Математика 2 класс учебник Моро, Волкова 2 часть ответы – страница 91

  • Тип: ГДЗ, Решебник.
  • Авторы: Моро М. И., Волкова С. И., Степанова С. В.
  • Часть: 2.
  • Год: 2020-2024.
  • Серия: Школа России (ФГОС).
  • Издательство: Просвещение.
Отличаются задания? Переключите год учебника.
Переключение года издания

Задание вверху страницы

Вычисли и запомни!

Ответ:

3 ∙ 6 = 3 ∙ 5 + 3 = 18    6 ∙ 3 = 18 3 ∙ 7 = 3 ∙ 6 + 3 = 21    3 ∙ 7 = 21 3 ∙ 8 = 3 ∙ 7 + 3 = 24    3 ∙ 8 = 24 3 ∙ 9 = 3 ∙ 8 + 3 = 27    3 ∙ 9 = 27

Подсказка:

Повтори случаи табличного умножения на 2 и на 3.

Шаг 1.
Выполняем вычисления

3 ∙ 6 = 3 ∙ 5 + 3 = 18    6 ∙ 3 = 18
3 ∙ 7 = 3 ∙ 6 + 3 = 21    3 ∙ 7 = 21
3 ∙ 8 = 3 ∙ 7 + 3 = 24    3 ∙ 8 = 24
3 ∙ 9 = 3 ∙ 8 + 3 = 27    3 ∙ 9 = 27

Номер 1.

Ответ:

3 ∙ 7 + 3 = 3 ∙ 8 = 24 8 ∙ 3 − 3 = 7 ∙ 3 = 21
3 ∙ 6 + 3 = 3 ∙ 7 = 21 3 ∙ 7 − 3 = 3 ∙ 6 = 18
3 ∙ 10 − 3 = 3 ∙ 9 = 27 3 ∙ 9 + 3 = 3 ∙ 10 = 30
2 ∙ 9 + 2 = 2 ∙ 10 = 20 2 ∙ 7 − 2 = 2 ∙ 6 = 12

Подсказка:

Повтори случаи табличного умножения на 2 и на 3.

Шаг 1.
Выполняем вычисления

3 * 7 + 3 = 21 + 3 = 24
8 * 3 - 3 = 24 - 3 = 21

3 * 6 + 3 = 18 + 3 = 21
3 * 7 - 3 = 21 - 3 = 18

3 * 10 - 3 = 30 - 3 = 27
3 * 9 + 3 = 27 + 3 = 30

2 * 9 + 2 = 18 + 2 = 20
2 * 7 - 2 = 14 - 2 = 12

Номер 2.

Маляр окрашивал каждый день 8 оконных рам. Сколько рам он окрасил за 3 дня?
Составь задачи, обратные данной. Реши их.

Ответ:

Рам в день – 8 шт. Рам за 3 дня – ? шт.
8 ∙ 3 = 24 (р.) – всего покрашено.
Ответ: 24 рамы всего покрасили маляр
Обратная задача 1: Маляр окрасил 24 рамы за 3 дня. Сколько рам он окрашивал каждый день?
Рам в день – ? шт. Рам за 3 дня – 24 шт.
24 : 3 = 8 (р.) – за один день.
Ответ: 8 рам окрашивал маляр за один день.
Обратная задача 2: Маляр окрасил 24 рамы, окрашивая каждый день по 8 рам. За сколько дней он окрасил все рамы?
Рам в день – 8 шт. Рам за ? дня – 24 шт.
24 : 8 = 3 (д.) – понадобилось маляру, чтобы окрасить рамы.
Ответ: за 3 дня маляр смог окрасить рамы.

Подсказка:

Сумму одинаковых слагаемых можно заменить умножением.
Повтори, что такое обратная задача.
​​​​​​​Если есть схематический рисунок или чертёж, краткую запись задачи составлять не нужно.

Шаг 1.
Оформляем условие в виде краткой записи

Рам в день – 8 шт.
Рам за 3 дня – ? шт.

