Математика 2 класс учебник Моро, Волкова 2 часть ответы – страница 52

  • Тип: ГДЗ, Решебник.
  • Авторы: Моро М. И., Волкова С. И., Степанова С. В.
  • Часть: 2.
  • Год: 2020-2024.
  • Серия: Школа России (ФГОС).
  • Издательство: Просвещение.
Отличаются задания? Переключите год учебника.
Переключение года издания

Номер 1.

Измерь стороны прямоугольника и объясни, как по-разному можно вычисли его периметр.

Ответ:

1) Периметр – это сумма длин всех сторон.     2 + 5 + 2 + 5 = 14 (см)
2) Так как у прямоугольника противоположные стороны равны,     то можно ширину и длину повторить по два раза,     то есть умножить на два, а результаты сложить.     (2 ∙ 2) + (5 ∙ 2) = 14 (см)
3) Можно сложить длину и ширину и результат умножить на два.     (2 + 5) ∙ 2 = 14 (см)

Подсказка:

Повтори, как вычислить периметр прямоугольника.

Шаг 1.
Рассмотрим различные способы нахождения периметра прямоугольника

1 способ: Сложить длины всех сторон прямоугольника.
2 + 5 + 2 + 5 = 14 (см)
Ответ: 14 см.

2 способ: Умножить длину каждой из двух соседних сторон прямоугольника на 2 и найти сумму полученных произведений.
(2 * 2) + (5 * 2) = 14 (см)
Ответ: 14 см.

3 способ: Сумму длин двух соседних сторон прямоугольника умножить на 2.
(2 + 5) * 2 = 14 (см)
Ответ: 14 см.

Шаг 2.
Оформим задание в тетрадь

1) Периметр – это сумма длин всех сторон.
2 + 5 + 2 + 5 = 14 (см)

2) Так как у прямоугольника противоположные стороны равны,
то можно ширину и длину повторить по два раза,
то есть умножить на два, а результаты сложить.
(2 ∙ 2) + (5 ∙ 2) = 14 (см)

3) Можно сложить длину и ширину и результат умножить на два.
(2 + 5) ∙ 2 = 14 (см)

Номер 2.

Начерти прямоугольник со сторонами 3 см и 4 см и вычисли его периметр.

Ответ:

математика 2 класс Моро, Волкова, Бантова, Бельтюкова - 2 часть страница 52. Номер 2
а = 4 см в = 3 см Р пр. = ? см Р пр. = (а + в) ∙ 2 Р пр. = (4 + 3) ∙ 2 Р пр. = 14 см
Ответ: Р пр. = 14 см.

Подсказка:

Способы вычисления периметра прямоугольника:
1 способ: Сложить длины всех сторон прямоугольника
2 способ: Умножить длину каждой из двух соседних сторон прямоугольника на 2 и найти сумму полученных произведений
3 способ: Сумму длин двух соседних сторон прямоугольника умножить на 2.

Шаг 1.
Начертим прямоугольник с заданными сторонами
Пояснение к заданию 2
Шаг 2.
Вычислим периметр данного прямоугольника

а = 4 см
в = 3 см
Р пр. = ? см
Р пр. = (а + в) ∙ 2
Р пр. = (4 + 3) ∙ 2
Р пр. = 14 см
Ответ: Р пр. = 14 см.

Номер 3.

У хозяина было 12 кроликов: 8 черных, а остальные белые. Сколько было белых кроликов?
Составь и реши задачи, обратные данной.

Ответ:
математика 2 класс учебник 2 часть Моро страница 52. Номер 3-1
Задача 1:
12 - 8 = 4 (кр.) - у хозяина
Ответ: у хозяина всего 4 белых кролика.

Обратная задача 1:
У хозяина было 12 кроликов. Из них 4 кролика белых, остальные чёрные. Сколько чёрных кроликов у хозяина?
12 - 4 = 8 (кр.) - у хозяина
Ответ: 8 чёрных кроликов всего у хозяина

Обратная задача 2:
У хозяина было 8 чёрных и 4 белых кролика. Сколько всего кроликов было у хозяина?
8 + 4 = 12 (кр.) - у хозяина
Ответ: 12 кроликов всего было у хозяина
Подсказка:

Повтори, что такое обратная задача.

Шаг 1.
Оформляем условие в виде краткой записи
Пояснение к заданию 3
Шаг 2.
Рассуждаем

Вычислим, сколько белых кроликов было у хозяина, для этого из всего количества кроликов вычтем количество черных.
12 – 8 = 4 (к.)

