класс Моро, Волкова, Бантова, Бельтюкова - 2 часть страница 76. Номер 4

1 Множитель ∙ 2 множитель = произведение Произведение : 1 множитель = 2 множитель Произведение : 2 множитель = 1 множитель

Подсказка:

Повтори, как называются числа при умножении.
Если произведение двух чисел разделить на один множитель, то получится второй.

Шаг 1.
Выполняем вычисления

2 * 7 = 14
6 : 3 = 2
8 : 2 = 4
12 : 4 = 3
15 : 3 = 5
18 : 6 = 3

Шаг 2.
Оформляем задание в тетрадь
Пояснение к заданию 4

Номер 5.

1) Вычисли периметр каждого многоугольника.
2) Выпиши номера тупых углов многоугольников.

Ответ:

1. 1) 4 ∙ 3 = 12 (см) − периметр четырёхугольника.     2) 3 + 3 + 2 = 8 (см) − периметр треугольника.     3) 6 ∙ 2 = 12 (см) − периметр шестиугольника.
    Ответ: периметр четырехугольника составляет 12 см; периметр треугольника составляет 8 см; периметр шестиугольника составляет 12 см.
2. У четырёхугольника − 1; 3.     У треугольника нет тупых углов.     У шестиугольника − 8; 9; 10; 11; 12; 13.

Подсказка:

Повтори материал о видах углов и о многоугольниках.
В задании могут быть погрешности измерения, мы предлагаем такие числа, у тебя могут быть другие. Это зависит от года издания учебника. Главное, мы показываем тебе принцип и ход решения, а числа ты можешь подставить свои.

Шаг 1.
Вычислим периметры многоугольников

Чтобы найти периметр многоугольника, нужно с помощью линейки измерить все его стороны и полученные результаты сложить, если длины сторон одинаковые, то сложение можно заменить умножением. Тогда:

Периметр синего многоугольника:
4 + 4 + 4 + 4 = 16 (см)
4 * 4 = 16 (см)

Периметр красного треугольника:
3 + 2 + 2 = 7 (см)
2 * 2 + 3 = 7 (см)

Периметр зелёного многоугольника:
2 + 2 + 2 + 2 + 2 + 2 = 12 (см)
2 * 6 = 12 (см)

Шаг 2.
Выпишем номера тупых углом многоугольников

Тупые углы: 1, 3, 8, 9, 10, 11, 12, 13

Пояснение к заданию 5

Задание внизу страницы

Подбирая значения х, реши уравнения.

Ответ:

х ∙ 6 = 12 х = 12 : 6 х = 2 2 ∙ 6 = 12
4 ∙ х = 12 х = 12 : 4 х = 3 4 ∙ 3 = 12
12 : х = 3 х = 12 : 3 х = 4 12 : 4 = 3

Подсказка:

Чтобы найти неизвестный множитель, нужно произведение разделить на известный множитель.
Если делимое разделить на частное, получится делитель.

Шаг 1.
Выполняем вычисления

х ∙ 6 = 12
х = 12 : 6
х = 2
Проверка:
2 ∙ 6 = 12

4 ∙ х = 12
х = 12 : 4
х = 3
Проверка:
4 ∙ 3 = 12

12 : х = 3
х = 12 : 3
х = 4
Проверка:
12 : 4 = 3

Номер 1.

1) У Васи 2 машинки, а у Коли в 3 раза больше, чем у Васи. Сколько машинок у Коли?
2) У Вити 2 машинки, а у Миши на 3 машинки больше, чем у Вити. Сколько машинок у Миши?
Сравни задачи, а затем реши их.
К каждой из этих задач можно сделать схематический рисунок:

Математика 2 класс Моро, Волкова, Бантова, Бельтюкова - 2 часть страница 76, номер 1, 2024 год.
Ответ:

1) 2 ∙ 3 = 6 (м.) – у Коли.

Ответ: 6 машинок у Коли всего.

2) 2 + 3 = 5 (м.) – Миши.

Ответ: 5 машинок у Миши всего.

В первой задачи машинок в 3 раза больше, а во второй на 3 машинки больше.

Подсказка:

Вспомним из каких частей состоит задача.

Шаг 1.
Сравним задачи

В первой задачи машинок в 3 раза больше, а во второй на 3 машинки больше.

Шаг 2.
Рассмотрим схематические чертежи к задачам
Пояснение к заданию 1
Шаг 3.
Решим первую задачу

1) 2 ∙ 3 = 6 (м.) – у Коли.
Ответ: 6 машинок у Коли всего.

Шаг 4.
Решим вторую задачу

2) 2 + 3 = 5 (м.) – Миши.
Ответ: 5 машинок у Миши всего.

Номер 2.

5 + 3 〇 5 · 3      6 · 4 〇 4 · 6      2 + 2 〇 2 · 2
7 + 7 〇 7 · 3      8 · 2 〇 8 · 3      9 + 9 〇 9 · 2

Ответ:

5 + 3 < 5 ∙ 3      6 ∙ 4 = 4 ∙ 6      2 + 2 = 2 ∙ 2
7 + 7 < 7 ∙ 3      8 ∙ 2 < 8 ∙ 3      9 + 9 < 9 ∙ 2

Подсказка:

Равенство – это когда одно количество равно другому.
Неравенство – это когда одна сторона выражения не равна второй.

