Математика 3 класс учебник Моро, Волкова 2 часть ответы – страница 100

  • Тип: ГДЗ, Решебник.
  • Авторы: Моро М.И., Бантова М.А., Бельтюкова Г.В. и др.
  • Часть: 2.
  • Год: 2021-2024.
  • Серия: Школа России (ФГОС).
  • Издательство: Просвещение.
Отличается задание? Переключите год учебника.
Переключение года издания

Номер 10.

Ответ:
Ответ к учебнику по математике 3 класс 2 часть Моро, Бантова, Бельтюкова страница 100, номер 10
Подсказка:

1) Вспомни алгоритм сложения и вычитания в столбик.
2) Помни, что пишем единицы под единицами, десятки под десятками и сотни под сотнями.

Шаг 1.
Рассуждаем и вычисляем.

Выполним сложение в столбик.

Пояснение к заданию 10

Пишу: единицы под единицами, десятки под десятками, а сотни под сотнями.
Складываю единицы: 4 + 5 = 9
Пишу под единицами 9.
Складываю десятки: 8 + 6 = 14
14 дес. – это 1 сот. и 4 дес.; 4 дес. пишу под десятками, а 1 сот. прибавляю к сотням.
Складываю сотни: 4 + 1 + 1 = 6
Пишу под сотнями 6.
Читаю ответ: 649.

Пояснение к заданию 10

Пишу: единицы под единицами, десятки под десятками, а сотни под сотнями.
Складываю единицы: 9 + 1 = 10
10 ед. – это 1 дес. и 0 ед.; 0 ед. пишу под единицами, а 1 дес. прибавляю к десяткам.
Складываю десятки: 2 + 2 + 1 = 5
Пишу под десятками 5.
Складываю сотни: 5 + 3 = 8
Пишу под сотнями 8.
Читаю ответ: 850.

Пояснение к заданию 10

Пишу: единицы под единицами, десятки под десятками, а сотни под сотнями.
Складываю единицы: 0 + 0 = 0
Пишу под единицами 0.
Складываю десятки: 4 + 2 = 6
Пишу под десятками 6.
Складываю сотни: 8 + 1 = 9
Пишу под сотнями 9.
Читаю ответ: 960.

Пояснение к заданию 10

Пишу: единицы под единицами, десятки под десятками, а сотни под сотнями.
Складываю единицы: 9 + 7 = 16
16 ед. – это 1 дес. и 6 ед.; 6 ед. пишу под единицами, а 1 дес. прибавляю к десяткам.
Складываю десятки: 0 + 9 + 1 = 10
10 дес. – это 1 сот. и 0 дес.; 0 дес. пишу под десятками, а 1 сот. прибавляю к сотням.
Складываю сотни: 2 + 1 + 1 = 4
Пишу под сотнями 4.
Читаю ответ: 406.

Выполним вычитание в столбик.

Пояснение к заданию 10

Пишу: единицы под единицами, десятки под десятками, а сотни под сотнями.
Вычитаю единицы: 6 – 4 = 2
Под единицами пишу 2.
Вычитаю десятки: из 0 дес. нельзя вычесть 2 дес., поэтому беру 1 сот.. из 8 сотни (Чтобы не забыть об этом, ставлю точку над цифрой 8).
1 сот. и 0 дес. – это 10 дес.
10 – 2 = 8
Под десятками пишу 8.
Вычитаю сотни: Помним, что занимались 1 ед. у сотен, то 8 – 7 – 1 = 0
Разрядов сотен нет.
Читаю ответ: 82.

Пояснение к заданию 10

Пишу: единицы под единицами, десятки под десятками, а сотни под сотнями.
Вычитаю единицы: 6 – 6 = 0
Под единицами пишу 0.
Вычитаю десятки: из 5 дес. нельзя вычесть 8 дес., поэтому беру 1 сот.. из 3 сотен (Чтобы не забыть об этом, ставлю точку над цифрой 3).
1 сот. и 3 дес. – это 13 дес.
13 – 8 = 7
Под десятками пишу 7.
Вычитаю сотни: Помним, что занимались 1 ед. у сотен, то 3 – 1 – 1 = 1
Под сотнями пишу 1.
Читаю ответ: 170.

Пояснение к заданию 10

Пишу: единицы под единицами, десятки под десятками, а сотни под сотнями.
Вычитаю единицы: из 0 ед. нельзя вычесть 3 ед., поэтому беру 1 дес.. из 7 десятков (Чтобы не забыть об этом, ставлю точку над цифрой 7).
1 сот. и 0 дес. – это 10 дес.
10 – 3 = 7
Под единицами пишу 7.
Вычитаю десятки: Помним, что занимались 1 ед. у десятков, то 7 – 6 – 1 = 0
Под десятками пишу 0.
Вычитаю сотни: 6 – 2 = 4
Под сотнями пишу 4.
Читаю ответ: 407.

Пояснение к заданию 10

Если из числа вычесть само число, то получится нуль.

Шаг 2.
Делаем проверку.

Чтобы сделать проверку слоения нужно из суммы вычесть одно из слагаемых.

484 + 165 = 649
Проверка:

Пояснение к заданию 10

529 + 312 = 850
Проверка:

Пояснение к заданию 10

840 + 120 = 960
Проверка:

Пояснение к заданию 10

209 + 197 = 406
Проверка:

Пояснение к заданию 10

Чтобы сделать проверку вычитания нужно к разности прибавить вычитаемое.

806 – 724 = 82 Проверка:

Пояснение к заданию 10

356 – 186 = 170
Проверка:

Пояснение к заданию 10

670 – 263 = 407
Проверка:

Пояснение к заданию 10

122 – 122 = 0
Проверка: 0 + 122 = 122.

Шаг 3.
Оформляем задание в тетрадь.
Пояснение к заданию 10

Номер 11.

Найди значения выражения с : 3, если с = 15, с = 18, с = 36, с = 150, с = 300.

Ответ:

                с : 3 с = 15      15 : 3 = 5 с = 18      18 : 3 = 6 с = 36      36 : 3 = 12 с = 150    150 : 3 = 50 с = 300    300 : 3 = 100

Подсказка:

1) с : 3, значит, что значение с нужно уменьшить в 3 раза, то етсь разделить на 3.
2) Вспомни таблицу деления на 3.

Шаг 1.
Рассуждаем и выполняем вычисления.

с : 3, если
с = 15, то 15 : 3 = 5
с = 18, то 18 : 3 = 6
с = 36, то 36 : 3 = (30 + 6) : 3 = 10 + 2 = 12
с = 150, то 150 : 3 = 15 дес. : 3 = 5 дес. = 50
с = 300, то 300 : 3 = 3 сот. : 3 = 1 сот. = 100

Шаг 2.
Оформляем задание в тетрадь.

15 : 3 = 5
18 : 3 = 6
36 : 3 = 12
150 : 3 = 50
300 : 3 = 100

Номер 12.

Ответ:
Ответ к учебнику по математике 3 класс 2 часть Моро, Бантова, Бельтюкова страница 100, номер 12
Ответ к учебнику по математике 3 класс 2 часть Моро, Бантова, Бельтюкова страница 100, номер 12 продолжение
Подсказка:

1) Вспомни алгоритм умножения и деления в столбик.
2) Учитывай, что при умножении в столбик умножаем вначале единицы, потом десятки, а затем сотни.

Шаг 1.
Рассуждаем и вычисляем.

Выполним умножение в столбик.

