Математика 2 класс учебник Моро, Волкова 2 часть ответы – страница 99

  • Тип: ГДЗ, Решебник.
  • Авторы: Моро М. И., Волкова С. И., Степанова С. В.
  • Часть: 2.
  • Год: 2020-2024.
  • Серия: Школа России (ФГОС).
  • Издательство: Просвещение.
Отличаются задания? Переключите год учебника.
Переключение года издания

Номер 24.

Вычисли и проверь решение.

Ответ:
математика 2 класс учебник 2 часть Моро страница 99. Номер 24
Подсказка:

Повтори действия с двузначными числами.

Шаг 1.
Выполняем вычисления
Пояснение к заданию 24
Шаг 2.
Оформляем задание в тетрадь
Пояснение к заданию 24.1

Номер 25.

Прочитай выражение k + 8. Найди значения этой суммы, если k = 36, k = 42, k = 57, k = 69.

Ответ:

«Ка» плюс восемь. 36 + 8 = 44 42 + 8 = 50 57 + 8 = 65 69 + 8 = 77

Подсказка:

Повтори, как найти значение буквенного выражения.

Шаг 1.
Выполняем вычисления
Пояснение к заданию 25
Шаг 2.
Оформляем задание в тетрадь

«Ка» плюс восемь.
36 + 8 = 44
42 + 8 = 50
57 + 8 = 65
69 + 8 = 77

Номер 26.

Ответ:

20 + (42 + 8) + 6 = 20 + 50 + 6 = 76 50 + (34 + 6) + 7 = 50 + 40 + 7 = 97
10 + (35 − 15) = 10 + 20 = 30 70 − (84 − 40) = 70 – 44 = 26

Подсказка:

Повтори случаи табличного сложения, табличного вычитания и порядок действий при решении числовых выражений со скобками.
От перестановки мест слагаемых сумма не меняется.
Два соседних слагаемых можно заменить их суммой.

Шаг 1.
Выполняем вычисления

20 + (42 + 8) + 6 = (20 + 6) + 50 = 26 + 50 = 76
50 + (34 + 6) + 7 = (50 + 7) + 40 = 57 + 40 = 97

10 + (35 - 15) = 10 + 20 = 30
70 - (84 - 40) = 70 - 44 = 70 - 40 - 4 = 30 - 4 = 26

Номер 27.

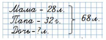
Маме, папе и дочери вместе 68 лет. Сколько лет дочери, если маме 28 лет, а папе 32 года?

Ответ:

математика 2 класс учебник 2 часть Моро страница 99. Номер 27
1) 28 + 32 = 60 (лет) – маме и папе. 2) 68 − 60 = 8 (лет) – дочери.
Ответ: 8 лет дочери всего.

Подсказка:

Повтори, как составить краткую запись задачи.

Шаг 1.
Оформляем условие в виде краткой записи
Пояснение к заданию 27
Шаг 2.
Рассуждаем

Узнаем, сколько лет маме и папе вместе.
1) 28 + 32 = 60 (л.) - маме и папе вместе.

Шаг 3.
Продолжаем рассуждение

Чтобы узнать, сколько лет дочери, нужно из общего возраста вычесть возраст мамы и папы.
2) 68 - 60 = 8 (л.)

Шаг 4.
Записываем ответ

Ответ: дочери 8 лет.

Номер 28.

Катя принесла из сада 15 тюльпанов. Она составила 3 букета: первый – из 7 тюльпанов, второй – из 5 тюльпанов. Сколько тюльпанов в третьем букете?

Ответ:

математика 2 класс учебник 2 часть Моро страница 99. Номер 28
1) 7 + 5 = 12 (т.) – в первом и втором букете вместе. 2) 15 − 12 = 3 (т.) – в третьем букете.
Ответ: 3 тюльпана в третьем букете всего.

Подсказка:

Повтори, как составить краткую запись задачи.

Шаг 1.
Оформляем условие в виде краткой записи
Пояснение к заданию 28
Шаг 2.
Рассуждаем

Узнаем, сколько тюльпанов в первом и втором букетах вместе.
1) 7 + 5 = 12 (т.) - в двух букетах.

Шаг 3.
Продолжаем рассуждение

Чтобы узнать, сколько тюльпанов в третьем букете, нужно из количества всех тюльпанов вычесть количество тюльпанов в первом и втором букетах.
2) 15 - 12 = 3 (т.)