Шаг 1.
Выполняем вычисления

5 + 3 < 5 ∙ 3
8 < 15

6 ∙ 4 = 4 ∙ 6
24 = 24

2 + 2 = 2 ∙ 2
4 = 4

7 + 7 < 7 ∙ 3
14 < 21

8 ∙ 2 < 8 ∙ 3
16 < 24

9 + 9 = 9 ∙ 2
18 = 18

Шаг 2.
Оформляем задание в тетрадь

5 + 3 < 5 ∙ 3      6 ∙ 4 = 4 ∙ 6      2 + 2 = 2 ∙ 2
7 + 7 < 7 ∙ 3      8 ∙ 2 < 8 ∙ 3      9 + 9 < 9 ∙ 2

Номер 3.

Запиши числа от 4 до 30, которые делятся без остатка на 3; на 4.

Ответ:

Делятся на 3 без остатка:
6, 9, 12, 15, 18, 21, 24, 27, 30.

Делятся на 4 без остатка:
4, 8, 12, 16, 20, 24, 28.

Подсказка:

Повторим таблицу умножения и деления на 3.

Шаг 1.
Выполняем вычисления

Делим данные числа на 3:
6 : 3 = 2
9 : 3 = 3
12 : 3 = 4
15 : 3 = 5
18 : 3 = 6
21 : 3 = 7
24 : 3 = 8
27 : 3 = 9
30 : 3 = 10

Делим данные числа на 4:
4 : 4 = 1
8 : 4 = 2
12 : 4 = 3
16 : 4 = 4
20 : 4 = 5
24 : 4 = 6
28 : 4 = 7

Шаг 2.
Оформляем задание в тетрадь

Делятся на 3 без остатка:
6, 9, 12, 15, 18, 21, 24, 27, 30.

Делятся на 4 без остатка:
4, 8, 12, 16, 20, 24, 28.

Номер 4.

Из каких трёх фигур можно составить квадрат? Запиши их номера. У какой из этих фигур есть ось симметрии?

Математика 2 класс Моро, Волкова, Бантова, Бельтюкова - 2 часть страница 76, номер 4, 2024 год.
Ответ:

Из фигур №1, 2, 4 – можно сделать квадрат.
Из фигур №1, 3, 4 – можно сделать квадрат.
Ось симметрии есть у фигур №2, 3.

Подсказка:

Ось симметрии - это прямая (или воображаемая линия), которая делит геометрическую фигуру на две зеркально одинаковых фигуры.

Шаг 1.
Рассмотрим чертежи на полях страницы
Пояснение к заданию 4
Шаг 2.
Рассмотрим чертежи на полях страницы

Из фигур №1, 2, 4 – можно сделать квадрат.
Из фигур №1, 3, 4 – можно сделать квадрат.
Ось симметрии есть у фигур №2, 3.

Номер 5.

4 · 8      24 : 3      28 – 8 + 37        44 + 2 · 7
9 · 3      28 : 7      45 – 40 + 59      80 – 8 · 2
6 · 4      32 : 4      32 – 32 + 18      48 – 27 : 3

Ответ:

4 · 8 = 32;
9 · 3 = 27;
6 · 4 = 24;

24 : 3 = 8;
28 : 7 = 4;
32 : 4 = 8;

    20
28 – 8 + 37 = 57;
      5
45 – 40 + 59 = 64;
      0
32 – 32 + 18 = 18;

         14
44 + 2 · 7 = 58;
          16
80 – 8 · 2 = 64;
            9
48 – 27 : 3 = 39.

Подсказка:

Действия в числовых выражениях выполняют в следующем порядке:
1) действия, записанные в скобках;
2) умножение и деление;
3) сложение и вычитание.

Шаг 1.
Выполняем вычисления

4 · 8 = 32
9 · 3 = 27
6 · 4 = 24

24 : 3 = 8
28 : 7 = 4
32 : 4 = 8

28 – 8 + 37 = 57
45 – 40 + 59 = 64
32 – 32 + 18 = 18

44 + 2 · 7 = 58
80 – 8 · 2 = 64
48 – 27 : 3 = 39

Шаг 2.
Оформляем задание в тетрадь

4 · 8 = 32
9 · 3 = 27
6 · 4 = 24

24 : 3 = 8
28 : 7 = 4
32 : 4 = 8

28 – 8 + 37 = 57
45 – 40 + 59 = 64
32 – 32 + 18 = 18

44 + 2 · 7 = 58
80 – 8 · 2 = 64
48 – 27 : 3 = 39

Задание внизу страницы.

На выставке было 6 рисунков учеников из второго класса, а рисунков учеников из третьего класса в 2 раза больше. Сколько было на выставке рисунков учеников из третьего класса?

Ответ:
Математика 2 класс Моро, Волкова, Бантова, Бельтюкова - 2 часть страница 76, номер внизу страницы, 2024 год.

6 · 2 = 12 (рис.) – из третьего класса

Ответ: 12 рисунков было на выставке из третьего класса.

Подсказка:

Вспомним из каких частей состоит задача.

Шаг 1.
Оформляем условие задачи в виде краткой записи
Пояснение к заданию 5
Шаг 2.
Рассуждаем

Чтобы узнать, сколько рисунков было на выставке от третьего класса, нужно количество рисунков второго класса умножить на 2, потому что известно, что рисунков третьего класса было в два раза больше.
6 · 2 = 12 (рис.)

Шаг 3.
Записываем ответ

Ответ: 12 рисунков из третьего класса.

Конец страницы
Переход на другие страницы Содержание
Информация на этой странице была полезной?
0/5 (0 голосов)
Нашли ошибку на сайте? Помогите нам ее исправить!

С подпиской рекламы не будет

Подключите премиум подписку со скидкой в 40% за 149 ₽

Понравились решения?
Напишите свой комментарий.

Вам может быть интересно