Пояснение к заданию 12

Пишу: 193 ∙ 3
Умножаю единицы: 3 ∙ 3 = 9
Пишу под единицами 9.
Умножаю десятки: 9 ∙ 3 = 27.
27 дес. – это 2 сот. и 7 дес. 7 дес. пишу под десятками, а 2 сот. запоминаю и прибавляю его к сотням после умножения сотен.
Умножаю сотни: 1 ∙ 3 = 3. К 3 сот. прибавляю 2 сотни, которые получились при умножении десятков. 3 + 2 = 5
Пишу 5 под сотнями.
Читаю ответ: 579.

Пояснение к заданию 12

Пишу: 82 ∙ 4
Умножаю единицы: 2 ∙ 4 = 8
Пишу под единицами 8.
Умножаю десятки: 8 ∙ 4 = 32.
32 дес. – это 3 сот. и 2 дес. 2 дес. пишу под десятками, а 3 сот. пишу под сотнями.
Читаю ответ: 328.

Пояснение к заданию 12

Пишу: 118 ∙ 5
Умножаю единицы: 8 ∙ 5 = 40
40 ед. – это 4 дес. и 0 ед.; 0 ед. пишу под единицами, а 4 дес. запоминаю и прибавляю к десяткам при умножении десяток.
Умножаю десятки: 1 ∙ 5 = 5. К 5 дес. прибавляю 4 дес., которые получились при умножении единиц. 5 + 4 = 9
Пишу 9 под десятками.
Умножаю сотни: 1 ∙ 5 = 5.
Пишу 5 под сотнями.
Читаю ответ: 590.

Выполним деление в столбик.

Пояснение к заданию 12

Разделим 429 на 3.
Делю сотни – сотен 4.
Делю 4 на 3. В частном будет 1 сот.
Умножаю: 3 ∙ 1 = 3. Разделили 3 сот.
Вычитаю: 4 – 3 = 1. Осталось разделить 1 сот.
Делю десятки – 1 сот. и 2 дес. – это 12 дес.
Делю 12 на 3. В частном будет 4 дес.
Умножаю: 3 ∙ 4 = 12. Разделили 12 дес.
Вычитаю: 12 – 12 = 0. Остатка нет. Десятки разделили все.
Делю единицы – единиц 9.
Делю 9 на 3. В частном будет 3 ед.
Умножаю: 3 ∙ 3 = 9. Разделили 9 ед.
Вычитаю: 9 – 9 = 0. Остатка нет. Единицы разделили все.
Читаю ответ: 143.

Пояснение к заданию 12

Разделим 884 на 4.
Делю сотни – сотен 8.
Делю 8 на 4. В частном будет 2 сот.
Умножаю: 4 ∙ 2 = 8. Разделили 8 сот.
Вычитаю: 8 – 8 = 0. Остатка нет. Разделили все сотни.
Делю десятки – десятков 8.
Делю 8 на 4. В частном будет 2 дес.
Умножаю: 4 ∙ 2 = 8. Разделили 8 дес.
Вычитаю: 8 – 8 = 0. Остатка нет. Разделили все десятки.
Делю единицы – единиц 4.
Делю 4 на 4. В частном будет 1 ед.
Умножаю: 4 ∙ 1 = 4. Разделили 4 ед.
Вычитаю: 4 – 4 = 0. Остатка нет. Единицы разделили все.
Читаю ответ: 221.

Пояснение к заданию 12

Разделим 528 на 2.
Делю сотни – сотен 5.
Делю 5 на 2. В частном будет 2 сот.
Умножаю: 2 ∙ 2 = 4. Разделили 4 сот.
Вычитаю: 5 – 4 = 1. Осталось разделить 1 сот.
Делю десятки – 1 сот. и 2 дес. – это 12 дес.
Делю 12 на 2. В частном будет 6 дес.
Умножаю: 2 ∙ 6 = 12. Разделили 12 дес.
Вычитаю: 12 – 12 = 0. Остатка нет. Десятки разделили все.
Делю единицы – единиц 8.
Делю 8 на 2. В частном будет 4 ед.
Умножаю: 2 ∙ 4 = 8. Разделили 8 ед.
Вычитаю: 8 – 8 = 0. Остатка нет. Единицы разделили все.
Читаю ответ: 264.

Пояснение к заданию 12

Разделим 843 на 3.
Делю сотни – сотен 8.
Делю 8 на 3. В частном будет 2 сот.
Умножаю: 3 ∙ 2 = 6. Разделили 6 сот.
Вычитаю: 8 – 6 = 2. Осталось разделить 2 сот.
Делю десятки – 2 сот. и 4 дес. – это 24 дес.
Делю 24 на 3. В частном будет 8 дес.
Умножаю: 3 ∙ 8 = 24. Разделили 24 дес.
Вычитаю: 24 – 24 = 0. Остатка нет. Разделили все десятки.
Делю единицы – единиц 3.
Делю 3 на 3. В частном будет 1 ед.
Умножаю: 3 ∙ 1 = 3. Разделили 3 ед.
Вычитаю: 3 – 3 = 0. Остатка нет. Единицы разделили все.
Читаю ответ: 281.

Пояснение к заданию 12

Разделим 765 на 5.
Делю сотни – сотен 7.
Делю 7 на 5. В частном будет 1 сот.
Умножаю: 5 ∙ 1 = 5. Разделили 5 сот.
Вычитаю: 7 – 5 = 2. Осталось разделить 2 сот.
Делю десятки – 2 сот. и 6 дес. – это 26 дес.
Делю 26 на 5. В частном будет 5 дес.
Умножаю: 5 ∙ 5 = 25. Разделили 25 дес.
Вычитаю: 26 – 25 = 1. Осталось разделить 1 дес.
Делю единицы – 1 дес. и 5 ед. – это 15 ед.
Делю 15 на 5. В частном будет 3 ед.
Умножаю: 5 ∙ 3 = 15. Разделили 15 ед.
Вычитаю: 15 – 15 = 0. Остатка нет. Единицы разделили все.
Читаю ответ: 153.

Шаг 2.
Делаем проверку.

Чтобы выполнить проверку умножения, нужно произведение разделить на один из множителей.

193 ∙ 3 = 579
Проверка:

Пояснение к заданию 12

82 ∙ 4 = 328
Проверка:

Пояснение к заданию 12

118 ∙ 5 = 590
Проверка:

Пояснение к заданию 12

Чтобы выполнить проверку деления нужно частное умножить на делитель.

429 : 3 = 143
Проверка:

Пояснение к заданию 12

884 : 4 = 221
Проверка:

Пояснение к заданию 12

528 : 2 = 264
Проверка:

Пояснение к заданию 12

843 : 3 = 281
Проверка:

Пояснение к заданию 12

765 : 5 = 153
Проверка:

Пояснение к заданию 12
Шаг 3.
Оформляем задание в тетрадь.
Пояснение к заданию 12

Номер 13.

Определи, чему равен х, не вычисляя.

Ответ:

9 + х = 9      9 : х = 1      х ∙ 9 = 9     9 – х = 0 х = 0            х = 9           х = 1           х = 9
х – 0 = 15    х : 12 = 0    19 ∙ х = 0    х + 17 = 17 х = 15          х = 0            х = 0          х = 0

Подсказка:

1) Уравнение – равенство которое содержит неизвестное число, при подстановке этого числа, получается верное равенство.

2) Помни о том, что в математике существуют частные случаи умножения. Один из них – умножение на единицу. При умножении любого числа на 1, получается число, которое умножали.

3) Существует еще и другие: умножение числа на 0, и 0 на любое число.