Шаг 4.
Записываем ответ

Ответ: 3 тюльпана в третьем букете.

Номер 29.

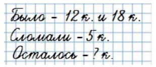
У хоккеистов школьной команды было 12 старых клюшек и 18 новых. Во время игры 5 клюшек сломалось. Сколько клюшек осталось?

Ответ:

Старых – 12 кл. Новых – 18 кл. Сломалось – 5 кл. Осталось – ? кл.
1) 12 + 18 = 30 (кл.) – всего. 2) 30 − 5 = 25 (кл.) – осталось.
Ответ: 25 клюшек всего осталось у хоккеистов школьной команды.

Подсказка:

Повтори, как составить краткую запись задачи.

Шаг 1.
Оформляем условие в виде краткой записи
Пояснение к заданию 29
Шаг 2.
Рассуждаем

Узнаем, сколько всего клюшек было у хоккеистов школьной команды.
1) 18 + 12 = 30 (к.) - всего.

Шаг 3.
Продолжаем рассуждение

Чтобы узнать, сколько клюшек осталось после того как 5 сломалось, нужно из всего количества клюшек вычесть 5 сломанных.
2) 30 - 5 = 25 (к.)

Шаг 4.
Записываем ответ

Ответ: осталось 25 клюшек.

Номер 30.

В детский сад привезли 20 кг муки. Из 4 кг муки испекли блины, а из 8 кг – булочки. Сколько килограммов муки осталось?
Реши задачу разными способами.

Ответ:

Было – 20 кг муки Блины – 4 кг Булочки – 8 кг Осталось – ? кг

1) 4 + 8 = 12 (кг) – потратили. 2) 20 − 12 = 8 (кг)

1) 20 − 4 = 16 (кг) – осталось после блинов. 2) 16 − 8 = 8 (кг) – осталось после булочек.

1) 20 − 8 = 12 (кг) – муки осталось после булочек. 2) 12 − 4 = 8 (кг) – муки осталось после блинов.

Ответ: осталось 8 кг муки после готовки блинов.

Подсказка:

Повтори случаи табличного сложения и вычитания.
Вспомни, как составить краткую запись задачи.

Решим задачу первым способом
Шаг 1.
Оформляем условие в виде краткой записи
Пояснение к заданию 30
Шаг 2.
Рассуждаем

Узнаем, сколько всего муки израсходовали.
1) 8 + 4 = 12 (кг) - всего израсходовали.

Шаг 3.
Продолжаем рассуждение

Чтобы узнать, сколько килограмм муки осталось, нужно из количества привезенной муки вычесть количество израсходованной.
2) 20 - 12 = 8 (кг)

Шаг 4.
Записываем ответ

Ответ: осталось 8 кг муки.

Решим задачу вторым способом
Шаг 1.
Оформляем условие в виде краткой записи
Пояснение к заданию 30-1
Шаг 2.
Рассуждаем

Узнаем, сколько килограмм муки осталось после того как испекли блины.
1) 20 - 4 = 16 (кг) - осталось после того как испекли блины.

Шаг 3.
Продолжаем рассуждение

Узнаем, сколько килограмм муки осталось после того как испекли булочки.
2) 16 - 8 = 8 (кг)

Шаг 4.
Записываем ответ

Ответ: осталось 8 кг муки.

Решим задачу третьим способом
Шаг 1.
Оформляем условие в виде краткой записи
Пояснение к заданию 30-1
Шаг 2.
Рассуждаем

Узнаем, сколько килограмм муки осталось после того как испекли булочки.
1) 20 - 8 = 12 (кг) - осталось после того как испекли булочки.

Шаг 3.
Продолжаем рассуждение

Узнаем, сколько килограмм муки осталось после того как испекли блины.
2) 12 - 4 = 8 (кг)

Шаг 4.
Записываем ответ

Ответ: осталось 8 кг муки.

Номер 31.

Сыну 9 лет, а отцу 35 лет. На сколько лет отец старше сына?

Ответ:

математика 2 класс учебник 2 часть Моро страница 99. Номер 31
35 − 9 = 26 (л.) – на сколько лет отец старше сына.
Ответ: на 26 лет отец старше сына.

Подсказка:

Чтобы узнать, на сколько одно число больше или меньше дру­гого, нужно из большего числа вычесть меньшее - вычитание.