Шаг 2.
Рассуждаем

Чтобы узнать, сколько рам покрашено за три дня, нужно количество рам, покрашенных за день умножить на количество дней.
8 ∙ 3 = 24 (р.)

Шаг 3.
Записываем ответ

Ответ: 24 рамы всего покрашено.

Составим и решим первую задачу обратную данной
Шаг 1.
Составляем условие первой задачи обратной данной

Маляр окрасил 24 рамы за 3 дня. Сколько рам он окрашивал каждый день?

Шаг 2.
Оформляем условие в виде краткой записи

Рам в день – ? шт.
Рам за 3 дня – 24 шт.

Шаг 3.
Рассуждаем

Чтобы узнать, сколько рам покрашено за один день, нужно количество покрашенных рам за три дня разделить на 3.
24 : 3 = 8 (р.)

Шаг 4.
Записываем ответ

Ответ: 8 рам за один день.

Составим и решим вторую задачу обратную данной
Шаг 1.
Составляем условие второй задачи обратной данной

Маляр окрасил 24 рамы, окрашивая каждый день по 8 рам. За сколько дней он окрасил все рамы?

Шаг 2.
Оформляем условие в виде краткой записи

Рам в день – 8 шт.
Рам за ? дня – 24 шт.

Шаг 3.
Рассуждаем

Чтобы узнать, сколько дней понадобилось маляру, чтобы окрасить все рамы, нужно все количество рам разделить на количество рам, окрашенных за один день.
24 : 8 = 3 (д.)

Шаг 4.
Записываем ответ

Ответ: за 3 дня понадобилось маляру, чтобы окрасить рамы.

Номер 3.

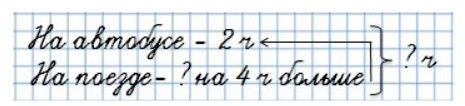
Футболисты ехали на матч сначала 2 ч а автобусе, а затем в поезде на 4 ч дольше, чем в автобусе. Сколько всего времени футболисты потратили на дорогу?

Ответ:

математика 2 класс учебник 2 часть Моро страница 91. Номер 3
1) 2 + 4 = 6 (ч) - футболисты ехали на поезде. 2) 2 + 6 = 8 (ч) - футболисты затратили на весь путь.
Ответ: 8 часов всего затратили футболисты на весь путь.

Подсказка:

Дольше, значит больше.
Если в задаче есть слова «на... больше», то задача решается сложением.
Повтори, как составить краткую запись к задаче.

Шаг 1.
Оформляем условие в виде краткой записи
Пояснение к заданию 3
Шаг 2.
Рассуждаем

Чтобы узнать, сколько времени футболисты ехали на поезде, нужно к времени, которое они ехали на автобусе прибавить 4 часа.
1) 2 + 4 = 6 (ч) - ехали на поезде.

Шаг 3.
Продолжаем рассуждение

Чтобы узнать, сколько часов футболисты потратили на дорогу, нужно сложить вместе количество часов на автобусе и поезде вместе.
2) 6 + 2 = 8 (ч)

Шаг 4.
Записываем ответ

Ответ: всего 8 часов.

Номер 4.

Ответ:
математика 2 класс Моро, Волкова, Бантова, Бельтюкова - 2 часть страница 91. Номер 4

1 Множитель ∙ 2 множитель = произведение Произведение: 1 множитель = 2 множитель Произведение: 2 множитель = 1 множитель

Подсказка:

Если произведение двух чисел разделить на один множитель, то получится второй.

Шаг 1.
Выполняем вычисления

3 * 9 = 27
9 * 2 = 18
12 : 3 = 4
14 : 7 = 2
18 : 6 = 3
10 : 5 = 2

Шаг 2.
Оформляем задание в тетрадь
Пояснение к заданию 4

Номер 5.

Периметр треугольника 28 см. Длины первой и второй сторон 9 см и 7 см. Узнай длину третьей стороны этого треугольника.

