Математика 2 класс учебник Моро, Волкова 2 часть ответы – страница 57

  • Тип: ГДЗ, Решебник.
  • Авторы: Моро М. И., Волкова С. И., Степанова С. В.
  • Часть: 2.
  • Год: 2020-2024.
  • Серия: Школа России (ФГОС).
  • Издательство: Просвещение.
Отличаются задания? Переключите год учебника.
Переключение года издания

Номер 1.

Объясни, пользуясь рисунками, почему верны записанные под ними равенства. Какое свойство умножения они иллюстрируют?

Ответ:

С помощью рисунков мы наблюдаем переместительное свойство умножения. От перестановки множителей результат умножения не изменится.
8 ∙ 2 = 2 ∙ 8     7 ∙ 3 = 3 ∙ 7

Подсказка:

От перестановки множителей результат умножения не изменяется.

Шаг 1.
Объясним, пользуясь первым рисунком записанное под ним равенство
Пояснение к заданию 1

На рисунке 2 ряда по 8 клеточек, значит, по 8 взяли 2 раза:
8 * 2
На этом же рисунке 8 столбиков по 2 клеточки в каждом, значит, по 2 взяли 8 раз:
2 * 8

Шаг 2.
Объясним, пользуясь вторым рисунком записанное под ним равенство
Пояснение к заданию 1-1

На рисунке 3 ряда по 7 клеточек, значит, по 7 взяли 3 раза:
7 * 3
На этом же рисунке 7 столбиков по 3 клеточки в каждом, значит, по 3 взяли 7 раз:
3 * 7

Шаг 3.
Сделаем вывод

Вывод: От перестановки множителей результат умножения не изменяется.

Номер 2.

Вставь пропущенные числа так, чтобы равенства стали верными.

Ответ:

7 ∙ 2 = 2 ∙ 7     9 ∙ 7 = 7 ∙ 9        13 ∙ 5 = 5 ∙ 13 3 ∙ 5 = 5 ∙ 3     10 ∙ 6 = 6 ∙ 10     2 ∙ 18 = 18 ∙ 2

Подсказка:

От перестановки множителей результат умножения не изменяется.

Шаг 1.
Выполняем вычисления

7 ∙ 2 = 2 ∙ 7
3 ∙ 5 = 5 ∙ 3

9 ∙ 7 = 7 ∙ 9
10 ∙ 6 = 6 ∙ 10

13 ∙ 5 = 5 ∙ 13
2 ∙ 18 = 18 ∙ 2

Номер 3.

Каждый из трех мальчиков купил по 4 тетради, а каждая из четырех девочек – по 3 тетради. Узнай, сколько тетрадей купили мальчики и сколько девочки. Сравни полученные выражения, сравни их значения.

Ответ:
математика 2 класс учебник 2 часть Моро страница 57. Номер 3
Подсказка:

Сумму одинаковых слагаемых можно заменить умножением.

Шаг 1.
Оформляем условие в виде краткой записи
Пояснение к заданию 3
Шаг 2.
Рассуждаем

Узнаем, сколько тетрадей купили мальчики.
1) 4 * 3 = 12 (т.) – купили мальчики

Шаг 3.
Продолжаем рассуждение

Узнаем, сколько тетрадей купили девочки.
2) 3 * 4 = 12 (т.) – купили девочки

Шаг 4.
Продолжаем рассуждение

Сравним полученные выражения и их значения.
3)
12 – 12 = 0 (т.)
4 * 3 = 3 * 4
12 = 12

Шаг 5.
Записываем ответ

Ответ: 12 тетрадей купили мальчики, 12 тетрадей купили девочки.

Номер 4.