Шаг 1.
Оформляем условие в виде краткой записи
Пояснение к заданию 31
Шаг 2.
Рассуждаем

Узнаем, на сколько лет отец старше сына.
35 - 9 = 26 (л.)

Шаг 3.
Записываем ответ

Ответ: отец старше на 26 лет.

Номер 32.

Первый мультфильм шёл по телевизору 15 мин, второй – на 8 мин меньше, а третий – столько, сколько первый и второй вместе.
Поставь разные вопросы и реши задачи.

Ответ:

математика 2 класс учебник 2 часть Моро страница 99. Номер 32
Задача 1: Сколько минут шёл третий мультфильм?
1) 15 − 8 = 7 (мин) – шёл второй мультфильм. 2) 15 + 7 = 22 (мин) – шёл третий мультфильм.
Ответ: 22 минуты всего шёл третий мультфильм.
Задача 2: Сколько минут шли все три мультфильма?
1) 15 − 8 = 7 (мин) – шёл второй мультфильм. 2) 15 + 7 = 22 (мин) – шёл третий мультфильм. 3) 15 + 7 + 22 = 44 (мин) – всего.
Ответ: 44 минуты всего шёл третий мультфильм.

Подсказка:

Если в задаче есть слова « на... меньше», то задача решается вычитанием.

Решаем первую задачу
Шаг 1.
Поставим вопрос к задаче

Сколько времени шел третий мультфильм?

Шаг 2.
Оформляем условие в виде краткой записи
Пояснение к заданию 32
Шаг 3.
Рассуждаем

Узнаем, сколько минут шел второй мультфильм, для этого из времени, которое идет первый мультфильм, вычтем 8 минут.
1) 15 - 8 = 7 (мин) - шел второй мультфильм

Шаг 4.
Продолжаем рассуждение

Чтобы узнать, сколько времени идет третий мультфильм, нужно сложить продолжительности первого и второго мультфильмов вместе.
2) 15 + 7 = 22 (мин)

Шаг 5.
Записываем ответ

Ответ: 22 минуты шёл третий мультфильм.

Решаем вторую задачу
Шаг 1.
Поставим вопрос к задаче

Сколько времени шли все три мультфильма?

Шаг 2.
Оформляем условие в виде краткой записи
Пояснение к заданию 32-1
Шаг 3.
Рассуждаем

Узнаем, сколько минут шел второй мультфильм, для этого из времени, которое идет первый мультфильм, вычтем 8 минут.
1) 15 - 8 = 7 (мин) - шел второй мультфильм.

Шаг 4.
Продолжаем рассуждение

Чтобы узнать, сколько времени идет третий мультфильм, нужно сложить продолжительности первого и второго мультфильмов вместе.
2) 15 + 7 = 22 (мин) - шел третий мультфильм

Шаг 5.
Продолжаем рассуждение

Узнаем, сколько минут идут все три мультфильма.
3) 22 + 22 = 44 (мин)

Шаг 6.
Записываем ответ

Ответ: все мультфильмы шли 44 минуты.

Номер 33.

Оля вырезала для куклы из бумаги 2 разные кофточки и 3 юбки. Сколько есть разных способов одеть куклу, если каждый раз использовать 1 кофточку и 1 юбку?

Ответ:

К одной кофточке подбираем каждую из трёх юбок. Это 3 костюма.
Ко второй кофточке также подбираем каждую из трёх юбок. Это ещё 3 костюма.
3 + 3 = 6. Всего 6 способов одеть куклу.

Подсказка:

Внимательно рассмотри рисунок и установи соответствие.

Шаг 1.
Составим различные образы для куклы
Пояснение к заданию 33
Шаг 2.
Оформим задание в тетрадь

К одной кофточке подбираем каждую из трёх юбок.
Это 3 костюма.

Ко второй кофточке также подбираем каждую из трёх юбок.
Это ещё 3 костюма.

3 + 3 = 6.
Всего 6 способов одеть куклу.

Задание внизу страницы

Проверочные работы с.64 Проверочные работы с.65

Номер 24.