Шаг 1.
Рассуждаем и выполняем вычисления.

9 + х = 9
Х – второе слагаемое.
Если сумма равна одному из слагаемых, то другое слагаемое равно 0.
х = 0

х – 0 = 15
х – уменьшаемое.
Если вычитаемое равно 0, то уменьшаемое равно разности.
х = 15

9 : х = 1
х – делитель.
Частное равно 1, если делимое и делитель равны.
х = 9

х : 12 = 0
х – делитель.
Частное равно нулю, если делимое равно нулю.
х = 0

х ∙ 9 = 9
х – первый множитель.
Если произведение равно одному из множителей, то другой множитель равен 1.
х = 1

19 ∙ х = 0
х – второй множитель.
Если произведение равно 0, то один множитель равен 0.
х = 0

9 – х = 0
х – вычитаемое.
Если разность равна 0, то уменьшаемые и вычитаемые равны.
х = 9

х + 17 = 17
х – первое слагаемое.
Если сумма равна одному из слагаемых, то другое слагаемое равно 0.
х = 0

Шаг 2.
Оформляем задание в тетрадь.

9 + х = 9
х = 0

х – 0 = 15
х = 15

9 : х = 1
х = 9

х : 12 = 0
х = 0

х ∙ 9 = 9
х = 1

19 ∙ х = 0
х = 0

9 – х = 0
х = 9

х + 17 = 17
х = 0

Номер 14.

Реши уравнения.

Ответ:
Ответ к учебнику по математике 3 класс 2 часть Моро, Бантова, Бельтюкова страница 100, номер 14
Подсказка:

Уравнение – равенство которое содержит неизвестное число, при подстановке этого числа, получается верное равенство.

Шаг 1.
Рассмотрим уравнения.

38 + х = 84
х – неизвестное слагаемое.
Чтобы найти неизвестное слагаемое нужно из суммы вычесть известное слагаемое.

х ∙ 18 = 72
х – неизвестный множитель.
Чтобы найти неизвестный множитель нужно произведение разделить на известный множитель.

х – 24 = 56
х – уменьшаемое.
Чтобы найти уменьшаемое нужно разность сложить с вычитаемым.

х : 16 = 6
х – делимое.
Чтобы найти делимое нужно частное умножить на делитель.

72 – х = 39
х – вычитаемое.
Чтобы найти вычитаемое нужно из уменьшаемого вычесть разность.

69 : х = 23
х – делитель.
Чтобы найти делитель нужно делимое разделить на частное.

Шаг 2.
Решим уравнения.

38 + х = 84
х = 84 – 38
х = 46

Пояснение к заданию 14

х ∙ 18 = 72
х = 72 : 18
х = 4

х – 24 = 56
х = 56 + 24 = (50 + 20) + (6 + 4) = 70 + 10 = 80
х = 80

х : 16 = 6
х = 16 ∙ 6 = (10 + 6) ∙ 6 = 60 + 36 = 96
х = 96

72 – х = 39
х = 72 – 39
х = 33

Пояснение к заданию 14

69 : х = 23
х = 69 : 23
х = 3

Шаг 3.
Сделаем проверку.

В уравнение вместо неизвестного подставим найденное значение.

38 + х = 84
Проверка: вместо х подставим число 46.
38 + 46 = 84

Пояснение к заданию 14

84 = 84 – вычисление выполнено верно.

х ∙ 18 = 72
Проверка: вместо х подставим число 4.
4 ∙ 18 = 4 ∙ (10 + 8) = 40 + 32 = 72
72 = 72 – вычисление выполнено верно.

х – 24 = 56
Проверка: вместо х подставим число 80.
80 – 24 = 56

Пояснение к заданию 14

56 = 56 – вычисление выполнено верно.

х : 16 = 6
Проверка: вместо х подставим число 96.
96 : 16 = 6 – вычисляется методом подбора.
6 = 6 – вычисление выполнено верно.

72 – х = 39
Проверка: вместо х подставим 33.
72 – 33 = 39

Пояснение к заданию 14

39 = 39 – вычисление выполнено верно.

69 : х = 23
Проверка: вместо х подставим 3.
69 : 3 = (60 + 9) : 3 = 20 + 3 = 23
23 = 23 – вычисление выполнено верно.

Шаг 4.
Оформляем задание в тетрадь

38 + х = 84
х = 84 – 38
х = 46

х ∙ 18 = 72
х = 72 : 18
х = 4

х – 24 = 56
х = 56 + 24
х = 80

х : 16 = 6
х = 16 ∙ 6 = (10 + 6) ∙ 6 = 60 + 36 = 96
х = 96

72 – х = 39
х = 72 – 39
х = 33

69 : х = 23
х = 69 : 23
х = 3

Номер 15.

Сумма двух чисел равна 90. Одно из них в 2 раза больше другого. Что это за числа?

Ответ:

Если первое число а, то второе - а · 2, потому что второе число в 2 раза больше первого. Тогда, а + а · 2 = а · 3 = 90. 1) 90 : 3 = 30 – первое число. 2) 30 ∙ 2 = 60 – второе число. Ответ: 30, 60.

Подсказка:

1) Доля – одна часть из тех, на которые разделили целое.
2) Первое слово в названии долей указывает на количество долей, которые взяли, а второе – на сколько частей разделили целое.

Шаг 1.
Оформляем условие в виде схематического чертежа.
Пояснение к заданию 15
Шаг 2.
Рассуждаем.

Обозначим, что первое число 1 доля, значит второе число – 2 доли, так как оно в 2 раза больше, чем первое. И сумма чисел это – 1 + 2 = 3 доли. (см. чертёж). А сумма чисел равна 90. Тогда следует, что 3 доли – это число 90, первое число – это одна третья часть, а второе – две трети части.

1 число – 1 часть.
2 число – 2 части.
Сумма чисел – 1 + 2 = 3 части.

Шаг 3.
Продолжаем рассуждение.

Первое число – это одна третья часть. Значит, что всё число разделили на 3 одинаковых части и взяли одну такую часть.

90 : 3 = 30 – 1 число.

Шаг 4.
Продолжаем рассуждение.

Второе число в 2 раза больше, первого. Это значит, что два раза по столько же или значение первого числа умножили на 2.

30 ∙ 2 = 60 – 2 число.

Шаг 5.
Делаем проверку.

Нужно сложить два числа и если их сумма равна 90, то вычисления выполнены верно.

30 + 60 = 90 – сумма.

Шаг 6.
Записываем ответ.

Ответ: 30 и 60.

Номер 16.

Начерти квадрат, периметр которого равен периметру прямоугольника со сторонами 6 см и 2 см. Сравни площади этих фигур.

Ответ:
математика 3 класс учебник 2 часть Моро страница 100. Номер 16-1
математика 3 класс учебник 2 часть Моро страница 100. Номер 16-2

1) (6 + 2) ∙ 2 = 16 (см) – периметр прямоугольника. 2) 16 : 4 = 4 (см) – длина стороны квадрата. 3) 6 ∙ 2 = 12 (см2) – площадь прямоугольника. 4) 4 ∙ 4 = 16 (см2) – площадь квадрата. Ответ: площадь квадрата больше площади прямоугольника.

Подсказка:

1) Периметр – это сумма длин всех сторон.
2) Площадь прямоугольника равна произведению его длины и ширины.

Шаг 1.
Рассуждаем.

Вычислим периметр прямоугольника.
Чтобы вычислить периметр прямоугольника нужно сумму ширины и длины умножить на 2.