1) Высота ели 19 м, березы на 4 м меньше, чем ели, а высота рябины на 6 м меньше высоты березы.
Объясни, что обозначают выражения: 19 − 4     (19 − 4) − 6.
2) Составь по выражениям похожие задачи и реши их. (40 − 8) − 7     (40 + 8) − 7

Ответ:
математика 2 класс учебник 2 часть Моро страница 57. Номер 3

19 – 4 – этим выражением узнаем высоту берёзы. (19 – 4) – 6 – этим выражением узнаем высоту рябины.
Задача 1: В первом ведре 40 яблок, во втором ведре на 8 яблок меньше, а в третьем на 7 яблок меньше, чем во втором. Сколько яблок в третьем ведре? (40 − 8) − 7 = 25 (ябл.)
Ответ: 25 яблок в третьем ведре.
Задача 2: В первом ведре 40 яблок, во втором ведре на 8 яблок больше, а в третьем на 7 яблок меньше, чем во втором. Сколько яблок в третьем ведре? (40 + 8) − 7 = 41 (ябл.)
Ответ: 41 яблоко в третьем ведре.

Подсказка:

Если в задаче есть слова « на... меньше», то задача решается вычитанием.

Шаг 1.
Объясним, что обозначают выражения

19 - 4 = 15 (м) - высота берёзы
(19 - 4) - 6 = 9 (м) - высота рябины.

Составим и решим задачу по первому выражению
Шаг 1.
Составляем условие задачи

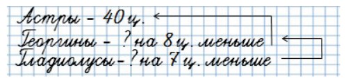
У бабушки в саду росли 40 астр, георгинов на 8 меньше, чем астр, а гладиолусов на 7 меньше, чем георгинов.

Шаг 2.
Оформляем условие в виде краткой записи
Пояснение к заданию 4
Шаг 3.
Рассуждаем

Узнаем, сколько было гладиолусов.
(40 - 8) - 7 = 32 - 7 = 25 (гл.) - было гладиолусов

Шаг 5.
Записываем ответ

Ответ: было 25 гладиолусов.

Составим и решим задачу по второму выражению
Шаг 1.
Составляем условие задачи

У Маши в коллекции было 40 марок, у Наташи на 8 марок больше, чем у Маши, а у Коли на 7 марок меньше, чем у Наташи.

Шаг 2.
Оформляем условие в виде краткой записи
Пояснение к заданию 4-1
Шаг 3.
Рассуждаем

Узнаем, сколько марок было у Коли.
(40 + 8) - 7 = 41 (м.) - было у Коли.

Шаг 5.
Записываем ответ

Ответ: у Коли была 41 марка.

Номер 5.

Ответ:

75 + 25 = 100    64 − 28 = 36 37 + 49 = 86    96 − 27 = 69

математика 2 класс учебник 2 часть Моро страница 57. Номер 3

Подсказка:

Повтори действия с двузначными числами.

Шаг 1.
Выполняем вычисления
Пояснение к заданию 5
Шаг 2.
Оформляем задание в тетрадь

75 + 25 = 100
64 − 28 = 36
37 + 49 = 86
96 − 27 = 69

Номер 6.

Ответ:
математика 2 класс учебник 2 часть Моро страница 57. Номер 6
Подсказка:

Вспомни порядок выполнения действий при нахождении значения числовых выражений со скобками и без них.
От перестановки мест слагаемых сумма не меняется.
Два соседних слагаемых можно заменить их суммой.
Если к числу прибавить 0, получится то же самое число.

Шаг 1.
Выполняем вычисления

90 - (46 - 40) = 90 - 6 = 84
10 + (59 - 9) = 10 + 50 = 60

28 + 6 + 54 = 28 + (6 + 54) = 28 + 60 = 88
90 - 79 - 8 = 11 - 8 = 3

0 + 9 = 9
0 + 0 = 0

Шаг 2.
Оформляем задание в тетрадь
Пояснение к заданию 6

Номер 7.

Сколько раз по 4 содержится в числе 8? в числе 12? в числе 16?

Ответ:

В числе 8 содержится 2 раза по 4: 4 ∙ 2 = 8
В числе 12 содержится 3 раза по 4: 4 ∙ 3 = 12
В числе 16 содержится 4 раза по 4: 4 ∙ 4 = 16

Подсказка:

Сумму одинаковых слагаемых можно заменить умножением.

