Математика 3 класс учебник Моро, Волкова 1 часть ответы – страница 24

  • Тип: ГДЗ, Решебник.
  • Авторы: Моро М.И., Бантова М.А., Бельтюкова Г.В. и др.
  • Часть: 1.
  • Год: 2020-2023.
  • Серия: Школа России (ФГОС).
  • Издательство: Просвещение.
Отличаются задания? Переключите год учебника.
Переключение года издания

Порядок выполнения действий

Номер 1.

Сравни выражения каждой пары: какие действия в них выполняются? В каком порядке выполняются эти действия и почему?

Ответ:

38 − 10 + 6 = 28 + 6 = 34 В первом примере сначала выполняют действие разность, а затем сложение, потому что при отсутствии скобок вычитание и сложение выполняются в том порядке, в котором они написаны: слева направо.
38 − (10 + 6) = 38 − 16 = 22 В этом примере сначала производится действие в скобках, а затем вычитание вне скобок.
24 : 3 ∙ 2 = 8 ∙ 2 = 16 В этом примере сначала производится действие деления, а затем умножения, потому что при отсутствии скобок умножение и деление выполняются в том порядке, в котором они написаны: слева направо.
24 : (3 ∙ 2) = 24 : 6 = 4 В этом примере сначала производится действие в скобках, а затем деление вне скобок.

Подсказка:

1) Помни о порядке выполнения арифметических действий и что скобки влияют на порядок выполнения действий.

2) Сначала выполняются действия в скобках, умножение или деление, а потом – сложение или вычитание. Слева направо.

3) Затем – действия вне скобок – умножение или деление, а потом – сложение или вычитание. Слева направо.

Шаг 1.
Рассмотрим примеры.

38 − 10 + 6 = 28 + 6 = 34
В данном примере присутствуют только действия сложение и вычитание – они равноправны. Поэтому действия выполняются по порядку слева направо: сначала - разность, а потом сложение.

38 − (10 + 6) = 38 − 16 = 22
В данном примере присутствуют действия сложение и вычитание, а также скобки. Действия в скобках выполняются первыми. Поэтому сначала производится сложение в скобках, а потом вычитание вне скобок.

24 : 3 ∙ 2 = 8 ∙ 2 = 16
В данном примере присутствуют только действия умножение и деление – они равноправны. Поэтому действия выполняются по порядку слева направо: сначала - деление, а потом умножение.

24 : (3 ∙ 2) = 24 : 6 = 4
В данном примере присутствуют действия умножение и деление, а также скобки. Действия в скобках выполняются первыми. Поэтому сначала производится умножение в скобках, а потом деление вне скобок.

Шаг 2.
Расставим действия.

     1       2
38 − 10 + 6

     2        1
38 − (10 + 6)

     1  2
24 : 3 ∙ 2

     2   1
24 : (3 ∙ 2)

Номер 2.

Объясни, как надо выполнять действия.

Ответ:
математика 3 класс Моро, Волкова, Бантова, Бельтюкова - 1 часть страница 24 номер 2

Так как в примере есть скобки, то сначала производится действие в них. Затем по правилу идет действие умножения, а потом сложения.

математика 3 класс Моро, Волкова, Бантова, Бельтюкова - 1 часть страница 24 номер 2-1

Так как в примере скобок нет, то действия производятся в таком порядке: сначала деление и умножение по порядку (слева направо), затем вычитание и сложение по порядку (слева направо).

Подсказка:

1) Помни о порядке выполнения арифметических действий и что скобки влияют на порядок выполнения действий.
2) Сначала выполняются действия в скобках, умножение или деление, а потом – сложение или вычитание. Слева направо.

3) Затем – действия вне скобок – умножение или деление, а потом – сложение или вычитанием. Слева направо.

Шаг 1.
Рассмотрим примеры.
Пояснение к заданию 2

В данном примере есть действия умножение, сложение и вычитание, а также скобки. Поэтому сначала выполняем действие, записанное в скобках – вычитание, потом выполняем умножение и последним действие – сложение.

Пояснение к заданию 2

В данном примере есть действия умножение, деление, сложение и вычитание. Скобок в примере нет. Вначале выполняем действия умножение и деление по порядку слева направо, а лишь потом сложение и вычитание по порядку слева направо.