(6 + 2) ∙ 2 = 8 ∙ 2 = 16 (см) – периметр прямоугольника.

Шаг 2.
Продолжаем рассуждение.

Найдём сторону квадрата.
Периметр квадрата и прямоугольника равны. Значит, периметр квадрата равен 16 см. А у квадрата все стороны равны. Чтобы найти сторону квадрата нужно периметр разделить на 4.

16 : 4 = 4 (см) – сторона квадрата.

Шаг 3.
Продолжаем рассуждение.

Вычислим площадь квадрата и прямоугольника.
Чтобы найти площадь нужно длину умножить на ширину.

4 ∙ 4 = 16 (см2) – площадь квадрата.
6 ∙ 2 = 12 (см2) – площадь прямоугольника.

Шаг 4.
Продолжаем рассуждение.

Сравним площади.

16 см2 > 12 см2 – площадь квадрата больше площади прямоугольника.

Чтобы узнать на сколько одно число больше другого нужно из большего числа вычесть меньшее.

16 – 12 = 4 (см2) – на сколько больше.

Значит, площадь квадрата больше площади прямоугольника на 4 см2.

Шаг 5.
Оформляем задание.

Начертим прямоугольник со сторонами 2 см и 6 см и квадрат со стороной 4 см.

Пояснение к заданию 16

Ответ: площадь квадрата на 4 см2 больше площади прямоугольника.

Номер 17.

Сколько рейсов надо сделать на автопогрузчике, чтобы перевезти 64 коробки с бананами и 32 коробки с апельсинами, если за один рейс автопогрузчик может перевезти 4 коробки? Реши задачу разными способами.

Ответ:
математика 3 класс учебник 2 часть Моро страница 100. Номер 17

1-й способ решения: 1) 64 + 32 = 96 (шт.) – всего коробок. 2) 96 : 4 = 24 (р.) – надо сделать.
Ответ: 24 рейса нужно сделать на автопогрузчике.

2-й способ решения: 1) 64 : 4 = 16 (р.) – для перевозки 64 коробок. 2) 32 : 4 = 8 (р.) – для перевозки 32 коробок. 3) 16 + 8 = 24 (р.) – надо сделать.
Ответ: 24 рейса нужно сделать на автопогрузчике.

Подсказка:

1) Чтобы разделить сумму на число можно вычислить сумму и разделить её на число;

2) Чтобы разделить сумму на число можно разделить на число каждое слагаемое и полученные результаты сложить.

Шаг 1.
Оформляем условие в виде таблицы.
Пояснение к заданию 17
Способ решения 1.
Шаг 2.
Рассуждаем.

Общее количество коробок складывается из коробок с бананами и апельсинами. Сложим их количества.

64 + 32 = 96 (шт.) – всего коробок.

Шаг 3.
Продолжаем рассуждение.

За один рейс можно перевести 4 коробки, значит каждый раз можно перевести одинаковое количество коробок. Чтобы узнать количество рейсов нужно общее количество коробок разделить на количество коробок, которое можно перевести за один рейс.

96 : 4 = (80 + 16) : 4 = 20 + 4 = 24 (р.) – количество рейсов.

Шаг 4.
Записываем ответ.

Ответ: 24 рейса.

Решение выражением:
(64 + 32) : 4 = 24 (р.) – количество рейсов, где 64 + 32 – общее количество коробок.

Способ решения 2.
Шаг 2.
Рассуждаем.

За один рейс можно перевести 4 коробки, значит каждый раз можно перевести одинаковое количество коробок. Чтобы узнать количество рейсов отдельно для бананов и для апельсинов нужно отдельно количество коробок бананов и апельсинов разделить на количество коробок, которое можно перевести за один рейс.

64 : 4 = (40 + 24) : 4 = 10 + 6 = 16 (р.) – для 64 коробок.

32 : 4 = 8 (р.) – для 32 коробок.

Шаг 3.
Продолжаем рассуждение.

Общее количество рейсов складывается из рейсов с бананами и апельсинами. Сложим их количества.

16 + 8 = 24 (р.) – общее количество рейсов.

Шаг 4.
Записываем ответ.

Ответ: 24 рейса.

Решение выражением:
64 : 4 + 32 : 4 = 24 (р.) – количество рейсов, где
64 : 4 – количество рейсов для коробок с бананами;
32 : 4 – количество рейсов для коробок с апельсинами.

Задание на полях страницы

Ребусы:

Ответ к учебнику по математике 3 класс 2 часть Моро, Бантова, Бельтюкова страница 100, задание на полях страницы
Ответ:
Ответ к учебнику по математике 3 класс 2 часть Моро, Бантова, Бельтюкова страница 100, задание на полях страницы
Подсказка:

Вспомни алгоритм умножения и деления в столбик.

Рассмотрим первый ребус.
Шаг 1.
Рассуждаем.

Если произведение оканчивается на 5, значит или второй множитель равен 5 или первый множитель оканчивается на 5.

Шаг 2.
Продолжаем рассуждение.

Найдём числа методом подбора.

Пусть второй множитель равен 5.
Чтобы найти первый множитель нужно произведение разделить на второй множитель.

Пояснение к заданию на полях страницы

Не подходит, так как в первый множитель не может быть равен 91, так как у него 6 десяток.

Шаг 3.
Продолжаем рассуждение.

Тогда пусть второй множитель оканчивается на цифру 5, значит второй множитель равен 65. Чтобы найти второй множитель нужно произведение разделить на первый множитель.

455 : 65 = ?
Пробуем в частном 6 и проверяем: 65 ∙ 6 = (60 + 5) ∙ 6 = 360 + 30 = 390 , 390 < 455, число 5 не подходит.
Пробуем в частном 7 и проверяем: 65 ∙ 7 = (60 + 5) ∙ 7 = 420 + 35 = 455, 455 = 455, значит 455 : 65 = 7.

Второй множитель равен 7.

Шаг 4.
Записываем ответ.

Ответ: 65 ∙ 7 = 455

Пояснение к заданию на полях страницы
Рассмотрим второй ребус.
Шаг 1.
Рассуждаем.

Неполное делимое оканчивается на 0. Вспомним какое число, оканчивающееся на 0, делится на 8 без остатка. Это число 40.
Найдём частное: 40 : 8 = 5.

Значит, неполное частное равно – 40.
Частное равно – 5.

Шаг 2.
Продолжаем рассуждение.

Остаток от деления равен 4, значит, чтобы найти делимое нужно к неполному делимому прибавить остаток: 40 + 4 = 44.

Делимое равно – 44.

Шаг 3.
Записываем ответ.

Ответ: 44 : 8 = 5 (ост. 4).

Пояснение к заданию на полях страницы

Номер 10.

Ответ:
Математика  2 часть. 3 класс - Учебник. Моро. Страница 100. Номер 10. Год 2024
Подсказка:

1) Вспомни алгоритм сложения и вычитания в столбик.
2) Помни, что пишем единицы под единицами, десятки под десятками и сотни под сотнями.

Шаг 1.
Рассуждаем и вычисляем.
Пояснение к заданию 10

Складываю единицы: 4 + 5 = 9
Пишу под единицами 9.
Складываю десятки: 8 + 6 = 14
14 дес. – это 1 сот. и 4 дес.;
4 дес. пишу под десятками, а 1 сот. прибавляю к сотням.
Складываю сотни: 4 + 1 + 1 = 6
Пишу под сотнями 6.