Шаг 3.
Записываем ответ

Ответ: было 4 белых кролика.

Составим и решим первую задачу обратную данной.
Шаг 1.
Составляем первую задачу обратную данной

У хозяина было 12 кроликов: 4 белых, а остальные чёрные. Сколько было чёрных кроликов?

Шаг 2.
Оформляем условие в виде краткой записи
Пояснение к заданию 3-1
Шаг 3.
Рассуждаем

Вычислим, сколько черных кроликов было у хозяина, для этого из всего количества кроликов вычтем количество белых.
12 – 4 = 8 (к.)

Шаг 4.
Записываем ответ

Ответ: было 8 черных кроликов.

Составим и решим вторую задачу обратную данной.
Шаг 1.
Составляем первую задачу обратную данной

У хозяина было 4 белых и 8 чёрных кроликов. Сколько всего кроликов было у хозяина?

Шаг 2.
Оформляем условие в виде краткой записи
Пояснение к заданию 3-2
Шаг 3.
Рассуждаем

Вычислим, сколько белых и черных кроликов вместе.
8 + 4 = 12 (к.)

Шаг 4.
Записываем ответ

Ответ: было 12 кроликов.

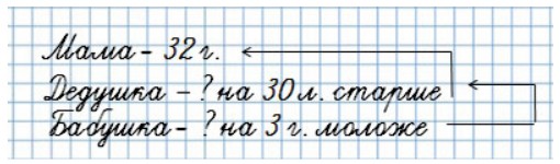
Номер 4.

Маме 32 года, дедушка старше мамы на 30 лет, а бабушка на 3 года моложе дедушки. Сколько лет бабушке?

Ответ:
математика 2 класс учебник 2 часть Моро страница 52. Номер 4
1) 32 + 30 = 62 (г) - дедушке
2) 62 - 3 = 59 (л) - бабушке
Ответ: бабушке всего 59 лет.
Подсказка:

Старше, значит, больше лет. Моложе, значит, меньше лет.
Чтобы узнать, на сколько одно число больше или меньше другого, нужно из большего числа вычесть меньшее - вычитание.

Шаг 1.
Оформляем условие в виде краткой записи
Пояснение к заданию 4
Шаг 2.
Рассуждаем

Вычислим, сколько лет дедушке.
1) 32 + 30 = 62 (г.) - дедушке.

Шаг 3.
Продолжаем рассуждение

Вычислим, сколько лет бабушке.
2) 62 - 3 = 59 (л.)

Шаг 4.
Записываем ответ

Ответ: бабушке 59 лет.

Номер 5.

Составь задачу по краткой записи и реши ее.

Ответ:

Задача 1: В столовую привезли несколько килограммов картофеля. Для обеда сначала использовали 5 кг, а позже еще 6 кг картофеля. После чего осталось 30 кг картофеля. Сколько килограммов картофеля привезли в столовую? 30 + (5 + 6) = 41 (кг) - картофеля привезли в столовую.
Ответ: 41 кг картофеля привезли в столовую всего.
Задача 2: У бабушки было 12 кг сахара. Для приготовления варенья она еще купила несколько килограммов сахара и у нее стало 50 кг сахара. Сколько килограммов сахара купила бабушка? 50 − 12 = 38 (кг) – сахара купила бабушка.
Ответ: 38 кг сахара всего купила бабушка.

Подсказка:

Повтори, из каких частей состоит задача.

Составим первую задачу по данной краткой записи.
Шаг 1.
Рассмотрим краткую запись
Пояснение к заданию 5
Шаг 2.
Составим условие задачи по данной краткой записи

У бабушки было несколько килограммов яблок. Из 5 кг она сварила варенье, а из 6 кг - компот и у нее осталось 30 кг яблок. Сколько килограммов яблок было у бабушки?

Шаг 3.
Рассуждаем

Узнаем, сколько кг яблок использовала бабушка.
1) 5 + 6 = 11 (кг) - использовала бабушка.

Шаг 4.
Продолжаем рассуждение

Узнаем, сколько всего кг яблок было у бабушки.
2) 30 + 11 = 41 (кг)

Шаг 5.
Записываем ответ

Ответ: 41 кг яблок был у бабушки.

Составим вторую задачу по данной краткой записи.
Шаг 1.
Рассмотрим краткую запись
Пояснение к заданию 5-1
Шаг 2.
Составим условие задачи по данной краткой записи

В школьной столовой было 12 кг капусты. Когда купили еще несколько килограммов, ее стало 50 кг. Сколько килограммов капусты купили?

