Математика 4 класс учебник Петерсон 2 часть ответы – страница 45

  • Тип: ГДЗ, Решебник.
  • Авторы: Петерсон Л. Г.
  • Часть: 2.
  • Год: 2019-2022.
  • Серия: Школа России (ФГОС).
  • Издательство: Просвещение.

Номер 1.

Составь по рисунку выражение и найди его значение:

Учебник по математике 4 класс Петерсон - Часть 2, страница 45, номер 1, год 2019-2022.
Ответ:

4 – 23/4 = 34/4 – 23/4 = 11/4 41/3 – 22/3 = 34/3 – 22/3 = 12/3

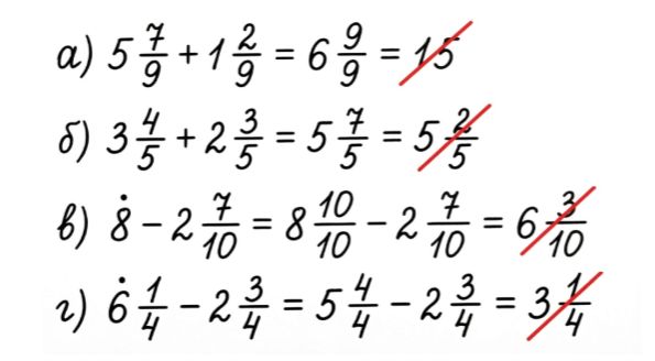
Номер 2.

Учебник по математике 4 класс Петерсон - Часть 2, страница 45, номер 2, год 2019-2022.
Ответ:

а) 57/9 + 12/9 = 69/9 = 15     Неверно выполнено сложение целой части и неправильной дроби, ведь 9/9 = 1     57/9 + 12/9 = 69/9 = 6 + 1 = 7
б) 34/5 + 23/5 = 55/9 = 52/5     Неверно выполнено сложение целой части и неправильной дроби, забыли добавить ещё 1 целую часть.     34/5 + 23/5 = 55/9 = 62/5
в) 8 – 27/10 = 810/10 – 27/10 = 63/10     Неверно заняли 1 целую часть у целого числа.     8 – 27/10 = 710/10 – 27/10 = 53/10
г) 61/4 – 23/4 = 54/4 – 23/4 = 31/4     Неверно заняли 1 целую часть у целого числа, забыли прибавить правильную дробь.     61/4 – 23/4 = 55/4 – 23/4 = 32/4

Номер 3.

Вычисли устно. Что интересного в этих примерах?

2 + 7/8 45/7 + 21/7 21/6 + 15/6 54/11 + 37/11 2 - 7/8 45/7 – 21/7 21/6 – 15/6 54/11 – 37/11

Ответ:

2 + 7/8 = 27/8 45/7 + 21/7 = 66/7 21/6 + 15/6 = 4 54/11 + 37/11 = 9 2 – 7/8 = 11/8 45/7 – 21/7 = 24/7 21/6 – 15/6 = 2/6 54/11 – 37/11 = 18/11
В примерах дроби одинаковы, но разные действия.

Номер 4.

Реши уравнения с комментированием и сделай проверку:

а) (39/16 + х) – 25/16 = 211/16 б) (57/8 – у) + 43/8 = 71/8

Ответ:

а) (39/16 + х) – 25/16 = 211/16
     39/16 + х – уменьшаемое;      Чтобы найти уменьшаемое нужно к разности прибавить вычитаемое
     39/16 + х = 211/16 + 25/16      39/16 + х = 416/16
     х – слагаемое;      Чтобы найти неизвестное слагаемое нужно из суммы вычесть известное слагаемое.
     х = 416/16 – 39/16      х = 17/16
     Проверка: (39/16 + 17/16) – 25/16 = 416/16 – 25/16 = 211/16
     Ответ: 211/16.
б) (57/8 – у) + 43/8 = 71/8
     57/8 – у – слагаемое;      Чтобы найти неизвестное слагаемое нужно из суммы вычесть известное слагаемое.
     57/8 – у = 71/8 – 43/8      57/8 – у = 69/8 – 43/8      57/8 – у = 26/8      у – вычитаемое;      у = 57/8 – 26/8      у = 31/8      Проверка: (57/8 – 31/8) + 43/8 = 26/8 + 43/8 = 69/8 = 71/8
     Ответ: 31/8.

Номер 5.

а) В один из дней зимних каникул мальчик катался на лыжах 23/5 ч, а на коньках – на 14/5 ч меньше. Сколько времени он катался на лыжах и на коньках вместе? б) Длина прямоугольника 14/20 м, а ширина – на 3/20 м меньше длины. Найди периметр прямоугольника и вырази его в сантиметрах.

Ответ:

а) 1) 23/5 – 14/5 = 18/5 – 14/5 = 4/5 (ч) – мальчик катался на коньках;     2) 23/5 + 4/5 = 27/5 = 32/5 (ч) – мальчик катался и на коньках и на лыжах вместе.
    Ответ: 32/5 часа.
б) 1) 14/203/20 = 11/20 (м) – длина прямоугольника;     2) (14/20 + 11/20) + (14/20 + 11/20) = 25/20 + 25/20 = 410/20 (м) – периметр прямоугольника;     3) 410/20 м = 4 м + 10/20 м = 400 см + 10 ∙ 100 : 20 см = 400 см + 50 см = 450 см – периметр прямоугольника.
    Ответ: 450 см.

Номер 6.

Первая сторона треугольника равна 43/10 см, а вторая – на 21/10 см больше, чем первая. Найди длину третьей стороны, если периметр треугольника равен 16 см. Вырази ответ в миллиметрах.

Ответ:

1) 43/10 + 21/10 = 64/10 (см) – вторая сторона треугольника; 2) 43/10 + 64/10 = 107/10 (см) – сумма первой и второй стороны треугольника; 3) 16 – 107/10 = 1510/10 – 107/10 = 53/10 (см) – длина третьей стороны; 4) 53/10 см = 50 мм + 3 мм = 53 мм – длина третьей стороны.
Ответ: 53 мм.

Номер 7.

а) Выдели целую часть из неправильной дроби: 28/3, 39/7, 67/8. б) Запиши смешанные числа в виде дроби: 57/8, 24/16, 79/29.

Ответ:

а) 28/3 = 91/3,     28 : 3 = 9 (ост. 1)     39/7 = 54/7,     39 : 7 = 5 (ост. 4)     67/8 = 83/8,     67 : 8 = 8 (ост. 3)
б) 57/8 = 8 ∙ 5 + 7/8 = 47/8,     24/16 = 16 ∙ 2 + 4 / 16 = 36/16,     79/29 = 29 ∙ 7 + 9 / 29 = 212/29.

Учебник по математике 4 класс Петерсон - Часть 2, страница 45, номер 7, год 2019-2022.
Конец страницы
Переход на другие страницы Содержание
Информация на этой странице была полезной?
0/5 (0 голосов)
Нашли ошибку на сайте? Помогите нам ее исправить!

С подпиской рекламы не будет

Подключите премиум подписку со скидкой в 40% за 149 ₽

Понравились решения?
Напишите свой комментарий.

Вам может быть интересно