Шаг 1.
Выполняем вычисления

4 + 4 = 4 * 2 = 8
4 + 4 + 4 = 4 * 3 = 12
4 + 4 + 4 + 4 = 4 * 4 = 16

Шаг 2.
Оформляем задание в тетрадь

В числе 8 содержится 2 раза по 4.
8 - 4 - 4 = 0

В числе 12 содержится 3 раза по 4.
12 - 4 - 4 - 4 = 0

В числе 16 содержится 4 раза по 4.
16 - 4 - 4 - 4 - 4 = 0

Задание на полях страницы

Каких фигур не хватает?

Ответ:
математика 2 класс Моро, Волкова, Бантова, Бельтюкова - 2 часть страница 57. Задание на полях
Подсказка:

Внимательно рассмотри рисунок и найди, каких частей не хватает.

Шаг 1.
Рассмотрим фигуры на полях страницы
Пояснение к заданию 8
Шаг 2.
Найдем каких фигур не хватает
Пояснение к заданию 8-1
Шаг 3.
Оформим задание в тетрадь
Пояснение к заданию 8-2

Задание внизу страницы

Проверочные работы с.56 Проверочные работы с.57

Деление на 2

Номер 1.

Рассмотри записи под каждым рисунком.Спиши, заполняя пропуски, и объясни, как полу чено каждое следующее равенство из первого.

Ответ:

Если произведение разделить на один из множителей, то получится другой множитель.

3 ∙ 2 = 6      4 ∙ 2 = 8      5 ∙ 2 = 10      6 ∙ 2 = 12
6 : 2 = 3        8 : 2 = 4      10 : 2 = 5      12 : 2 = 6
6 : 3 = 2        8 : 4 = 2      10 : 5 = 2      12 : 6 = 2

7 ∙ 2 = 14      8 ∙ 2 = 16      9 ∙ 2 = 18
14 : 2 = 7      16 : 2 = 8      18 : 2 = 9
14 : 7 = 2      16 : 8 = 2      18 : 9 = 2

Подсказка:

Повторим принцип деления на однозначное число.

Шаг 1.
Рассуждаем

Если произведение разделить на первый множитель, то мы получим второй множитель.
Если произведение разделить на второй множитель, то мы получим первый множитель.

Шаг 2.
Выполняем вычисления

3 * 2 = 6
6 : 2 = 3
6 : 3 = 2

4 * 2 = 8
8 : 2 = 4
8 : 4 = 2

5 * 2 = 10
10 : 2 = 5
10 : 5 = 2

6 * 2 = 12
12 : 2 = 6
12 : 6 = 2

7 * 2 = 14
14 : 2 = 7
14 : 7 = 2

8 * 2 = 16
16 : 2 = 8
16 : 8 = 2

9 * 2 = 18
18 : 2 = 9
18 : 9 = 2

Шаг 3.
Оформим задание в тетрадь

Если произведение разделить на один из множителей, то получится другой множитель.

3 ∙ 2 = 6        4 ∙ 2 = 8      5 ∙ 2 = 10      6 ∙ 2 = 12
6 : 2 = 3        8 : 2 = 4      10 : 2 = 5      12 : 2 = 6
6 : 3 = 2        8 : 4 = 2      10 : 5 = 2      12 : 6 = 2

7 ∙ 2 = 14      8 ∙ 2 = 16      9 ∙ 2 = 18
14 : 2 = 7      16 : 2 = 8      18 : 2 = 9
14 : 7 = 2      16 : 8 = 2      18 : 9 = 2

Номер 2.

12 : 6      18 : 2      16 : 8      14 : 7       8 : 2
12 : 2      18 : 9      16 : 2      14 : 2       8 : 4

Ответ:

12 : 6 = 2      18 : 2 = 9      16 : 8 = 2      14 : 7 = 2      8 : 2 = 4
12 : 2 = 6      18 : 9 = 2      16 : 2 = 8      14 : 2 = 7      8 : 4 = 2

Подсказка:

Вспомним таблицу умножения на 2.
При делении произведения двух множителей на один из этих множителей, получается второй множитель.