Ответ:

Первая сторона – 9 см Вторая сторона – 7 см Третья сторона – ? см
Р = 28 см Р = первая сторона + вторая сторона + третья сторона 28 = 9 + 7 + третья сторона Третья сторона = 28 – (7 + 9) = 28 – 16 = 12
Ответ: длина третьей стороны треугольника равна 12 см .

Подсказка:

Повтори, как вычислить периметр многоугольника.

Шаг 1.
Оформляем условие в виде краткой записи
Пояснение к заданию 5
Шаг 2.
Рассуждаем

Узнаем, чему равна длина первой и второй сторон вместе.
1) 9 + 7 = 16 (см) - сумма двух сторон треугольника

Шаг 3.
Продолжаем рассуждение

Чтобы узнать, чему равна третья сторона треугольника, нужно из периметра треугольника вычесть сумму первой и второй сторон.
2) 28 - 16 = 12 (см) - длина третьей стороны треугольника

Шаг 3.
Записываем ответ

Ответ: третья сторона 12 см.

Номер 6.

Ответ:

4 ∙ 2 + 4 = 4 ∙ 3 = 12 6 ∙ 2 + 6 = 6 ∙ 3 = 18
8 ∙ 3 = 24 7 ∙ 3 = 21
18 − (15 − 7) = 18 − 8 = 10 40 + (9 + 13) = 40 + 22 = 62
6 ∙ 3 : 2 = 18 : 2 = 9 3 ∙ 4 : 2 = 12 : 2 = 6

Подсказка:

Вспомни порядок выполнения действий при нахождении значения числовых выражений со скобками и без них.

Шаг 1.
Выполняем вычисления

4 * 2 + 4 = 8 + 4 = 12
6 * 2 + 6 = 12 + 6 = 18

8 * 3 = 24
7 * 3 = 21

18 - (15 - 7) = 18 - 8 = 10
40 + (9 + 13) = 40 + 22 = 62

6 * 3 : 2 = 18 : 2 = 9
3 * 4 : 2 = 12 : 2 = 6

Номер 7.

Запиши пропущенные числа:

Ответ:

1) 2, 4, 6, 8, 10, 12, 14, 16, 18, 20.     Каждое последующее число на 2 больше предыдущего.
2) 3, 6, 9, 12, 15, 18, 21, 24, 27, 30.     Каждое последующее число на 3 больше предыдущего.

Подсказка:

Рассмотри ряды чисел и установи закономерность.

Шаг 1.
Выполняем вычисления

1) 2, 4, 6, 8, 10, 12, 14, 16, 18, 20.
Каждое последующее число на 2 больше предыдущего.

2) 3, 6, 9, 12, 15, 18, 21, 24, 27, 30.
Каждое последующее число на 3 больше предыдущего.

Шаг 2.
Оформляем задание в тетрадь

1) 2, 4, 6, 8, 10, 12, 14, 16, 18, 20;
2) 3, 6, 9, 12, 15, 18, 21, 24, 27, 30.

Номер 8.

Начерти такую ломаную и узнай ее длину.

Ответ:
математика 2 класс учебник 2 часть Моро страница 91. Номер 8

Ломаная состоит из 9 звеньев, длина каждого звена 2 см: 2 ∙ 9 = 18 см
Ответ: общая длина ломаной составляет 18 см.

Подсказка:

Чтобы найти длину ломаной линии, нужно сложить длины всех её звеньев.

Шаг 1.
Начертим ломанную, как на полях страницы
Пояснение к заданию 8
Шаг 2.
Вычислим длину ломаной

Измеряю длину одного звена. Всего звеньев 9, значит, длина всей ломаной линии равна по 2 см взять 9 раз:
2 * 9 = 18 (см)

Пояснение к заданию 8-1
Шаг 3.
Оформим задание в тетрадь
Пояснение к заданию 8-2

2 * 9 = 18 (см)
Ответ: длина ломаной 18 см.