Шаг 3.
Рассуждаем

Вычислим, сколько кг капусты купили.
50 - 12 = 38 (кг)

Шаг 4.
Записываем ответ

Ответ: купили 38 кг капусты.

Номер 6.

Найди значения выражений k − 8 и k + 8 при k = 14, k = 36, k = 58 и k = 90.

Ответ:

k − 8 14 − 8 = 6 36 − 8 = 28 58 − 8 = 50 90 − 8 = 82
k + 8 14 + 8 = 22 36 + 8 = 44 58 + 8 = 66 90 + 8 = 98

Подсказка:

Вспомни, как найти значение буквенного выражения.

Шаг 1.
Выполняем вычисления

k − 8
14 − 8 = 6
36 − 8 = 28
58 − 8 = 50
90 − 8 = 82

k + 8
14 + 8 = 22
36 + 8 = 44
58 + 8 = 66
90 + 8 = 98

Номер 7.

Вычисли с проверкой.

Ответ:
математика 2 класс учебник 2 часть Моро страница 52. Номер 7
Подсказка:

Повтори способы письменного вычитания в столбик и письменного сложения в столбик.

Шаг 1.
Выполняем вычисления
Пояснение к заданию 7
Шаг 2.
Оформляем задание в тетрадь
Пояснение к заданию 7-1

Номер 8.

Ответ:
математика 2 класс учебник 2 часть Моро страница 52. Номер 8
Подсказка:

Вспомни порядок выполнения действий при нахождении значения числовых выражений со скобками и без них.

Шаг 1.
Выполняем вычисления

70 - (12 - 6) = 70 - 6 = 64
13 - 9 + 7 = 4 + 7 = 11
56 - (40 - 34) = 56 - 6 = 50

Шаг 1.
Оформляем задание в тетрадь

70 - (12 - 6) = 64
13 - 9 + 7 = 11
56 - (40 - 34) = 50

Номер 9.

Начерти такие фигуры и проведи в каждой 2 отрезка так, чтобы, разрезав по ним фигуры, можно было получить в каждом случае 1 прямоугольник и 2 треугольника.

Ответ:

Если разрезать фигуры по пунктирным линиям, получится один прямоугольник и два треугольника.

математика 2 класс учебник 2 часть Моро страница 52. Номер 9
Подсказка:

Повтори материал о многоугольниках.

Шаг 1.
Начертим данные фигуры в тетрадь
Пояснение к заданию 9
Шаг 2.
Проведем в каждой фигуре 2 отрезка по данным задания
Пояснение к заданию 9-1

Задание внизу страницы

Ответ:
математика 2 класс учебник 2 часть Моро страница 52. Задание внизу страницы
Подсказка:

Вспомни порядок выполнения действий при нахождении значения числовых выражений со скобками и без них.

Шаг 1.
Выполняем вычисления

80 - (14 - 8) = 80 - 6 = 74
12 - 7 + 9 = 5 + 9 = 14
93 - (50 - 47) = 93 - 3 = 90

Шаг 2.
Оформляем задание в тетрадь

80 - (14 - 8) = 74
12 - 7 + 9 = 14
93 - (50 - 47) = 90

Проверим себя и оценим свои достижения

Тексты для контрольных работ

Вариант 1.

Номер 1.

Используя заданные равенства
            4 · 8 = 32 и 5 · 7 = 35,
заполни окошки нужными числами.
35 : 7 = ☐      32 : 4 = ☐      32 : 8 = ☐       35 : 5 = ☐

Ответ:

35 : 7 = 5;
32 : 4 = 8;
32 : 8 = 4;
35 : 5 = 7.

Подсказка:

Если произведение двух множителей, разделить на один из них, то получится другой множитель.

Шаг 1.
Выполняем вычисления

35 : 7 = 5
32 : 4 = 8
32 : 8 = 4
35 : 5 = 7

Шаг 2.
Оформляем задание в тетрадь

35 : 7 = 5
32 : 4 = 8
32 : 8 = 4
35 : 5 = 7

Номер 2.

Вычисли.
28 + 16 + 12 + 4;
36 – (15 – 9).

Ответ:

28 + 16 + 12 + 4 = (28 + 12) + (16 + 4) = 40 + 20 = 60;
36 − (15 − 9) = 36 − 6 = 30.

Подсказка:

От перестановки мест слагаемых сумма не меняется.
Два соседних слагаемых можно заменить их суммой.

