Математика 2 класс учебник Моро, Волкова 2 часть ответы – страница 77

  • Тип: ГДЗ, Решебник.
  • Авторы: Моро М. И., Волкова С. И., Степанова С. В.
  • Часть: 2.
  • Год: 2020-2024.
  • Серия: Школа России (ФГОС).
  • Издательство: Просвещение.
Отличаются задания? Переключите год учебника.
Переключение года издания

Номер 1.

Объясни, почему верны равенства.

Ответ:

4 ∙ 6 = 6 ∙ 4 − верно, так как от перемены мест множителей произведение не меняется.
2 ∙ 8 = 8 ∙ 2 − верно, так как от перемены мест множителей произведение не меняется.
10 ∙ 4 + 10 = 10 ∙ 5 – верно, так как, если заменить умножение сложением, то в каждой части равенства число 10 взято одинаковое количество раз.
8 ∙ 7 = 8 ∙ 6 + 8 – верно, так как, если заменить умножение сложением, то в каждой части равенства число 8 взято одинаковое количество раз.

Подсказка:

Запись, в которой есть знак РАВНО, называется РАВЕНСТВОМ.

Шаг 1.
Объясним, почему верны равенства

4 ∙ 6 = 6 ∙ 4 − верно, так как от перемены мест множителей произведение не меняется.

2 ∙ 8 = 8 ∙ 2 − верно, так как от перемены мест множителей произведение не меняется.

10 ∙ 4 + 10 = 10 ∙ 5 – верно, так как, если заменить умножение сложением, то в каждой части равенства число 10 взято одинаковое количество раз.

8 ∙ 7 = 8 ∙ 6 + 8 – верно, так как, если заменить умножение сложением, то в каждой части равенства число 8 взято одинаковое количество раз.

Шаг 2.
Оформляем задание в тетрадь
Пояснение к заданию 1

Номер 2.

Ответ:

8 ∙ 2 + 8 < 8 ∙ 4, потому что 8 ∙ 3 < 8 ∙ 4 9 ∙ 4 − 9 > 9 ∙ 2, потому что 9 ∙ 3 > 9 ∙ 2
10 ∙ 7 = 8 ∙ 10 − 10, потому что 10 ∙ 7 = 7 ∙ 10 15 ∙ 2 < 2 ∙ 15 + 2, потому что 15 ∙ 2 < 2 ∙ 16

Подсказка:

Запись, в которой есть знак РАВНО, называется РАВЕНСТВОМ.
Запись, в которой есть знак БОЛЬШЕ или МЕНЬШЕ, называется НЕРАВЕНСТВОМ.

Шаг 1.
Выполняем вычисления

8 * 2 + 8 < 8 * 4
8 * 3 < 8 * 4
24 < 32

9 * 4 - 9 > 9 * 2
9 * 3 > 9 * 2
27 > 18

10 * 7 = 8 * 10 - 10
10 * 7 = 7 * 10
70 = 70

15 * 2 < 2 * 15 + 2
30 < 30 + 2
30 < 32

Шаг 2.
Оформляем задание в тетрадь

8 ∙ 2 + 8 < 8 ∙ 4, потому что 8 ∙ 3 < 8 ∙ 4
9 ∙ 4 − 9 > 9 ∙ 2, потому что 9 ∙ 3 > 9 ∙ 2

10 ∙ 7 = 8 ∙ 10 − 10, потому что 10 ∙ 7 = 7 ∙ 10
15 ∙ 2 < 2 ∙ 15 + 2, потому что 15 ∙ 2 < 2 ∙ 16

Номер 3.

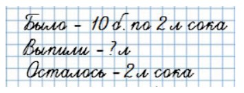
На зиму семья заготовила 10 двухлитровых банок яблочного сока. К весне осталось только 2 л сока. Сколько литров сока выпито за зиму?

Ответ:

Было – 10 б. по 2 л Выпито – ? л Осталось – 2 л
1) 2 ∙ 10 = 20 (л) – сока всего у семьи. 2) 20 − 2 = 18 (л) – сока выпили в семье.
Ответ:18 литров сока выпили в семье всего.