Задание внизу страницы

Ответ:

8 ∙ 2 + 8 = 24 6 ∙ 3 = 18 20 + (30 − 4) = 46 9 : 3 ∙ 2 = 6

Подсказка:

Повтори случаи табличного умножения и деления и порядок действий при решении числовых выражений со скобками и без них.

Шаг 1.
Выполняем вычисления

8 * 2 + 8 = 16 + 8 = 16 + 4 + 4 = 20 + 4 = 24
6 * 3 = 18
20 + (30 - 4) = 20 + 26 = 20 + 20 + 6 = 40 + 6 = 46
9 : 3 * 2 = 3 * 2 = 6

Шаг 2.
Оформляем задание в тетрадь

8 * 2 + 8 = 24
6 * 3 = 18
20 + (30 - 4) = 46
9 : 3 * 2 = 6

Таблица умножения

Номер 1.

Запиши только ответы и проверь себя по таб-лице на обороте обложки учебника.
2 ∙ 2
3 ∙ 2      3 ∙ 3
4 ∙ 2      4 ∙ 3      4 ∙ 4
5 ∙ 2      5 ∙ 3      5 ∙ 4      5 ∙ 5
6 ∙ 2      6 ∙ 3      6 ∙ 4      6 ∙ 5       6 ∙ 6
7 ∙ 2      7 ∙ 3      7 ∙ 4      7 ∙ 5       7 ∙ 6      7 ∙ 7
8 ∙ 2      8 ∙ 3      8 ∙ 4      8 ∙ 5       8 ∙ 6      8 ∙ 7      8 ∙ 8
9 ∙ 2      9 ∙ 3      9 ∙ 4      9 ∙ 5       9 ∙ 6      9 ∙ 7      9 ∙ 8      9 ∙ 9

Ответ:

2 ∙ 2 = 4
3 ∙ 2 = 6        3 ∙ 3 = 9
4 ∙ 2 = 8        4 ∙ 3 = 12      4 ∙ 4 = 16
5 ∙ 2 = 10      5 ∙ 3 = 15      5 ∙ 4 = 20      5 ∙ 5 = 25
6 ∙ 2 = 12      6 ∙ 3 = 18      6 ∙ 4 = 24      6 ∙ 5 = 30      6 ∙ 6 = 36
7 ∙ 2 = 14      7 ∙ 3 = 21      7 ∙ 4 = 28      7 ∙ 5 = 35      7 ∙ 6 = 42      7 ∙ 7 = 49
8 ∙ 2 = 16      8 ∙ 3 = 24      8 ∙ 4 = 32      8 ∙ 5 = 40      8 ∙ 6 = 48      8 ∙ 7 = 56      8 ∙ 8 = 64
9 ∙ 2 = 18      9 ∙ 3 = 27      9 ∙ 4 = 36      9 ∙ 5 = 45      9 ∙ 6 = 54      9 ∙ 7 = 63      9 ∙ 8 = 72      9 ∙ 9 = 81

Подсказка:

Вспомним и повторим таблицу умножения.

Шаг 1.
Выполняем вычисления

2 ∙ 2 = 4

3 ∙ 2 = 6
3 ∙ 3 = 9

4 ∙ 2 = 8
4 ∙ 3 = 12
4 ∙ 4 = 16

5 ∙ 2 = 10
5 ∙ 3 = 15
5 ∙ 4 = 20
5 ∙ 5 = 25

6 ∙ 2 = 12
6 ∙ 3 = 18
6 ∙ 4 = 24
6 ∙ 5 = 30
6 ∙ 6 = 36

7 ∙ 2 = 14
7 ∙ 3 = 21
7 ∙ 4 = 28
7 ∙ 5 = 35
7 ∙ 6 = 42
7 ∙ 7 = 49

8 ∙ 2 = 16
8 ∙ 3 = 24
8 ∙ 4 = 32
8 ∙ 5 = 40
8 ∙ 6 = 48
8 ∙ 7 = 56
8 ∙ 8 = 64

9 ∙ 2 = 18
9 ∙ 3 = 27
9 ∙ 4 = 36
9 ∙ 5 = 45
9 ∙ 6 = 54
9 ∙ 7 = 63
9 ∙ 8 = 72
9 ∙ 9 = 81