Пояснение к заданию 10

Складываю единицы: 9 + 1 = 10
10 ед. – это 1 дес. и 0 ед.;
0 ед. пишу под единицами, а 1 дес. прибавляю к десяткам.
Складываю десятки: 2 + 2 + 1 = 5
Пишу под десятками 5.
Складываю сотни: 5 + 3 = 8
Пишу под сотнями 8.

Пояснение к заданию 10

Складываю единицы: 0 + 2 = 2
Пишу под единицами 2.
Складываю десятки: 4 + 0 = 4
Пишу под десятками 4.
Складываю сотни: 8 + 1 = 9
Пишу под сотнями 9.

Пояснение к заданию 10

Складываю единицы: 9 + 7 = 16
16 ед. – это 1 дес. и 6 ед.;
6 ед. пишу под единицами, а 1 дес. прибавляю к десяткам.
Складываю десятки: 0 + 9 + 1 = 10
10 дес. – это 1 сот. и 0 дес.;
0 дес. пишу под десятками, а 1 сот. прибавляю к сотням.
Складываю сотни: 2 + 1 + 1 = 4
Пишу под сотнями 4.

Пояснение к заданию 10

Вычитаю единицы: 6 – 4 = 2
Под единицами пишу 2.
Вычитаю десятки: из 0 дес. нельзя вычесть 2 дес., поэтому беру 1 сот. из 8 сот. (Чтобы не забыть об этом, ставлю точку над цифрой 8).
1 сот. и 0 дес. – это 10 дес.
10 – 2 = 8
Под десятками пишу 8.
Вычитаю сотни: 8 – 7 – 1 (занимали) = 0
Разрядов сотен нет.

Пояснение к заданию 10

Вычитаю единицы: 6 – 6 = 0
Под единицами пишу 0.
Вычитаю десятки: из 5 дес. нельзя вычесть 8 дес., поэтому беру 1 сот. из 3 сот. (Чтобы не забыть об этом, ставлю точку над цифрой 3).
1 сот. и 5 дес. – это 15 дес.
15 – 8 = 7
Под десятками пишу 7.
Вычитаю сотни: 3 – 1 – 1 (занимали) = 1
Под сотнями пишу 1.

Пояснение к заданию 10

Вычитаю единицы: из 0 ед. нельзя вычесть 3 ед., поэтому беру 1 дес. из 7 дес. (Чтобы не забыть об этом, ставлю точку над цифрой 7).
1 дес. и 0 ед. – это 10 ед.
10 – 3 = 7
Под единицами пишу 7.
Вычитаю десятки: 7 – 6 – 1 (занимали) = 0
Под десятками пишу 0.
Вычитаю сотни: 6 – 2 = 4
Под сотнями пишу 4.

Пояснение к заданию 10

Если из числа вычесть само число, то получится нуль.

Шаг 2.
Оформляем задание в тетрадь.
Пояснение к заданию 10

Номер 11.

Найди значения выражения с : 3, если с = 15, с = 18, с = 36, с = 150, с = 300.

Ответ:

                с : 3 с = 15      15 : 3 = 5 с = 18      18 : 3 = 6 с = 36      36 : 3 = 12 с = 150    150 : 3 = 50 с = 300    300 : 3 = 100

Подсказка:

1) с : 3, значит, что значение с нужно разделить на 3.
2) Вспомни таблицу деления на 3.

Шаг 1.
Рассуждаем и выполняем вычисления.

с : 3, если:
с = 15, то 15 : 3 = 5
с = 18, то 18 : 3 = 6
с = 36, то 36 : 3 = (30 + 6) : 3 = 10 + 2 = 12
с = 150, то 150 : 3 = 15 дес. : 3 = 5 дес. = 50
с = 300, то 300 : 3 = 3 сот. : 3 = 1 сот. = 100

Шаг 2.
Оформляем задание в тетрадь.

15 : 3 = 5
18 : 3 = 6
36 : 3 = 12
150 : 3 = 50
300 : 3 = 100

Номер 12.

Ответ:
Математика  2 часть. 3 класс - Учебник. Моро. Страница 100. Номер 12. Год 2024
Математика  2 часть. 3 класс - Учебник. Моро. Страница 100. Номер 12. Год 2024
Подсказка:

1) Вспомни алгоритм умножения и деления в столбик.
2) Учитывай, что при умножении в столбик умножаем вначале единицы, потом десятки, а затем сотни.
3) Вспомни, как выполнить деление с остатком.

Шаг 1.
Рассуждаем и вычисляем.

Решим примеры столбиком.

Пояснение к заданию 12

Умножаю единицы: 3 ∙ 3 = 9
Пишу под единицами 9.
Умножаю десятки: 9 ∙ 3 = 27.
27 дес. – это 2 сот. и 7 дес.
7 дес. пишу под десятками, а 2 сот. запоминаю и прибавляю к сотням после умножения сотен.
Умножаю сотни: 1 ∙ 3 = 3.
3 + 2 (запомнили) = 5
Пишу 5 под сотнями.

Пояснение к заданию 12

Умножаю единицы: 2 ∙ 4 = 8
Пишу под единицами 8.
Умножаю десятки: 8 ∙ 4 = 32.
32 дес. – это 3 сот. и 2 дес.
2 дес. пишу под десятками, а 3 сот. пишу под сотнями.

Пояснение к заданию 12

Умножаю единицы: 8 ∙ 5 = 40
40 ед. – это 4 дес. и 0 ед.;
0 ед. пишу под единицами, а 4 дес. запоминаю и прибавляю к десяткам после умножения десяток.
Умножаю десятки: 1 ∙ 5 = 5.
5 + 4 (запомнили) = 9
Пишу 9 под десятками.
Умножаю сотни: 1 ∙ 5 = 5.
Пишу 5 под сотнями.

Пояснение к заданию 12

Делю сотни: 4 : 3 = 1 (ост. 1)
В частном будет 1 сот.
Осталось разделить 1 сот.
Делю десятки: 1 сот. и 2 дес. – это 12 дес.
12 : 3 = 4
В частном будет 4 дес.
Остатка нет.
Делю единицы: 9 : 3 = 3
В частном будет 3 ед.
Остатка нет.

Пояснение к заданию 12

Делю сотни: 8 : 4 = 2
В частном будет 2 сот.
Остатка нет.
Делю десятки: 8 : 4 = 2
В частном будет 2 дес.
Остатка нет.
Делю единицы: 4 : 4 = 1
В частном будет 1 ед.
Остатка нет.

Пояснение к заданию 12

Делю сотни: 5 : 2 = 2 (ост. 1)
В частном будет 2 сот.
Осталось разделить 1 сот.
Делю десятки: 1 сот. и 2 дес. – это 12 дес.
12 : 2 = 6
В частном будет 6 дес.
Остатка нет.
Делю единицы: 8 : 2 = 4
В частном будет 4 ед.
Остатка нет.

Пояснение к заданию 12

Делю сотни: 8 : 3 = 2 (ост. 2)
В частном будет 2 сот.
Осталось разделить 2 сот.
Делю десятки: 2 сот. и 4 дес. – это 24 дес.
24 : 3 = 8
В частном будет 8 дес.
Остатка нет.
Делю единицы: 3 : 3 = 1
В частном будет 1 ед.
Остатка нет.

Пояснение к заданию 12

Делю сотни: 7 : 5 = 1 (ост. 2)
В частном будет 1 сот.
Осталось разделить 2 сот.
Делю десятки: 2 сот. и 6 дес. – это 26 дес.
26 : 5 = 5 (ост. 1)
В частном будет 5 дес.
Осталось разделить 1 дес.
Делю единицы: 1 дес. и 5 ед. – это 15 ед.
15 : 5 = 3
В частном будет 3 ед.
Остатка нет.