Вычисли.
7 · 4      20 : 5      12 : 2 · 9      (67 – 4) : 7
6 · 7      36 : 9      64 : 8 · 2      9 · 9 – 40
8 · 6      49 : 7      54 : 9 · 4      (75 – 30) : 9
9 · 5      56 : 8      28 : 4 · 5      40 : 8 + 12

Ответ:

7 · 4 = 28;
6 · 7 = 42;
8 · 6 = 48;
9 · 5 = 45;

20 : 5 = 4;
36 : 9 = 4;
49 : 7 = 7;
56 : 8 = 7;

    6
12 : 2 · 9 = 54;
    8
64 : 8 · 2 = 16;
    6
54 : 9 · 4 = 24;
     7
28 : 4 · 5 = 35;

    63
(67 – 4) : 7 = 9;
  81
9 · 9 – 40 = 41;
    45
(75 – 30) : 9 = 5;
    5
40 : 8 + 12 = 17.

Подсказка:

Вспомним и повторим таблицу умножения, а также порядок выполнения действий.

Шаг 1.
Выполняем вычисления

7 · 4 = 28
6 · 7 = 42
8 · 6 = 48
9 · 5 = 45

20 : 5 = 4
36 : 9 = 4
49 : 7 = 7
56 : 8 = 7

12 : 2 · 9 = 6 * 9 = 54
64 : 8 · 2 = 8 * 2 = 16
54 : 9 · 4 = 6 * 4 = 24
28 : 4 · 5 = 7 * 5 = 35

(67 – 4) : 7 = 63 : 7 = 9
9 · 9 – 40 = 81 – 40 = 41
(75 – 30) : 9 = 45 : 9 = 5
40 : 8 + 12 = 5 + 12 = 17

Шаг 2.
Оформляем задание в тетрадь

7 · 4 = 28
6 · 7 = 42
8 · 6 = 48
9 · 5 = 45

20 : 5 = 4
36 : 9 = 4
49 : 7 = 7
56 : 8 = 7

12 : 2 · 9 = 54
64 : 8 · 2 = 16
54 : 9 · 4 = 24
28 : 4 · 5 = 35

(67 – 4) : 7 = 9
9 · 9 – 40 = 41
(75 – 30) : 9 = 5
40 : 8 + 12 = 17

Номер 25.

Математика 2 класс Моро, Волкова, Бантова, Бельтюкова - 2 часть страница 99, номер 25, 2024 год.
Ответ:
Математика 2 класс Моро, Волкова, Бантова, Бельтюкова - 2 часть страница 99, номер 25-1, 2024 год.
Подсказка:

Вспомним и повторим таблицу умножения.

Шаг 1.
Выполняем вычисления

24 : 8 = 3
9 : 3 = 3
16 : 2 = 8
3 * 7 = 21
8 : 2 = 4
15 : 3 = 5

Шаг 2.
Оформляем задание в тетрадь
Пояснение к заданию 25

Номер 26.

На буровой установке по добыче нефти работало 85 человек. После подключения одной роботизированной системы осталось 63 человека. Сколько человек заменила роботизированная система?

Ответ:

85 – 63 = 22 (ч.) – заменила роботизированная система.

Ответ: 22 человека всего заменила роботизированная система.

Подсказка:

Вспомним из каких частей состоит задача.

Шаг 1.
Оформляем условие задачи в виде краткой записи

Было – 85 чел.
Стало – 63 чел.
Заменила система - ? чел.

Шаг 2.
Рассуждаем

Чтобы узнать сколько человек заменила роботизированная система, нужно из количества человек, которые были сначала вычесть количество человек, которое стало после введения робосистемы.
85 – 63 = 22 (ч.)

Шаг 3.
Записываем ответ

Ответ: 22 человека заменила роботизированная система.

Номер 27.

У хоккеистов школьной команды было 12 старых клюшек и 18 новых. Во время игры 5 клюшек сломалось. Сколько клюшек осталось?

Ответ:

Старых – 12 кл.
Новых – 18 кл.
Сломалось – 5 кл.
Осталось – ? кл.

1) 12 + 18 = 30 (кл.) – всего.
2) 30 − 5 = 25 (кл.) – осталось.

Ответ: 25 клюшек всего осталось у хоккеистов школьной команды.

Подсказка:

Повторим, как составить краткую запись задачи.

Шаг 1.
Оформляем условие задачи в виде краткой записи

Старых – 12 кл.
Новых – 18 кл.
Сломалось – 5 кл.
Осталось – ? кл.

Шаг 2.
Рассуждаем

Узнаем, сколько всего клюшек было у хоккеистов школьной команды.
1) 18 + 12 = 30 (к.) - всего.