Подсказка:

Повтори, как составить краткую запись задачи.

Шаг 1.
Оформляем условие в виде краткой записи
Пояснение к заданию 3
Шаг 2.
Рассуждаем

Узнаем, сколько литров сока всего заготовили на зиму.
1) 2 * 10 = 20 (л) - заготовили на зиму.

Шаг 3.
Продолжаем рассуждение

Чтобы узнать, сколько литров сока осталось, нужно из всего количества заготовленного сока вычесть количество сока, который остался.
2) 20 - 2 = 18 (л)

Шаг 4.
Записываем ответ

Ответ: 18 л сока выпили.

Номер 4.

В столовой на приготовления щей и салата израсходовали 3 кочана капусты. Масса первого кочана 5 кг, второго 4 кг. Узнай массу третьего кочана, если масса всех трех кочанов 13 кг.

Ответ:

математика 2 класс учебник 2 часть Моро страница 77. Номер 4
1) 5 + 4 = 9 (кг) – масса первого и второго кочана. 2) 13 − 9 = 4 (кг) – масса третьего кочана.
Ответ: 4 килограмма весит третий кочан.

Подсказка:

Повтори, как составить краткую запись задачи.

Шаг 1.
Оформляем условие в виде краткой записи
Пояснение к заданию 4
Шаг 2.
Рассуждаем

Узнаем, сколько килограмм весят 2 кочана.
1) 5 + 4 = 9 (кг) - масса двух кочанов.

Шаг 3.
Продолжаем рассуждение

Чтобы узнать, чему равна масса третьего кочана, нужно из массы всех кочанов вычесть массу двух.
2) 13 - 9 = 4 (кг)

Шаг 4.
Записываем ответ

Ответ: масса третьего кочана 4 кг.

Номер 5.

Какими одинаковыми монетами можно набрать 15 р.? 8 р.? 10 р.?

Ответ:

15 ∙ 1 = 15 − 15 монет по 1 рублю. 3 ∙ 5 = 15 − 3 монеты по 5 рублей.
8 ∙ 1 = 8 − 8 монет по 1 рублю. 4 ∙ 2 = 8 − 4 монеты по 2 рубля.
10 ∙ 1 = 10 − 10 монет по 1 рублю. 5 ∙ 2 = 10 − 5 монет по 2 рубля. 2 ∙ 5 = 10 − 2 монеты по 5 рублей.

Подсказка:

Сумму одинаковых слагаемых можно заменить умножением.

Шаг 1.
Выполняем вычисления при помощи монет
Пояснение к заданию 5
Шаг 2.
Оформляем задание в тетрадь

1)
5 * 3 = 15 (р.)
1 * 15 = 15 (р.)

2)
2 * 4 = 8 (р.)
1 * 8 = 8 (р.)м

3)
2 * 5 = 10 (р.)
5 * 2 = 10 (р.)
1 * 10 = 10 (р.)

Номер 6.

Реши уравнения.

Ответ:

73 - х = 70 х = 73 - 70 х = 3 Проверка: 73 - 3 = 70 70 = 70 Ответ: х = 3
35 + х = 40 х = 40 - 35 х = 5 Проверка: 35 + 5 = 40 40 = 40 Ответ: х = 5
х - 6 = 24 х = 24 + 6 х = 30 Проверка: 40 - 6 = 34 34 = 34 Ответ: х = 30

Подсказка:

Решить уравнение – это значит найти такое значение неизвестного числа, при котором это равенство станет верным.
Чтобы найти неизвестное слагаемое, нужно из суммы вычесть известное слагаемое.
Чтобы найти неизвестное вычитаемое, нужно из уменьшаемого вычесть разность.
Чтобы найти уменьшаемое, нужно к разности прибавить вычитаемое.