Шаг 2.
Оформляем задание в тетрадь.
Пояснение к заданию 12
Пояснение к заданию 12

Номер 13.

Определи, чему равен х, не вычисляя.

Ответ:

9 + х = 9      9 : х = 1      х ∙ 9 = 9     9 – х = 0 х = 0            х = 9           х = 1           х = 9
х – 0 = 15    х : 12 = 0    19 ∙ х = 0    х + 17 = 17 х = 15          х = 0            х = 0          х = 0

Подсказка:

1) Уравнение – равенство, которое содержит неизвестное число, при подстановке этого числа, получается верное равенство.

2) Если любое число умножить на 1, то получится само это число.
3) Если любое число умножить на 0, то получится 0.

Шаг 1.
Рассуждаем.

9 + х = 9
х – второе слагаемое.
Если сумма равна одному из слагаемых, то другое слагаемое равно 0.
х = 0

х – 0 = 15
х – уменьшаемое.
Если вычитаемое равно 0, то уменьшаемое равно разности.
х = 15

9 : х = 1
х – делитель.
Частное равно 1, если делимое и делитель равны.
х = 9

х : 12 = 0
х – делимое.
Частное равно нулю, если делимое равно нулю.
х = 0

х ∙ 9 = 9
х – первый множитель.
Если произведение равно одному из множителей, то другой множитель равен 1.
х = 1

19 ∙ х = 0
х – второй множитель.
Если произведение равно 0, то один множитель равен 0.
х = 0

9 – х = 0
х – вычитаемое.
Если разность равна 0, то уменьшаемые и вычитаемые равны.
х = 9

х + 17 = 17
х – первое слагаемое.
Если сумма равна одному из слагаемых, то другое слагаемое равно 0.
х = 0

Шаг 2.
Оформляем задание в тетрадь.

9 + х = 9
х = 0

х – 0 = 15
х = 15

9 : х = 1
х = 9

х : 12 = 0
х = 0

х ∙ 9 = 9
х = 1

19 ∙ х = 0
х = 0

9 – х = 0
х = 9

х + 17 = 17
х = 0

Номер 14.

Реши уравнения.

Ответ:
Математика  2 часть. 3 класс - Учебник. Моро. Страница 100. Номер 14. Год 2024
Подсказка:

Уравнение – равенство которое содержит неизвестное число, при подстановке этого числа, получается верное равенство.

Шаг 1.
Рассмотрим уравнения.

38 + х = 84
х – неизвестное слагаемое.
Чтобы найти неизвестное слагаемое, нужно из суммы вычесть известное слагаемое.
х = 84 – 38
84 – 38 = 84 – 30 – 8 = 54 – 8 = 46
х = 46

х ∙ 18 = 72
х – неизвестный множитель.
Чтобы найти неизвестный множитель, нужно произведение разделить на известный множитель.
х = 72 : 18
х = 4

х – 24 = 56
х – уменьшаемое.
Чтобы найти уменьшаемое нужно разность сложить с вычитаемым.
х = 56 + 24
56 + 24 = 50 + 6 + 20 + 4 = 70 + 10 = 80
х = 80

х : 16 = 6
х – делимое.
Чтобы найти делимое нужно частное умножить на делитель.
х = 16 ∙ 6
16 ∙ 6 = (10 + 6) ∙ 6 = 60 + 36 = 96
х = 96

72 – х = 39
х – вычитаемое.
Чтобы найти вычитаемое нужно из уменьшаемого вычесть разность.
х = 72 – 39
72 – 39 = 72 – 30 – 9 = 42 – 9 = 33
х = 33

69 : х = 23
х – делитель.
Чтобы найти делитель нужно делимое разделить на частное.
х = 69 : 23 х = 3

Шаг 2.
Сделаем проверку.

38 + х = 84
Вместо х подставим число 46.
38 + 46 = 84
84 = 84

х ∙ 18 = 72
Вместо х подставим число 4.
4 ∙ 18 = 4 ∙ (10 + 8) = 40 + 32 = 72
72 = 72

х – 24 = 56
Вместо х подставим число 80.
80 – 24 = 80 – 20 – 4 = 60 – 4 = 56
56 = 56

х : 16 = 6
Вместо х подставим число 96.
96 : 16 = 6
6 = 6

72 – х = 39
Вместо х подставим 33.
72 – 33 = 72 – 30 – 3 = 42 – 3 = 39
39 = 39

69 : х = 23
Вместо х подставим 3.
69 : 3 = (60 + 9) : 3 = 20 + 3 = 23
23 = 23

Шаг 3.
Оформляем задание в тетрадь.

38 + х = 84
х = 84 – 38
х = 46
Проверка:
38 + 46 = 84
84 = 84

х ∙ 18 = 72
х = 72 : 18
х = 4
Проверка:
4 ∙ 18 = 72
72 = 72

х – 24 = 56
х = 56 + 24
х = 80
Проверка:
80 – 24 = 56
56 = 56

х : 16 = 6
х = 16 ∙ 6
х = 96
Проверка:
96 : 16 = 6
6 = 6

72 – х = 39
х = 72 – 39
х = 33
Проверка:
72 – 33 = 39
39 = 39

69 : х = 23
х = 69 : 23
х = 3
Проверка:
69 : 3 = 23
23 = 23

Номер 15.

Сумма двух чисел равна 90. Одно из них в 2 раза больше другого. Что это за числа?

Ответ:

1) 90 : 3 = 30 – первое число. 2) 30 ∙ 2 = 60 – второе число. Ответ: 30, 60.

Подсказка:

1) Доля – одна часть из тех, на которые разделили целое.
2) Первое слово в названии долей указывает на количество долей, которые взяли, а второе – на сколько частей разделили целое.

Шаг 1.
Оформляем краткую запись.

Первое число – ?
Второе число – ?, в 2 раза больше первого.
Сумма чисел – 90

Шаг 2.
Рассуждаем.

Обозначим, что первое число – 1 доля, значит второе число – 2 доли, так как оно в 2 раза больше, чем первое. Тогда, сумма чисел это – 1 + 2 = 3 доли. Значит, число 90 состоит из трёх частей, первое число – это одна третья часть, а второе чило – две трети части.

Первое число – 1 часть.
Второе число – 2 части.
Сумма чисел – 1 + 2 = 3 части.

Шаг 3.
Продолжаем рассуждение.

Первое число – это одна третья часть. Значит, что всё число разделили на 3 одинаковых части и взяли одну такую часть.

90 : 3 = 30 – первое число.

Шаг 4.
Продолжаем рассуждение.

Второе число в 2 раза больше, первого. Это значит, что два раза по столько же или значение первого числа умножили на 2.

30 ∙ 2 = 60 – второе число.

Шаг 5.
Делаем проверку.

Нужно сложить два числа и если их сумма равна 90, то вычисления выполнены верно.

30 + 60 = 90 – сумма.

Шаг 6.
Записываем ответ.

Ответ: 30 и 60.

Номер 16.

Начерти квадрат, периметр которого равен периметру прямоугольника со сторонами 6 см и 2 см. Площадь какой фигуры больше?