Шаг 2.
Оформляем задание в тетрадь

2 ∙ 2 = 4

3 ∙ 2 = 6
3 ∙ 3 = 9

4 ∙ 2 = 8
4 ∙ 3 = 12
4 ∙ 4 = 16

5 ∙ 2 = 10
5 ∙ 3 = 15
5 ∙ 4 = 20
5 ∙ 5 = 25

6 ∙ 2 = 12
6 ∙ 3 = 18
6 ∙ 4 = 24
6 ∙ 5 = 30
6 ∙ 6 = 36

7 ∙ 2 = 14
7 ∙ 3 = 21
7 ∙ 4 = 28
7 ∙ 5 = 35
7 ∙ 6 = 42
7 ∙ 7 = 49

8 ∙ 2 = 16
8 ∙ 3 = 24
8 ∙ 4 = 32
8 ∙ 5 = 40
8 ∙ 6 = 48
8 ∙ 7 = 56
8 ∙ 8 = 64

9 ∙ 2 = 18
9 ∙ 3 = 27
9 ∙ 4 = 36
9 ∙ 5 = 45
9 ∙ 6 = 54
9 ∙ 7 = 63
9 ∙ 8 = 72
9 ∙ 9 = 81

Номер 2.

Для детского сада купили 24 куклы, мячей в 4 раза меньше, чем кукол, а машинок – в 3 раза меньше, чем кукол. Объясни, что обозначают выражения.
1) 24 : 4             5) 24 : 4 + 24 : 3
2) 24 : 3             6) 24 + 24 : 4 + 24 : 3
3) 24 – 24 : 4      7) 24 : 3 – 24 : 4
4) 24 + 24 : 3      8) 24 – 24 : 3

Ответ:

1) 24 : 4 – количество мячей.
2) 24 : 3 – количество машинок.
3) 24 – 24 : 4 – на сколько больше кукол, чем мячей.
4) 24 + 24 : 3 – количество кукол и мячей вместе.
5) 24 : 4 + 24 : 3 – количество мячей и машинок вместе.
6) 24 + 24 : 4 + 24 : 3 – количество всех игрушек.
7) 24 : 4 - 24 : 3 – на сколько больше мячей, чем машинок.
8) 24 – 24 : 3 – на сколько больше кукол, чем машинок.

Подсказка:

Чтобы узнать, на сколько одно число больше или меньше другого, нужно из большего числа вычесть меньшее.

Шаг 1.
Оформляем условие задачи в виде краткой записи
Пояснение к заданию 2
Шаг 2.
Объясним, что обозначают выражения

1) 24 : 4 – количество мячей.
2) 24 : 3 – количество машинок.
3) 24 – 24 : 4 – на сколько больше кукол, чем мячей.
4) 24 + 24 : 3 – количество кукол и мячей вместе.
5) 24 : 4 + 24 : 3 – количество мячей и машинок вместе.
6) 24 + 24 : 4 + 24 : 3 – количество всех игрушек.
7) 24 : 4 - 24 : 3 – на сколько больше мячей, чем машинок.
8) 24 – 24 : 3 – на сколько больше кукол, чем машинок.

Номер 3.

27 : 9      3 · 8 : 6      21 : 3 + 0 · 6      38 + 59
56 : 7      2 · 9 : 3      27 : 3 + 1 · 6      42 – 17

Ответ:

27 : 9 = 3;
56 : 7 = 8;

  24
3 · 8 : 6 = 4;
  18
2 · 9 : 3 = 6;

    7         0
21 : 3 + 0 · 6 = 7;
    9         6
27 : 3 + 1 · 6 = 15;

38 + 59 = 97;
42 – 17 = 25.

Подсказка:

Вспомним и повторим таблицу умножения.