Шаг 1.
Оформляем задание в тетрадь

73 - х = 70
х = 73 - 70
х = 3
Проверка:
73 - 3 = 70
70 = 70

35 + х = 40
х = 40 - 35
х = 5
Проверка:
35 + 5 = 40
40 = 40

х - 6 = 24
х = 24 + 6
х = 30
Проверка:
30 - 6 = 24
24 = 24

Номер 7.

Ответ:

4 + 8 − 7 = 12 − 7 = 5 6 + 7 − 9 = 13 − 9 = 4
76 − 9 + 3 = 67 + 3 = 70 53 − 5 − 8 = 48 − 8 = 40
62 − (32 + 8) = 62 − 40 = 22 89 − (76 + 4) = 89 − 80 = 9

Подсказка:

Повтори случаи табличного сложения и вычитания и порядок действий при решении числовых выражений со скобками.

Шаг 1.
Выполняем вычисления

4 + 8 - 7 = 12 - 7 = 5
6 + 7 - 9 = 13 - 9 = 4

76 - 9 + 3 = 67 + 3 = 70
53 - 5 - 8 = 48 - 8 = 40

62 - (32 + 8) = 62 - 40 = 22
89 - (76 + 4) = 89 - 80 = 9

Шаг 2.
Оформляем задание в тетрадь
Пояснение к заданию 7

Номер 8.

Вычисли и выполни проверку.

Ответ:
математика 2 класс Моро, Волкова, Бантова, Бельтюкова - 2 часть страница 77. Номер 8
Подсказка:

Вспомни, как проверить результат сложения и результат вычитания.

Шаг 1.
Выполняем вычисления
Пояснение к заданию 8
Шаг 2.
Оформляем задание в тетрадь
Пояснение к заданию 8-1

Номер 9.

Вычисли удобным способом.

Ответ:

1 + 5 + 9 + 15 = (1 + 9) + (5 + 15) = 10 + 20 = 30 18 + 7 + 13 + 22 = (18 + 22) + (7 + 13) = 40 + 20 = 60
26 + 19 + 20 + 4 = (26 + 4) + 20 + 19 = 50 + 19 = 69 47 + 35 + 13 = (47 + 13) + 35 = 60 + 35 = 95

Подсказка:

От перестановки мест слагаемых сумма не меняется.
Два соседних слагаемых можно заменить их суммой.

Шаг 1.
Выполняем вычисления

1 + 5 + 9 + 15 = (15 + 5) + (9 + 1) = 20 + 10 = 30.
18 + 7 + 13 + 22 = (18 + 22) + (13 + 7) = 40 + 20 = 60.

26 + 19 + 20 + 4 = (26 + 4) + (19 + 20) = 30 + 39 = 69.
47 + 35 + 13 = (47 + 13) + 35 = 60 + 35 = 95

Шаг 2.
Оформляем задание в тетрадь

1 + 5 + 9 + 15 = 30
18 + 7 + 13 + 22 = 60
26 + 19 + 20 + 4 = 69
47 + 35 + 13 = 95

Номер 10.

У Юры есть 3 шарика разного цвета. Сколькими способами он может сложить пирамиду из двух шариков? из трех шариков?

Ответ:

Шесть способов: синий + зеленый, зеленый + синий, синий + красный, красный + синий, красный + зеленый, зеленый + красный.
Шесть способов: синий + красный + зеленый, синий + зеленый + красный, красный + синий + зеленый, красный + зеленый + синий, зеленый + красный + синий, зеленый + синий + красный.

Подсказка:

Внимательно рассмотри рисунок и найди все способы составления пирамидок.

Шаг 1.
При помощи рисунка на полях страницы ответим на первый вопрос

1) Сколькими способами он может сложить пирамиду из двух шариков?

Пояснение к заданию 10
Шаг 2.
При помощи рисунка на полях страницы ответим на второй вопрос

2) Сколькими способами он может сложить пирамиду из трёх шариков?

Пояснение к заданию 10-1
Шаг 3.
Оформим задание в тетрадь

1) Сколькими способами он может сложить пирамиду из двух шариков?
Два способа.