Ответ:
Математика  2 часть. 3 класс - Учебник. Моро. Страница 100. Номер 16. Год 2024
Математика  2 часть. 3 класс - Учебник. Моро. Страница 100. Номер 16. Год 2024

1) (6 + 2) ∙ 2 = 16 (см) – периметр прямоугольника. 2) 16 : 4 = 4 (см) – длина стороны квадрата. 3) 6 ∙ 2 = 12 (см2) – площадь прямоугольника. 4) 4 ∙ 4 = 16 (см2) – площадь квадрата. Ответ: площадь квадрата больше площади прямоугольника.

Подсказка:

1) Периметр – это сумма длин всех сторон.
2) Площадь прямоугольника равна произведению его длины и ширины.

Шаг 1.
Рассуждаем.

Чтобы вычислить периметр прямоугольника нужно, сумму ширины и длины умножить на 2.

(6 + 2) ∙ 2 = 8 ∙ 2 = 16 (см) – периметр прямоугольника.

Шаг 2.
Продолжаем рассуждение.

Периметр квадрата и прямоугольника равны. Значит, периметр квадрата равен 16 см. А у квадрата все стороны равны. Чтобы найти сторону квадрата, нужно периметр разделить на 4.

16 : 4 = 4 (см) – сторона квадрата.

Шаг 3.
Продолжаем рассуждение.

Чтобы найти площадь нужно длину умножить на ширину.

4 ∙ 4 = 16 (см2) – площадь квадрата;
6 ∙ 2 = 12 (см2) – площадь прямоугольника.

Шаг 4.
Продолжаем рассуждение.

Сравним площади.
16 см2 > 12 см2
Значит, площадь квадрата больше площади прямоугольника.

Шаг 5.
Оформляем задание.

Начертим прямоугольник со сторонами 2 см и 6 см и квадрат со стороной 4 см.

Пояснение к заданию 16

Ответ: площадь квадрата больше площади прямоугольника.

Номер 17.

Определи, как можно, не изменяя чисел, сделать равенства верными. Выполни это.

Ответ:

Нужно поставить скобки.
72 : (12 : 2) ∙ 3 = 36 64 − 16 : (4 : 2) = 56

Подсказка:

1) Перебирай все возможные варианты, пытайся найти верное решение.

2) Помни о порядке выполнения арифметических действий, и что скобки влияют на порядок выполнения действий.

Шаг 1.
Рассуждаем.

Рассмотрим выражения.

72 : 12 : 2 ∙ 3 = 36
64 – 16 : 4 : 2 = 56

Чтобы данные равенства сделать верными, не изменяя чисел, нужно расставить скобки.

     2     1    3
72 : (12 : 2) ∙ 3 = 36
Первое действие выполняется в скобках – деление, потом деление вне скобок и последним действием – умножение.

     3     2    1
64 – 16 : (4 : 2) = 56
Первое действие выполняется в скобках – деление, потом деление вне скобок и последним действием – вычитание.

Шаг 2.
Вычислим по действиям.

     2     1    3
72 : (12 : 2) ∙ 3 = 36
1) 12 : 2 = 6
2) 72 : 6 = (60 + 12) : 6 = 10 + 2 = 12
3) 12 ∙ 3 = (10 + 2) ∙ 3 = 30 + 6 = 36

     3     2    1
64 – 16 : (4 : 2) = 56
1) 4 : 2 = 2
2) 16 : 2 = 8
3) 64 – 8 = 64 – (4 + 4) = (64 – 4) – 4 = 60 – 4 = 56

Шаг 3.
Оформим задание в тетрадь.

     2     1    3
72 : (12 : 2) ∙ 3 = 72 : 6 ∙ 3 = 12 ∙ 3 = 36

     3     2    1
64 – 16 : (4 : 2) = 64 – 16 : 2 = 64 – 8 = 56

Номер 18.

Ответ:
Математика  2 часть. 3 класс - Учебник. Моро. Страница 100. Номер 18. Год 2024
Подсказка:

1) Вспомни алгоритм сложения и вычитания в столбик: пишем единицы под единицами, десятки под десятками, а сотни под сотнями.

2) Вспомни алгоритм умножения и деления в столбик.

Шаг 1.
Рассуждаем и вычисляем.
Пояснение к заданию 18

Складываю единицы: 3 + 4 = 7
Пишу под единицами 7.
Складываю десятки: 2 + 8 = 10
10 дес. – это 1 сот. 0 дес.;
0 дес. пишу под десятками, а 1 сот. прибавлю к сотням.
Складываю сотни: 1 + 1 = 2
Пишу под сотнями 2.

Пояснение к заданию 18

Складываю единицы: 8 + 3 = 11
11 ед. – это 1 дес. и 1 ед.;
1 ед. пишу под единицами, а 1 дес. прибавляю к десяткам.
Складываю десятки: 5 + 2 + 1 = 8
Пишу под десятками 8.
Складываю сотни: 2 + 1 = 3
Пишу под сотнями 3.

Пояснение к заданию 18

Вычитаю единицы: из 6 ед. нельзя вычесть 9 ед., беру 1 дес. из 5 дес. (Чтобы не забыть об этом, ставлю точку над цифрой 5.)
1 дес. и 6 ед. – это 16 ед.
16 – 9 = 7
Под единицами пишу 7.
Вычитаю десятки: из 5 дес. нельзя вычесть 6 дес., беру 1 сот. из 2 сот. (Чтобы не забыть об этом, ставлю точку над цифрой 2.)
1 сот. и 5 дес. – это 15 дес.
15 – 6 – 1 (занимали) = 8
Под десятками пишу 8.
Вычитаю сотни: 2 – 1 – 1 (занимали) = 0
Разряд сотен отсутствует.

Пояснение к заданию 18

Вычитаю единицы: 5 – 1 = 4
Под единицами пишу 4.
Вычитаю десятки: из 2 дес. нельзя вычесть 9 дес., беру 1 сот. из 7 сот. (Чтобы не забыть об этом, ставлю точку над цифрой 7.)
1 сот. и 2 дес. – это 12 дес.
12 – 9 = 3
Под десятками пишу 3.
Вычитаю сотни: 7 – 1 (занимали) = 6
Под сотнями пишу 6.

Пояснение к заданию 18

Умножаю единицы: 1 ∙ 7 = 7
Пишу под единицами 7.
Умножаю десятки: 2 ∙ 7 = 14.
14 дес. – это 1 сот. и 4 дес.
4 дес. пишу под десятками, а 1 сот. запоминаю и прибавляю к сотням после умножения сотен.
Умножаю сотни: 1 ∙ 7 = 7.
7 + 1 (запомнили) = 8
Пишу 8 под сотнями.

Пояснение к заданию 18

Умножаю единицы: 9 ∙ 2 = 18
18 ед. – это 1 дес. и 8 ед.,
8 ед. пишу под единицами, а 1 дес. запоминаю и прибавляю к десяткам после умножения десятков.
Умножаю десятки: 3 ∙ 2 = 6.
6 + 1 (запомнили) = 7
Пишу 7 под десятками.
Умножаю сотни: 4 ∙ 2 = 8
Пишу 8 под сотнями.

Пояснение к заданию 18

Делю сотни: 7 : 2 = 3 (ост. 1)
В частном будет 3 сот.
Осталось разделить 1 сот.
Делю десятки: 1 сот. и 5 дес. – это 15 дес.
15 : 2 = 7 (ост. 1)
В частном будет 7 дес.
Осталось разделить 1 дес.
Делю единицы: 1 дес. и 4 ед. – это 14 ед.
14 : 2 = 7
В частном будет 7 ед.
Остатка нет.