Шаг 2.
Выполним вычитания по действиям.
Пояснение к заданию 2

1) 13 – 9 = 4
2) 6 · 4 = 24
3) 30 + 24 = 54

Пояснение к заданию 2

1) 18 : 2 = 9
2) 2 · 3 = 6
3) 12 : 3 = 4
4) 9 – 6 = 3
5) 3 + 4 = 7

Номер 1.

Вычисли

1) 30 + 15 - 6
60 - 7 + 18
18 : 3 + 4 · 3
2 · 8 + 21 : 7
12 + 6 : 2 - 7 · 2
37 + 9 - 6 : 2 · 3

2) 70 : (3 + 7) + 24
60 : 6 · 3 - 18
100 - (24 - 18) · 3
100 - (72 - 67) · 2

Ответ:
математика 3 класс Моро, Волкова, Бантова, Бельтюкова - 1 часть страница 24, номер 1
Подсказка:

Вспомним таблицу умножения, а также порядок действий.

Шаг 1.
Выполняем вычисления.

30 + 15 − 6 = 39
1) 30 + 15 = 45
2) 45 − 6 = 39

60 − 7 + 18 = 71
1) 60 − 7 = 53
2) 53 + 18 = 71

18 : 3 + 4 · 3 = 18
1) 18 : 3 = 6
2) 4 · 3 = 12
3) 6 + 12 = 18

2 · 8 + 21 : 7 = 19
1) 2 · 8 = 16
2) 21 : 7 = 3
3) 16 + 3 = 19

12 + 6 : 2 − 7 · 2 = 1
1) 6 : 2 = 3
2) 7 · 2 = 14
3) 12 + 3 = 15
4) 15 − 14 = 1

37 + 9 − 6 : 2 · 3 = 37
1) 6 : 2 = 3
2) 3 · 3 = 9
3) 37 + 9 = 46
4) 46 − 9 = 37

70 : (3 + 7) + 24 = 31
1) 3 + 7 = 10
2) 70 : 10 = 7
3) 7 + 24 = 31

60 : 6 · 3 − 18 = 12
1) 60 : 6 = 10
2) 10 · 3 = 30
3) 30 − 18 = 12

100 − (24 − 18) · 3 = 82
1) 24 − 18 = 6
2) 6 · 3 = 18
3) 100 − 18 = 82

100 − (72 − 67) · 2 = 90
1) 72 − 67 = 5
2) 5 · 2 = 10
3) 100 − 10 = 90

Шаг 2.
Оформляем задание в тетрадь.
Пояснение к заданию 1

Номер 2.

математика 3 класс Моро, Волкова, Бантова, Бельтюкова - 1 часть страница 24, номер 2
Ответ:
математика 3 класс Моро, Волкова, Бантова, Бельтюкова - 1 часть страница 24, номер 2
Подсказка:

Если произведение двух множителей разделить на один из них, получится другой множитель.

Шаг 1.
Выполняем вычисления.

8 · 3 = 24
21 : 7 = 3
8 : 4 = 2
15 : 5 = 3
6 · 3 = 18
18 : 2 = 9

Шаг 2.
Оформляем задание в тетрадь.
Пояснение к заданию 2

Номер 3.

Упаковщица уложила в коробку 2 ряда жёлтых кубиков, по 8 кубиков в ряду, и 16 красных кубиков. Сколько всего кубиков было в коробке?

Ответ:

Жёлтые – 2 р. по 8 к.
Красные – 16 к.
Всего – ? к.

1) 2 ∙ 8 = 16 (к.) – желтых.
2) 16 + 16 = 32 (к.)
Ответ: 32 кубика всего в коробке.

Подсказка:

Краткая запись – это коротко записанное условие задачи, последним в краткой записи пишется вопрос к задаче.

Шаг 1.
Оформляем задание в виде краткой записи.

Жёлтые – 2 р. по 8 к.
Красные – 16 к.
Всего – ? к.

Шаг 2.
Рассуждаем.

Узнаем, сколько продавец положила в коробку желтых кубиков, для этого количество рядов с желтыми кубиками умножим на количество кубиков в ряду.

1) 2 · 8 = 16 (к.) – желтых.

Шаг 3.
Продолжаем рассуждение.

Узнаем, сколько красных и желтых кубиков в коробке, для этого сложим количество тех и других вместе.

2) 16 + 16 = 32 (к.)

Шаг 4.
Записываем ответ.

Ответ: 32 кубика всего в коробке.

Номер 4.