2) Сколькими способами он может сложить пирамиду из трёх шариков?
Шесть способов.

Задание внизу страницы

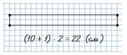
Начерти прямоугольник со сторонами 1 см и 10 см. Найди его периметр.

Ответ:

Чертим прямоугольник со сторонами 1 см и 10 см.

математика 2 класс Моро, Волкова, Бантова, Бельтюкова - 2 часть страница 77. Задание внизу страницы
Подсказка:

Периметр прямоугольника - это сумма длины и ширина, умноженная на 2.

Шаг 1.
Начертим прямоугольник с заданными сторонами
Пояснение к заданию 11
Шаг 2.
Найдем периметр данного прямоугольника

Р = (10 + 1) * 2 = 22 (см)

Шаг 3.
Оформим задание в тетрадь
Пояснение к заданию 11-1

Уменьшение числа в несколько раз

Номер 1.

Будут ли рисунки к заданиям 1 и 2 одинаковыми?
1) Нарисуй 12 кружков, а треугольников в 3 раза меньше, чем кружков.
2) Нарисуй 12 красных кружков, а синих на 3 меньше, чем красных.

Ответ:

1)

Математика 2 класс Моро, Волкова, Бантова, Бельтюкова - 2 часть страница 77, номер 1, 2024 год.

12 : 3 = 4 синих треугольника.

2)

Математика 2 класс Моро, Волкова, Бантова, Бельтюкова - 2 часть страница 77, номер 1-1, 2024 год.

12 – 3 = 9 синих кружков.

Подсказка:

Чтобы уменьшить число в несколько раз, нужно разделить его на число, соответствующее количеству раз.

Шаг 1.
Выполняем первое задание

Нарисуем 12 кружков, а треугольников в 3 раза меньше, чем кружков.

Пояснение к заданию 1

12 : 3 = 4 синих треугольника.

Шаг 2.
Выполняем второе задание

Нарисуем 12 красных кружков, а синих на 3 меньше, чем красных.

Пояснение к заданию 1-1

12 – 3 = 9 синих кружков.

Номер 2.

Проверь, верны ли равенства и неравенства.
4 · 7 + 4 = 4 · 8      35 – (5 + 7) < 30          36 : 4 < 36
3 · 8 + 3 < 3 · 9      48 + (14 – 12) > 50      27 : 3 < 10

Ответ:

4 · 7 + 4 = 4 · 8 – верно;
32 = 32.

3 · 8 + 3 < 3 · 9 – неверно;
27 = 27.

35 – (5 + 7) < 30 – верно;
23 < 30.

48 + (14 – 12) > 50 – неверно;
50 = 50.

36 : 4 < 36 – верно;
9 < 36.

27 : 3 < 10 – верно.
9 < 10.

Подсказка:

Равенство – это когда одно количество равно другому.
Неравенство – это когда одна сторона выражения не равна второй.

Шаг 1.
Выполняем вычисления

4 · 7 + 4 = 4 · 8 – верно
32 = 32

3 · 8 + 3 < 3 · 9 – неверно
27 = 27

35 – (5 + 7) < 30 – верно
23 < 30

48 + (14 – 12) > 50 – неверно
50 = 50

36 : 4 < 36 – верно
9 < 36

27 : 3 < 10 – верно
9 < 10

Шаг 2.
Оформляем задание в тетрадь

4 · 7 + 4 = 4 · 8 – верно
32 = 32

3 · 8 + 3 < 3 · 9 – неверно
27 = 27

35 – (5 + 7) < 30 – верно
23 < 30

48 + (14 – 12) > 50 – неверно
50 = 50

36 : 4 < 36 – верно
9 < 36

27 : 3 < 10 – верно
9 < 10

Номер 3.

(Устно.) Назови в каждом уравнении значение х. Чем отличается одно уравнение от других?
x · 7 = 14      x : 3 = 6      1 · x = x

Ответ:

х · 7 = 14;
х = 2.

х : 3 = 6;
х = 18.

1 · х = х;
х = 1.