Пояснение к заданию 18

Делю сотни: 8 : 3 = 2 (ост. 2)
В частном будет 2 сот.
Осталось разделить 2 сот.
Делю десятки: 2 сот. и 5 дес. – это 25 дес.
25 : 3 = 8 (ост. 1)
В частном будет 8 дес.
Осталось разделить 1 дес.
Делю единицы: 1 дес. и 2 ед. – это 12 ед.
12 : 3 = 4
В частном будет 4 ед.
Остатка нет.

Шаг 2.
Оформляем задание в тетрадь.
Пояснение к заданию 18
Пояснение к заданию 18

Номер 19.

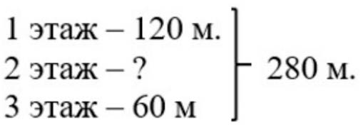
На трех этажах гаража стояло 280 автомашин. На втором этаже 100 машин, на третьем – 60. Сколько автомашин стояло на первом этаже? Составь и реши задачу, обратную данной, с ответом: 100 машин.

Ответ:
Математика  2 часть. 3 класс - Учебник. Моро. Страница 100. Номер 19. Год 2024

1) 100 + 60 = 160 (маш.) – на 2 и 3 этажах вместе 2) 280 – 160 = 120 (маш.) – на 1 этаже Ответ: 120 машин стояло на первом этаже гаража.
Обратная задача:
На первом этаже гаража стояло 120 автомашин, на третьем – 60, а всего на трёх этажах было 280 автомашин. Сколько автомашин стояло на втором этаже гаража?

Математика  2 часть. 3 класс - Учебник. Моро. Страница 100. Номер 19. Год 2024

280 - 120 - 60 = 100 (авт.) Ответ: 100 автомашин на втором этаже гаража.

Подсказка:

Обратная задача – это задача с одинаковом сюжетом, где нужно узнать то, что в изначальной задаче известно, то есть известное и неизвестное меняются местами.

Шаг 1.
Оформляем условие в виде краткой записи.
Пояснение к заданию 19
Шаг 2.
Рассуждаем.

Количество машин на 2 и 3 этажах вместе складывается из количества машин на 2 этаже и из количества машин на 3 этаже.

100 + 60 = 160 (маш.) – на 2 и 3 этажах вместе.

Шаг 3.
Продолжаем рассуждение.

Чтобы узнать, сколько машин на 3 этаже, нужно из общего количества машин вычесть количество машин на 2 и 3 этажах вместе.

280 – 160 = 120 (маш.) – на 1 этаже.

Шаг 4.
Записываем ответ.

Ответ: 120 машин стояло на первом этаже.

Составим обратную задачу.

Задача:
На первом этаже гаража стояло 120 автомашин, на третьем – 60, а всего на трёх этажах было 280 автомашин. Сколько автомашин стояло на втором этаже гаража?

Шаг 1.
Оформляем условие в виде краткой записи.
Пояснение к заданию 19
Шаг 2.
Рассуждаем.

Количество машин на 1 и 3 этажах вместе складывается из количества машин на 1 этаже и из количества машин на 3 этаже.

120 + 60 = 180 (маш.) – на 1 и 3 этажах вместе.

Шаг 3.
Продолжаем рассуждение.

Чтобы узнать, сколько машин на 2 этаже, нужно из общего количества машин вычесть количество машин на 1 и 3 этажах вместе.

280 – 180 = 100 (маш.) – на 2 этаже.

Шаг 4.
Записываем ответ.

Ответ: 100 машин стояло на втором этаже.

Номер 20.

В феврале завод выпустил 380 холодильников, в марте – на 20 холодильников больше, чем в феврале, а в апреле – на 50 холодильников меньше, чем в марте. Сколько холодильников было выпущено в апреле?

Ответ:
Математика  2 часть. 3 класс - Учебник. Моро. Страница 100. Номер 20. Год 2024

1) 380 + 20 = 400 (х.) – выпустил завод в марте. 2) 400 – 50 = 350 (х.) – выпустил завод в апреле.
Ответ: 350 холодильников было выпущено на заводе в апреле.

Подсказка:

1) «на 20 больше» – решается сложением;
2) «на 50 меньше» – решается вычитанием.

Шаг 1.
Оформляем условие в виде краткой записи.
Пояснение к заданию 20
Шаг 2.
Рассуждаем.

В феврале выпустили 380 холодильников, а в марте на 20 больше. Это значит, что в марте выпустили столько же холодильников, сколько и в феврале, но ещё плюс 20 холодильников.

380 + 20 = 300 + (80 + 20) = 300 + 100 = 400 (хол.) – выпустили в марте.

Шаг 3.
Продолжаем рассуждение.

Мы знали, что в марте выпустили 400 холодильников. А в апреле выпустили на 50 холодильников меньше, чем в марте. Это значит, что в апреле выпустили столько же холодильников сколько и в марте, но минус 50 холодильников.

400 – 50 = 350 (хол.) – выпустили в апреле.

Шаг 4.
Записываем ответ.

Ответ: 350 холодильников.

Задание на полях страницы

Ребусы:

Математика  2 часть. 3 класс - Учебник. Моро. Страница 100. Задание на полях страницы. Год 2024
Ответ:
Математика  2 часть. 3 класс - Учебник. Моро. Страница 100. Задание на полях страницы. Год 2024
Подсказка:

Вспомни алгоритм умножения и деления в столбик.

Рассмотрим первый ребус.
Шаг 1.
Рассуждаем.

Если произведение оканчивается на 5, значит или второй множитель равен 5 или первый множитель оканчивается на 5.

Шаг 2.
Продолжаем рассуждение.

Пусть второй множитель равен 5.
Чтобы найти первый множитель, нужно произведение разделить на второй множитель.
455 : 5 = 91

Пояснение к заданию на полях страницы

Не подходит, так как в первый множитель не может быть равен 91, так как у него 6 десяток.

Шаг 3.
Продолжаем рассуждение.

Тогда пусть второй множитель оканчивается на цифру 5, значит второй множитель равен 65.
Чтобы найти второй множитель, нужно произведение разделить на первый множитель.
455 : 65 = ?
Пробуем в частном 6 и проверяем:
65 ∙ 6 = (60 + 5) ∙ 6 = 360 + 30 = 390,
390 < 455, число 5 не подходит.
Пробуем в частном 7 и проверяем:
65 ∙ 7 = (60 + 5) ∙ 7 = 420 + 35 = 455,
455 = 455, значит:
455 : 65 = 7.
Второй множитель равен 7.

Рассмотрим второй ребус.
Шаг 1.
Рассуждаем.

Неполное делимое оканчивается на 0. Вспомним какое число, оканчивающееся на 0, делится на 8 без остатка. Это число 40.
Найдём частное: 40 : 8 = 5
Значит, неполное частное равно – 40.
Частное равно – 5.

Шаг 2.
Продолжаем рассуждение.

Остаток от деления равен 4, значит, чтобы найти делимое нужно к неполному делимому прибавить остаток: 40 + 4 = 44.
Делимое равно – 44.

Шаг 3.
Записываем ответ.

65 ∙ 7 = 455
44 : 8 = 5 (ост. 4)

Пояснение к заданию на полях страницы
Конец страницы
Переход на другие страницы Содержание
Информация на этой странице была полезной?
5/5 (1 голос)
Нашли ошибку на сайте? Помогите нам ее исправить!

С подпиской рекламы не будет

Подключите премиум подписку со скидкой в 40% за 149 ₽

Понравились решения?
Напишите свой комментарий.

Вам может быть интересно