Шаг 3.
Продолжаем рассуждение

Чтобы узнать, сколько клюшек осталось после того как 5 сломалось, нужно из всего количества клюшек вычесть 5 сломанных.
2) 30 - 5 = 25 (к.)

Шаг 4.
Записываем ответ

Ответ: осталось 25 клюшек.

Номер 28.

В детский сад привезли 20 кг муки. Из 4 кг муки испекли блины, а из 8 кг – булочки. Сколько килограммов муки осталось?
Реши задачу разными способами.

Ответ:

Было – 20 кг муки
Блины – 4 кг
Булочки – 8 кг
Осталось – ? кг

1) 4 + 8 = 12 (кг) – потратили.
2) 20 − 12 = 8 (кг) – осталось после булочек.

1) 20 − 4 = 16 (кг) – осталось после блинов.
2) 16 − 8 = 8 (кг) – осталось после булочек.

1) 20 − 8 = 12 (кг) – муки осталось после булочек.
2) 12 − 4 = 8 (кг) – муки осталось после блинов.

Ответ: осталось 8 кг муки после готовки блинов.

Подсказка:

Вспомним, как составить краткую запись задачи.

Решим задачу первым способом
Шаг 1.
Оформляем условие в виде краткой записи

Было – 20 кг муки
Блины – 4 кг
Булочки – 8 кг
Осталось – ? кг

Шаг 2.
Рассуждаем

Узнаем, сколько всего муки израсходовали.
1) 8 + 4 = 12 (кг) - всего израсходовали.

Шаг 3.
Продолжаем рассуждение

Чтобы узнать, сколько килограмм муки осталось, нужно из количества привезенной муки вычесть количество израсходованной.
2) 20 - 12 = 8 (кг)

Шаг 4.
Записываем ответ

Ответ: осталось 8 кг муки.

Решим задачу вторым способом
Шаг 1.
Оформляем условие в виде краткой записи

Было – 20 кг муки
Блины – 4 кг
Булочки – 8 кг
Осталось – ? кг

Шаг 2.
Рассуждаем

Узнаем, сколько килограмм муки осталось после того как испекли блины.
1) 20 - 4 = 16 (кг) - осталось после того как испекли блины.

Шаг 3.
Продолжаем рассуждение

Узнаем, сколько килограмм муки осталось после того как испекли булочки.
2) 16 - 8 = 8 (кг)

Шаг 4.
Записываем ответ

Ответ: осталось 8 кг муки.

Решим задачу третьим способом
Шаг 1.
Оформляем условие в виде краткой записи

Было – 20 кг муки
Блины – 4 кг
Булочки – 8 кг
Осталось – ? кг

Шаг 2.
Рассуждаем

Узнаем, сколько килограмм муки осталось после того как испекли булочки.
1) 20 - 8 = 12 (кг) - осталось после того как испекли булочки.

Шаг 3.
Продолжаем рассуждение

Узнаем, сколько килограмм муки осталось после того как испекли блины.
2) 12 - 4 = 8 (кг)

Шаг 4.
Записываем ответ

Ответ: осталось 8 кг муки.

Номер 29.

Сыну 9 лет, а отцу 36 лет. На сколько лет отец старше сына?
Задай вопрос так, чтобы задача решилась делением.

Ответ:
Математика 2 класс Моро, Волкова, Бантова, Бельтюкова - 2 часть страница 99, номер 29, 2024 год.

35 − 9 = 26 (л.) – на сколько лет отец старше сына.

Ответ: на 26 лет отец старше сына.

Во сколько раз отец старше сына?
36 : 9 = 4 (раза) – отец старше сына.

Ответ: в 4 раза отец старше сына.

Подсказка:

Чтобы узнать, на сколько одно число больше или меньше другого, нужно из большего числа вычесть меньшее - вычитание.

Шаг 1.
Оформляем условие в виде краткой записи
Пояснение к заданию 29
Шаг 2.
Рассуждаем

Узнаем, на сколько лет отец старше сына.
35 - 9 = 26 (л.)

Шаг 3.
Записываем ответ

Ответ: отец старше на 26 лет.

Шаг 4.
Зададим другой вопрос и решим задачу

Во сколько раз отец старше сына?
36 : 9 = 4 (раза) – отец старше сына.
Ответ: 4 раза.

Номер 30.