Отличается уравнение 1 · х = х от других тем, что значение уравнения равно х.

Подсказка:

Уравнение - это математическое равенство, в котором неизвестна одна или несколько величин. Значение неизвестных нужно найти так, чтобы при их подстановке в пример получилось верное числовое равенство.

Шаг 1.
Назовем значение х в каждом уравнении

х · 7 = 14
х = 2

х : 3 = 6
х = 18

1 · х = х
х = 1

Шаг 2.
Назовем отличия

Отличается уравнение 1 · х = х от других тем, что значение уравнения равно х.

Номер 4.

7 · 4      24 : 6      81 – 40 + 9      51 – 15 : 5
3 · 9      21 : 7      56 + 30 – 7      51 – 21 : 3
2 · 3      27 : 9      67 – 7 – 4         51 – 24 : 4

Ответ:

7 · 4 = 28;
3 · 9 = 27;
2 · 3 = 6;

24 : 6 = 4;
21 : 7 = 3;
27 : 9 = 3;

    41
81 – 40 + 9 = 50;
    86
56 + 30 – 7 = 79;
    60
67 – 7 – 4 = 56;

             3
51 – 15 : 5 = 48;
             7
51 – 21 : 3 = 44;
             6
51 – 24 : 4 = 45.

Подсказка:

Действия в числовых выражениях выполняют в следующем порядке:
1) действия, записанные в скобках;
2) умножение и деление;
3) сложение и вычитание.

Шаг 1.
Выполняем вычисления

7 · 4 = 28
3 · 9 = 27
2 · 3 = 6

24 : 6 = 4
21 : 7 = 3
27 : 9 = 3

81 – 40 + 9 = 50
56 + 30 – 7 = 79
67 – 7 – 4 = 56

51 – 15 : 5 = 48
51 – 21 : 3 = 44
51 – 24 : 4 = 45

Шаг 2.
Оформляем задание в тетрадь

7 · 4 = 28
3 · 9 = 27
2 · 3 = 6

24 : 6 = 4
21 : 7 = 3
27 : 9 = 3

81 – 40 + 9 = 50
56 + 30 – 7 = 79
67 – 7 – 4 = 56

51 – 15 : 5 = 48
51 – 21 : 3 = 44
51 – 24 : 4 = 45

Номер 5.

В школьный буфет привезли в ящиках 36 кг яблок, по 9 кг в каждом ящике. Сколько ящиков яблок привезли в буфет?
Составь и реши две задачи, обратные данной.

Ответ:

36 : 9 = 4 (ящ.) – привезли.

Ответ: 4 ящика всего привезли в буфет.

Обратная задача №1:
В школьный буфет привезли 4 ящика по 9 кг в каждом. Сколько всего кг привезли?

4 · 9 = 36 (кг) – привезли.

Ответ: 36 кг яблок привезли всего в школьный буфет.

Обратная задача №2:
В школьный буфет привезли в 4 ящиках 36 кг яблок. Сколько кг в одном ящике?
36 : 4 = 9 (кг) – в одном ящике.

Ответ: 9 кг яблок водном ящике.

Подсказка:

Задача называется обратной, если одно известное в ней стало неизвестным, а одно неизвестное стало известным.

Шаг 1.
Оформляем условие задачи в виде таблицы

Пояснение к заданию 5

Шаг 2.
Рассуждаем

Чтобы узнать сколько ящиков привезли, нужно массу всех ящиков разделить на массу одного ящика.
36 : 9 = 4 (ящ.)

Шаг 3.
Записываем ответ

Ответ: 4 ящика привезли.

Составим и решим первую задачу обратную данной.
Шаг 1.
Составляем первую задачу обратную данной

В школьный буфет привезли 4 ящика по 9 кг в каждом. Сколько всего кг привезли?

Шаг 2.
Оформляем условие задачи в виде таблицы

Пояснение к заданию 5-1

Шаг 3.
Рассуждаем

Чтобы узнать, чему равна масса всех привезенных ящиков, нужно количество ящиков умножить на массу одного ящика.
4 · 9 = 36 (кг)

Шаг 4.
Записываем ответ

Ответ: 36 кг привезли.