Шаг 1.
Выполняем вычисления

12 : 6 = 2
12 : 2 = 6

18 : 2 = 9
18 : 9 = 2

16 : 8 = 2
16 : 2 = 8

14 : 7 = 2
14 : 2 = 7

8 : 2 = 4
8 : 4 = 2

Шаг 2.
Оформляем задание в тетрадь

12 : 6 = 2      18 : 2 = 9      16 : 8 = 2      14 : 7 = 2      8 : 2 = 4
12 : 2 = 6      18 : 9 = 2      16 : 2 = 8      14 : 2 = 7      8 : 4 = 2

Номер 3.

За партами сидели 18 учеников, по 2 ученика за каждой партой. Сколько парт занято?

Ответ:

Количество учеников – 18 ч.
Количество парт – ? шт.
Количество учеников за партой – 2 ч.

18 : 2 = 9 (шт.) – парт заняли ученики.

Ответ: 9 парт заняли ученики всего.

Подсказка:

Вспомним из каких частей состоит задача.

Шаг 1.
Оформляем условие в виде краткой записи

Количество учеников – 18 ч.
Количество парт – ? шт.
Количество учеников за партой – 2 ч.

Шаг 2.
Рассуждаем

Чтобы узнать, сколько парт занимают ученики, нужно количество всех учеников разделить на количество учеников за одной партой.
18 : 2 = 9 (шт.)

Шаг 3.
Записываем ответ

Ответ: 9 парт заняли ученики.

Номер 4.

Саша купил ручку за 8 р., ластик за 5 р., и у него осталось 2 р. Что узнаешь, вычислив:
8 – 5?      8 + 5?      8 + 5 + 2?      (8 + 5) – 2?

Ответ:
Математика 2 класс Моро, Волкова, Бантова, Бельтюкова - 2 часть страница 57, номер 6, 2024 год.

8 − 5 = 3 (р.) – на сколько ручка дороже ластика.
8 + 5 = 13 (р.) – столько стоит ручка и ластик.
8 + 5 + 2 = 15 (р.) – столько денег было у Саши.
(8 + 5) – 2 = 11 (р.) – стоимость покупки.

Подсказка:

Повтори, из каких частей состоит задача.

Шаг 1.
Оформляем условие задачи в виде краткой записи
Пояснение к заданию 4
Шаг 2.
Объясняем, что означают вычисления

8 − 5 = 3 (р.) – на сколько ручка дороже ластика.
8 + 5 = 13 (р.) – столько стоит ручка и ластик.
8 + 5 + 2 = 15 (р.) – столько денег было у Саши.
(8 + 5) – 2 = 11 (р.) – стоимость покупки.

Шаг 3.
Оформляем задание в тетрадь

8 − 5 = 3 (р.) – на сколько ручка дороже ластика.
8 + 5 = 13 (р.) – столько стоит ручка и ластик.
8 + 5 + 2 = 15 (р.) – столько денег было у Саши.
(8 + 5) – 2 = 11 (р.) – стоимость покупки.

Номер 5.

Какое число больше на 9, чем 25? 36? 47?
Какое число меньше на 8, чем 51? 62? 73?

Ответ:

25 + 9 = 34. 34 на 9 больше, чем 25.
36 + 9 = 45. 45 на 9 больше, чем 36.
47 + 9 = 56. 56 на 9 больше, чем 47.


51 − 8 = 43. 43 на 8 меньше, чем 51.
62 − 8 = 54. 54 на 8 меньше, чем 62.
73 − 8 = 65. 65 на 8 меньше, чем 73.

Подсказка:

Если в задаче есть слова «на... больше», то задача решается сложением, а если « на... меньше», то задача решается вычитанием.