Шаг 1.
Выполняем вычисления

27 : 9 = 3
56 : 7 = 8

3 · 8 : 6 = 24 : 6 = 4
2 · 9 : 3 = 18 : 3 = 6

21 : 3 + 0 · 6 = 7 + 0 = 7
27 : 3 + 1 · 6 = 9 + 6 = 15

38 + 59 = 97
42 – 17 = 25

Шаг 2.
Оформляем задание в тетрадь

27 : 9 = 3
56 : 7 = 8

3 · 8 : 6 = 4
2 · 9 : 3 = 6

21 : 3 + 0 · 6 = 7
27 : 3 + 1 · 6 = 15

38 + 59 = 97
42 – 17 = 25

Номер 4.

Рассмотри рисунок и скажи, во сколько раз бабочек меньше, чем стрекоз.

Математика 2 класс Моро, Волкова, Бантова, Бельтюкова - 2 часть страница 91, номер 4, 2024 год.
Ответ:
Математика 2 класс Моро, Волкова, Бантова, Бельтюкова - 2 часть страница 91, номер 4-1, 2024 год.

6 : 2 = 3 (раза) – бабочек больше, чем стрекоз.

Ответ: в 3 раза больше на рисунке бабочек, чем стрекоз.

Подсказка:

Вспомним из каких частей состоит задача.

Шаг 1.
Оформляем условие задачи в виде краткой записи
Пояснение к заданию 4
Шаг 2.
Рассуждаем

Чтобы узнать во сколько раз бабочек меньше чем стрекоз, нужно количество стрекоз разделить на количество бабочек.
6 : 2 = 3 (раза)

Шаг 3.
Записываем ответ

Ответ: в 3 раза бабочек меньше, чем стрекоз.

Номер 5.

44 – 29      90 – 32      50 – 34      47 + 47

Ответ:
Математика 2 класс Моро, Волкова, Бантова, Бельтюкова - 2 часть страница 91, номер 5, 2024 год.
Подсказка:

Вспомним алгоритм сложения и вычитания в столбик.

Шаг 1.
Выполняем вычисления
Пояснение к заданию 5
Шаг 2.
Рассуждаем
Пояснение к заданию 5-1

Задание внизу страницы.

Даны числа 4, 5, 7, 8, 9. Каждое чётное число уменьши в 2 раза, а нечётное увеличь в 9 раз.

Ответ:

Четные числа: 4, 8.
4 : 2 = 2;
8 : 2 = 4.

Нечетные числа: 5, 7, 9.
5 · 9 = 45;
7 · 9 = 63;
9 · 9 = 81.

Подсказка:

Вспомним и повторим таблицу умножения.

Шаг 1.
Выполняем вычисления

Четные числа: 4, 8.
4 : 2 = 2
8 : 2 = 4

Нечетные числа: 5, 7, 9.
5 · 9 = 45
7 · 9 = 63
9 · 9 = 81

Шаг 2.
Оформляем задание в тетрадь

Четные числа: 4, 8.
4 : 2 = 2
8 : 2 = 4

Нечетные числа: 5, 7, 9.
5 · 9 = 45
7 · 9 = 63
9 · 9 = 81

Задание на полях страницы.

Цепочка:

Математика 2 класс Моро, Волкова, Бантова, Бельтюкова - 2 часть страница 91, номер  на полях страницы, 2024 год.
Ответ:

72 : 8 = 9 · 4 = 36 : 6 = 6.

Подсказка:

Вспомним и повторим таблицу умножения.

Шаг 1.
Выполняем вычисления
Пояснение к заданию 6

72 : 8 = 9 · 4 = 36 : 6 = 6.

Шаг 2.
Оформляем задание в тетрадь

72 : 8 = 9 · 4 = 36 : 6 = 6.

Конец страницы
Переход на другие страницы Содержание
Информация на этой странице была полезной?
0/5 (0 голосов)
Нашли ошибку на сайте? Помогите нам ее исправить!

С подпиской рекламы не будет

Подключите премиум подписку со скидкой в 40% за 149 ₽

Понравились решения?
Напишите свой комментарий.

Вам может быть интересно