Составим и решим вторую задачу обратную данной.
Шаг 1.
Составляем вторую задачу обратную данной

В школьный буфет привезли в 4 ящиках 36 кг яблок. Сколько кг в одном ящике?

Шаг 2.
Оформляем условие задачи в виде таблицы

Пояснение к заданию 5-2

Шаг 3.
Рассуждаем

Чтобы узнать, сколько кг яблок в одном ящике, нужно массу яблок во всех ящиках разделить на их количество.
36 : 4 = 9 (кг)

Шаг 4.
Записываем ответ

Ответ: 9 кг в одном ящике.

Номер 6.

Проверь, знаешь ли ты таблицу умножения на 3; на 4 (называй результат и проверяй по таблице на обороте обложки).

Ответ:

3 · 2 = 6;
3 · 3 = 9;
3 · 4 = 12;
3 · 5 = 15;
3 · 6 = 18;
3 · 7 = 21;
3 · 8 = 24;
3 · 9 = 27;
3 · 10 = 30.

2 · 4 = 8;
3 · 4 = 12;
4 · 4 = 16;
5 · 4 = 20;
6 · 4 = 24;
7 · 4 = 28;
8 · 4 = 32;
9 · 4 = 36;
10 · 4 = 40.

Подсказка:

Вспомним и повторим таблицу умножения.

Шаг 1.
Вспомним таблицу умножения на 3

3 · 2 = 6
3 · 3 = 9
3 · 4 = 12
3 · 5 = 15
3 · 6 = 18
3 · 7 = 21
3 · 8 = 24
3 · 9 = 27
3 · 10 = 30

Шаг 2.
Вспомним таблицу умножения на 4

2 · 4 = 8
3 · 4 = 12
4 · 4 = 16
5 · 4 = 20
6 · 4 = 24
7 · 4 = 28
8 · 4 = 32
9 · 4 = 36
10 · 4 = 40

Задание внизу страницы.

У хозяйки 15 цыплят, а утят в 3 раза меньше. Сколько утят у хозяйки?

Ответ:
Математика 2 класс Моро, Волкова, Бантова, Бельтюкова - 2 часть страница 77, номер внизу страницы, 2024 год.

15 : 3 = 5 (ут.) – было у хозяйки.

Ответ: 5 утят всего было у хозяйки.

Подсказка:

Вспомним, из каких частей состоит задача.

Шаг 1.
Оформляем условие задачи в виде краткой записи
Пояснение к заданию 6
Шаг 2.
Рассуждаем

Узнаем, сколько утят было у хозяйки, для этого количество цыплят разделим на 3, потому что известно, что цыплят в 3 раза меньше.
15 : 3 = 5 (ут.)

Шаг 3.
Записываем ответ

Ответ: 5 утят было у хозяйки.

Задание на полях страницы.

Какое число лишнее?

Ответ:
Математика 2 класс Моро, Волкова, Бантова, Бельтюкова - 2 часть страница 77, номер на полях страницы, 2024 год.

Лишнее число 30, потому что оно не делится на 4.

Подсказка:

Нужно найти закономерность между данными числами, тогда будет легко найти лишнее число.

Шаг 1.
Рассмотрим рисунок и найдем лишние числа
Пояснение к заданию 7

Закономерность в том, что каждое из данных чисел делится на 4, кроме числа 30, соответственно, 30 - лишнее число.

Шаг 2.
Оформим задание в тетрадь

Лишнее число 30, потому что оно не делится на 4.

Конец страницы
Переход на другие страницы Содержание
Информация на этой странице была полезной?
0/5 (0 голосов)
Нашли ошибку на сайте? Помогите нам ее исправить!

С подпиской рекламы не будет

Подключите премиум подписку со скидкой в 40% за 149 ₽

Понравились решения?
Напишите свой комментарий.

Вам может быть интересно