В трёх одинаковых рядах 24 стула. Сколько стульев в каждом ряду? Сколько стульев в двух таких рядах? в десяти рядах?

Ответ:

3 р. – 24 ст.
1 р. – ? ст.
2 р. – ? ст.
10р. – ? ст.

1) 24 : 3 = 8 (ст.) – в одном ряду.
2) 8 · 2 = 16 (ст.) – в двух рядах.
3) 8 · 10 = 80 (ст.) – в 10 рядах
Ответ: в одном ряду 8 стульев; в двух рядах 16 стульев; в 10 рядах 80 стульев.

Подсказка:

Краткая запись – это коротко записанное условие задачи, последним в краткой записи пишется вопрос к задаче.

Шаг 1.
Оформляем задание в виде краткой записи.

3 р. – 24 ст.
1 р. – ? ст.
2 р. – ? ст.
10р. – ? ст.

Шаг 2.
Рассуждаем.

Узнаем, сколько стульев в одном ряду, для этого количество стульев в трех рядах разделим на 3.

1) 24 : 3 = 8 (ст.) – в одном ряду.

Шаг 3.
Продолжаем рассуждение.

Чтобы узнать, сколько стульев в двух рядах, нужно количество стульев в одном ряду умножить на 2.

2) 8 · 2 = 16 (ст.) – в двух рядах.

Шаг 4.
Продолжаем рассуждение.

Чтобы узнать, сколько стульев в десяти рядах, нужно количество стульев в одном ряду умножить на 10.

3) 8 · 10 = 80 (ст.) – в 10 рядах.

Шаг 5.
Записываем ответ.

Ответ: в одном ряду 8 стульев; в двух рядах 16 стульев; в 10 рядах 80 стульев.

Номер 5.

Высота берёзы 15 м, а рябины 3 м. На сколько метров берёза выше рябины? Во сколько раз берёза выше рябины?

Ответ:
математика 3 класс Моро, Волкова, Бантова, Бельтюкова - 1 часть страница 24, номер 5

1) 15 - 3 = 12 (м.) – береза выше рябины.
2) 15 : 3 = 5 (р.) – береза выше рябины.
Ответ: на 12 метров берёза выше рябины; в 5 раз берёза выше рябины.

Подсказка:

Краткая запись – это коротко записанное условие задачи, последним в краткой записи пишется вопрос к задаче.

Шаг 1.
Оформляем задание в виде краткой записи.
Пояснение к заданию 5
Шаг 2.
Рассуждаем.

Чтобы узнать, на сколько береза выше рябины, нужно из высоты березы вычесть высоту рябины.

1) 15 − 3 = 12 (м.) – береза выше рябины.

Шаг 3.
Продолжаем рассуждение.

Чтобы узнать, во сколько раз береза выше рябины, нужно высоту березы разделить на высоту рябины.

2) 15 : 3 = 5 (р.) – береза выше рябины.

Шаг 4.
Записываем ответ.

Ответ: на 12 метров выше; в 5 раз выше.

Номер 6.

1) Найди периметр каждого многоугольника.
2) Сколько осей симметрии у каждой фигуры?

математика 3 класс Моро, Волкова, Бантова, Бельтюкова - 1 часть страница 24, номер 6
Ответ:

1) Периметр синего квадрата:
25 + 25 + 25 + 25 = 100 (мм)
100 мм = 10 см
Ответ: периметр ABCD равен 10 см.

Периметр красного треугольника:
3 + 3 + 3 = 3 ∙ 3 = 9 (см)
Ответ: периметр KLM равен 9 см.

Периметр зелёного прямоугольника:
(3 + 3) + (2 + 2) = 6 + 4 = 10 (см)
Ответ: периметр NOPT равен 10 см.

2) В квадрате 4 оси симметрии.
В треугольнике 3 оси симметрии.
В прямоугольнике 2 оси симметрии.

Подсказка:

Ось симметрии – это прямая или воображаемая линия, которая делит геометрическую фигуру на две зеркально одинаковых фигуры.

Шаг 1.
Рассмотрим фигуры.

Измерим длины сторон каждой из фигур.

Пояснение к заданию 6
Шаг 2.
Вычислим периметр каждой фигуры.

Периметр синего квадрата:
25 + 25 + 25 + 25 = 100 (мм)
100 мм = 10 см
Ответ: периметр ABCD равен 10 см.

Периметр красного треугольника:
3 + 3 + 3 = 3 ∙ 3 = 9 (см)
Ответ: периметр KLM равен 9 см.

