Математика 6 класс учебник Виленкин, Жохов 1 часть ответы – номер 1.153

alt
  • Тип: ГДЗ, Решебник.
  • Авторы: Виленкин Н.Я., Жихов В.И., Чесноков А.С. и др.
  • Часть: 1.
  • Год: 2023-2026.
  • Серия: Школа России (ФГОС).
  • Издательство: Просвещение.

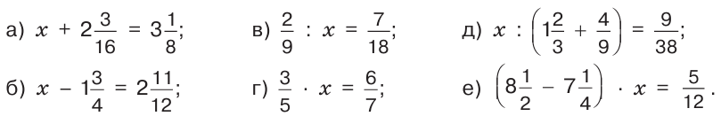
Номер 1.153.

Решите уравнение:

математика 6 класс Виленкин, Жохов - 1 часть Номер 2.135
Ответ:

математика 6 класс Виленкин, Жохов - 1 часть Номер 2.135

Конец страницы
Переход на другие страницы Содержание
Информация на этой странице была полезной?
0/5 (0 голосов)
Нашли ошибку на сайте? Помогите нам ее исправить!

С подпиской рекламы не будет

Подключите премиум подписку со скидкой в 40% за 149 ₽

Понравились решения?
Напишите свой комментарий.

Вам может быть интересно