Первый мультфильм шёл по телевизору 15 мин, второй – на 8 мин меньше, а третий – столько, сколько первый и второй вместе.
Задай разные вопросы и реши задачи.

Ответ:
Математика 2 класс Моро, Волкова, Бантова, Бельтюкова - 2 часть страница 99, номер 30, 2024 год.

Задача 1:
Сколько минут шёл третий мультфильм?

1) 15 − 8 = 7 (мин) – шёл второй мультфильм.
2) 15 + 7 = 22 (мин) – шёл третий мультфильм.

Ответ: 22 минуты шёл третий мультфильм всего.

Задача 2:
Сколько минут шли все три мультфильма?

1) 15 − 8 = 7 (мин) – шёл второй мультфильм.
2) 15 + 7 = 22 (мин) – шёл третий мультфильм.
3) 15 + 7 + 22 = 44 (мин) – всего.

Ответ: 44 минут всего длились мультфильмы.

Подсказка:

Если в задаче есть слова « на... меньше», то задача решается вычитанием.

Решаем первую задачу
Шаг 1.
Поставим вопрос к задаче

Сколько времени шел третий мультфильм?

Шаг 2.
Оформляем условие в виде краткой записи
Пояснение к заданию 30
Шаг 3.
Рассуждаем

Узнаем, сколько минут шел второй мультфильм, для этого из времени, которое идет первый мультфильм, вычтем 8 минут.
1) 15 - 8 = 7 (мин) - шел второй мультфильм

Шаг 4.
Продолжаем рассуждение

Чтобы узнать, сколько времени идет третий мультфильм, нужно сложить продолжительности первого и второго мультфильмов вместе.
2) 15 + 7 = 22 (мин)

Шаг 5.
Записываем ответ

Ответ: 22 минуты шёл третий мультфильм.

Решаем вторую задачу
Шаг 1.
Поставим вопрос к задаче

Сколько времени шли все три мультфильма?

Шаг 2.
Оформляем условие в виде краткой записи
Пояснение к заданию 30

Всего - ? мин.

Шаг 3.
Рассуждаем

Узнаем, сколько минут шел второй мультфильм, для этого из времени, которое идет первый мультфильм, вычтем 8 минут.
1) 15 - 8 = 7 (мин) - шел второй мультфильм.

Шаг 4.
Продолжаем рассуждение

Чтобы узнать, сколько времени идет третий мультфильм, нужно сложить продолжительности первого и второго мультфильмов вместе.
2) 15 + 7 = 22 (мин) - шел третий мультфильм

Шаг 5.
Продолжаем рассуждение

Узнаем, сколько минут идут все три мультфильма.
3) 22 + 22 = 44 (мин)

Шаг 6.
Записываем ответ

Ответ: все мультфильмы шли 44 минуты.

Номер 31.

Оля вырезала для куклы из бумаги 2 разные кофточки и 3 юбки. Сколько есть разных способов одеть куклу, если каждый раз использовать 1 кофточку и 1 юбку?

Математика 2 класс Моро, Волкова, Бантова, Бельтюкова - 2 часть страница 99, номер 31, 2024 год.
Ответ:

К одной кофточке подбираем каждую из трёх юбок.
Это 3 костюма.

Ко второй кофточке также подбираем каждую из трёх юбок.
Это ещё 3 костюма.

3 + 3 = 6.
Всего 6 способов одеть куклу.

Подсказка:

Внимательно рассмотрим рисунок и установим соответствие.

Шаг 1.
Составим различные образы для куклы
Пояснение к заданию 31

К одной кофточке подбираем каждую из трёх юбок.
Это 3 костюма.

Ко второй кофточке также подбираем каждую из трёх юбок.
Это ещё 3 костюма.

3 + 3 = 6.
Всего 6 способов одеть куклу.

Шаг 2.
Оформим задание в тетрадь

К одной кофточке подбираем каждую из трёх юбок.
Это 3 костюма.

Ко второй кофточке также подбираем каждую из трёх юбок.
Это ещё 3 костюма.

3 + 3 = 6.
Всего 6 способов одеть куклу.

Конец страницы
Переход на другие страницы Содержание
Информация на этой странице была полезной?
0/5 (0 голосов)
Нашли ошибку на сайте? Помогите нам ее исправить!

С подпиской рекламы не будет

Подключите премиум подписку со скидкой в 40% за 149 ₽

Понравились решения?
Напишите свой комментарий.

Вам может быть интересно