Шаг 1.
Выполняем вычисления

25 + 9 = 34
34 на 9 больше, чем 25

51 − 8 = 43
43 на 8 меньше, чем 51

36 + 9 = 45
45 на 9 больше, чем 36

62 − 8 = 54
54 на 8 меньше, чем 62

47 + 9 = 56
56 на 9 больше, чем 47

73 − 8 = 65
65 на 8 меньше, чем 73

Шаг 2.
Оформляем задание в тетрадь

25 + 9 = 34
34 на 9 больше, чем 25

51 − 8 = 43
43 на 8 меньше, чем 51

36 + 9 = 45
45 на 9 больше, чем 36

62 − 8 = 54
54 на 8 меньше, чем 62

47 + 9 = 56
56 на 9 больше, чем 47

73 − 8 = 65
65 на 8 меньше, чем 73

Номер 6.

1) Измерь каждое звено ломаной и найди её длину.
2) Начерти квадрат, периметр которого равен длине этой ломаной.

Математика 2 класс Моро, Волкова, Бантова, Бельтюкова - 2 часть страница 57, номер 6, 2024 год.
Ответ:

1) 2 см – длина звена.
2 ∙ 4 = 8 см

2) Если периметр квадрата 8 см и у квадрата все стороны равны, то 8 : 4 = 2 см – длина стороны.
Чертим квадрат со сторонами 2 см.

Математика 2 класс Моро, Волкова, Бантова, Бельтюкова - 2 часть страница 57, номер 6-1, 2024 год.
Подсказка:

Чтобы найти длину ломаной линии, нужно сложить длины всех её звеньев.
Периметр многоугольника - это сумма длин всех его сторон. У квадрата все стороны равны, поэтому мы можем длину умножить на 4 и вычислить периметр.

Шаг 1.
Измерим звенья ломаной и найдем ее длину

Длина одного звена ломаной 2 см
Значит, длина всей ломаной линии равна
2 * 4 = 8 (см)

Шаг 2.
Начертим квадрат по данным задания

Тогда и периметр квадрата равен 8 см.
Периметр квадрата длину одной стороны умножить на 4, значит, длина одной стороны равна
8 : 4 = 2 (см)
Чертим квадрат со стороной 2 см.

Пояснение к заданию 6
Шаг 3.
Оформляем задание в тетрадь

1) 2 см – длина звена.
2 ∙ 4 = 8 см
2) Если периметр квадрата 8 см и у квадрата все стороны равны, то 8 : 4 = 2 см – длина стороны. Чертим квадрат со сторонами 2 см.

Пояснение к заданию 6

Задание внизу страницы.

Для игры 12 детей разделились на 2 команды поровну. Сколько детей в каждой команде?

Ответ:

12 : 2 = 6 (д.) – в одной команде.

Ответ: по 6 детей в каждой команде для игры.

Подсказка:

Вспомним, что значит поровну.

Шаг 1.
Оформляем условие в виде схематического чертежа
Пояснение к заданию 7
Шаг 2.
Рассуждаем

Чтобы узнать, сколько ребят в каждой команде, нужно количество всех детей разделить на 2.
12 : 2 = 6 (ч.)

Шаг 3.
Записываем ответ

Ответ: 6 ребят в каждой команде.

Задание на полях страницы.

Ребусы:

Математика 2 класс Моро, Волкова, Бантова, Бельтюкова - 2 часть страница 57, номер на полях страницы, 2024 год.
Ответ:
Математика 2 класс Моро, Волкова, Бантова, Бельтюкова - 2 часть страница 57, номер на полях страницы, 2024 год.
Подсказка:

Повторим способы письменного вычитания в столбик.

Шаг 1.
Рассмотрим ребус
Пояснение к заданию 8
Шаг 2.
Разгадаем ребус
Пояснение к заданию 8-2
Шаг 3.
Оформим задание в тетрадь
Пояснение к заданию 8-1
Конец страницы
Переход на другие страницы Содержание
Информация на этой странице была полезной?
1/5 (1 голос)
Нашли ошибку на сайте? Помогите нам ее исправить!

С подпиской рекламы не будет

Подключите премиум подписку со скидкой в 40% за 149 ₽

Понравились решения?
Напишите свой комментарий.

Вам может быть интересно