Периметр зелёного прямоугольника:
(3 + 3) + (2 + 2) = 6 + 4 = 10 (см)
Ответ: периметр NOPT равен 10 см.

Шаг 3.
Сосчитаем оси симметрии каждой фигуры.

В квадрате 4 оси симметрии.
В треугольнике 3 оси симметрии.
В прямоугольнике 2 оси симметрии.

Номер 7.

В двух вазах было 13 яблок. Когда из одной вазы взяли 2 яблока, а в другую добавили 3 яблока, яблок в вазах стало поровну. Сколько яблок было в каждой вазе сначала?

Ответ:

1) 13 - 2 + 3 = 14 (ябл.) – стало в двух вазах.
2) 14 : 2 = 7 (ябл.) – стало в одной вазе.
3) 7 + 2 = 9 (ябл.) – было в одной вазе.
4) 7 - 3 = 4 (ябл.) – было во второй вазе.
Ответ: в первой вазе было 9 яблок, во второй 4 яблока.

Подсказка:

Краткая запись – это коротко записанное условие задачи, последним в краткой записи пишется вопрос к задаче.

Шаг 1.
Оформляем задание в виде краткой записи.
Пояснение к заданию 7
Шаг 2.
Рассуждаем.

Чтобы узнать, сколько яблок стало в двух вазах, нужно из 13 яблок, которые были изначально, вычесть 2 яблока, которые взяли из первой вазы. Затем к полученному количеству прибавить 3 яблока, которые были добавлены во вторую вазу.

1) 13 − 2 + 3 = 14 (яб.) – стало в двух вазах.

Шаг 3.
Продолжаем рассуждение.

Чтобы узнать, сколько яблок стало в одной вазе, нужно количество яблок в двух вазах разделить на 2.

2) 14 : 2 = 7 (яб.) – стало в одной вазе.

Шаг 4.
Продолжаем рассуждение.

Чтобы узнать, сколько яблок было в первой вазе, нужно к количеству яблок в одной вазе (стало) прибавить 2.

3) 7 + 2 = 9 (яб.) – было в первой вазе.

Шаг 5.
Продолжаем рассуждение.

Чтобы узнать, сколько яблок было во второй вазе, нужно из количества яблок в одной вазе (стало) вычесть 3.

4) 7 − 3 = 4 (яб.) – было во второй вазе.

Шаг 6.
Записываем ответ.

Ответ: в первой вазе было 9 яблок, во второй 4 яблока.

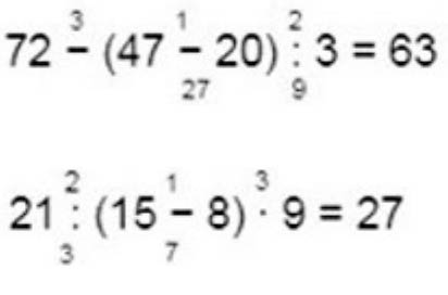
Задание внизу страницы

72 - (47 - 20) : 3 = ⬜
21 : (15 - 8) · 9 = ⬜

Ответ:
математика 3 класс Моро, Волкова, Бантова, Бельтюкова - 1 часть страница 24, номер 8
Подсказка:

Вспомним таблицу умножения, а также порядок действий.

Шаг 1.
Выполняем вычисления.

72 − (47 − 20) : 3 = 72 − 27 : 3 = 72 − 9 = 63

21 : (15 − 8) · 9 = 21 : 7 · 9 = 3 · 9 = 27

Шаг 2.
Оформляем задание в тетрадь.
Пояснение к заданию внизу страницы

Задание на полях страницы

Ребусы:

Ответ:
математика 3 класс Моро, Волкова, Бантова, Бельтюкова - 1 часть страница 24, номер 7
Подсказка:

Вспомним таблицу умножения, а также порядок действий.

Шаг 1.
Рассуждаем.

Внимательно рассмотрим примеры и вставим пропущенные цифры.

Шаг 2.
Оформляем задание в тетрадь.
Пояснение к заданию на полях страницы
Конец страницы
Переход на другие страницы Содержание
Информация на этой странице была полезной?
4/5 (1 голос)
Нашли ошибку на сайте? Помогите нам ее исправить!

С подпиской рекламы не будет

Подключите премиум подписку со скидкой в 40% за 149 ₽

Понравились решения?
Напишите свой комментарий.

Вам может быть интересно