Шаг 1.
Выполняем вычисления

28 + 16 + 12 + 4 = (28 + 12) + (16 + 4) = 40 + 20 = 60
36 - (15 - 9) = 36 - 6 = 30

Шаг 2.
Оформляем задание в тетрадь

28 + 16 + 12 + 4 = (28 + 12) + (16 + 4) = 40 + 20 = 60
36 − (15 − 9) = 36 − 6 = 30

Номер 3.

Найди значение выражения а – 30 при а = 100.

Ответ:

a − 30;
а = 100; 100 − 30 = 70.

Подсказка:

Повторим, как найти значение буквенного выражения.

Шаг 1.
Выполняем вычисления

Если а = 100, то
а - 30 = 100 - 30 = 70

Шаг 2.
Оформляем задание в тетрадь

a − 30
а = 100; 100 − 30 = 70

Номер 4.

Толя разложил 12 мелков в 2 коробки поровну. Сколько мелков в каждой коробке?

Ответ:

Количество мелков – 12 шт.
Количество коробок – 2 шт.
Мелков в 1 коробке – ? шт.

12 : 2 = 6 (шт.) - мелков в каждой коробке.

Ответ: 6 мелков в каждой коробке всего.

Подсказка:

Поделить «поровну» - это разделить на равные части и не важно на сколько частей.

Шаг 1.
Оформляем условие в виде схематического чертежа

Количество мелков – 12 шт.
Количество коробок – 2 шт.
Мелков в 1 коробке – ? шт.

Шаг 2.
Рассуждаем

Чтобы узнать, сколько мелков в каждой коробке, нужно все количество мелков разделить на количество коробок.
12 : 2 = 6 (м.)

Шаг 3.
Записываем ответ

Ответ: по 6 мелков в каждой коробке.

Номер 5.

Девочка вырезала 12 квадратов и разложила их в ряды, по 4 квадрата в каждом. Сколько рядов у неё получилось?

Ответ:

Количество квадратов – 12 шт.
Количество рядов – ? шт.
Квадратов в 1 коробке – 4 шт.

12 : 4 = 3 (шт.) - рядов получилось у девочки.

Ответ: 3 ряда всего получилось у девочки.

Подсказка:

Вспомним из каких частей состоит задача.

Шаг 1.
Оформляем условие в виде схематического чертежа

Количество квадратов – 12 шт.
Количество рядов – ? шт.
Квадратов в 1 коробке – 4 шт.

Шаг 2.
Рассуждаем

Чтобы узнать, сколько рядов получилось у девочки, нужно все количество квадратов разделить на количество квадратов в одном ряду.
12 : 4 = 3 (р.)

Шаг 3.
Записываем ответ

Ответ: получилось 3 ряда.

Номер 6.

Периметр треугольника 20 см. Длины двух его сторон 7 см и 8 см. Найди длину третьей стороны.

Ответ:
Математика 2 класс Моро, Волкова, Бантова, Бельтюкова - 2 часть страница 52, номер 6, 2024 год.

20 − (7 + 8) = 5 (см) – длина третьей стороны.

Ответ: длина третьей стороны составляет 5 см.

Подсказка:

Периметр треугольника - это сумма длин всех его сторон.

Шаг 1.
Оформляем условие в виде краткой записи
Пояснение к заданию 6
Шаг 2.
Рассуждаем

Чтобы узнать, чему равна длина третей стороны, нужно из периметра треугольника вычесть сумму первой и второй сторон.
20 − (7 + 8) = 5 (см)

Шаг 3.
Записываем ответ

Ответ: 5 см длина третьей стороны.

Номер 7.

Запиши номера всех прямоугольников.

Математика 2 класс Моро, Волкова, Бантова, Бельтюкова - 2 часть страница 52, номер 7, 2024 год.
Ответ:

№1, №3.

Подсказка:

Повторим материал о видах углов и о многоугольниках.

Шаг 1.
Рассмотрим данные фигуры
Пояснение к заданию 7
Шаг 2.
Выпишем номера всех прямоугольников

Прямоугольники 1, 3.

Конец страницы
Переход на другие страницы Содержание
Информация на этой странице была полезной?
0/5 (0 голосов)
Нашли ошибку на сайте? Помогите нам ее исправить!

С подпиской рекламы не будет

Подключите премиум подписку со скидкой в 40% за 149 ₽

Понравились решения?
Напишите свой комментарий.

Вам может быть интересно