Математика 2 класс учебник Моро, Волкова 2 часть ответы – страница 49

  • Тип: ГДЗ, Решебник.
  • Авторы: Моро М. И., Волкова С. И., Степанова С. В.
  • Часть: 2.
  • Год: 2020-2024.
  • Серия: Школа России (ФГОС).
  • Издательство: Просвещение.
Отличаются задания? Переключите год учебника.
Переключение года издания

Номер 1.

Рассмотри рисунки и закончи записи.

Ответ:

6 + 6 + 6 = 18 6 ∙ 3 = 18
4 + 4 = 8 4 ∙ 2 = 8
10 + 10 + 10 + 10 + 10 = 50 10 ∙ 5 = 50
5 + 5 + 5 + 5 = 20 5 ∙ 4 = 20

Подсказка:

Умножить, значит, взять число несколько раз.

Шаг 1.
Рассмотрим рисунки и закончим записи

Задание 1:
6 + 6 + 6 = 18
6 * 3 = 18

Задание 2:
4 + 4 = 8
4 * 2 = 8

Задание 3:
10 + 10 + 10 + 10 + 10 = 50
10 * 5 = 50

Задание 4:
5 + 5 + 5 + 5 = 20
5 * 4 = 20

Шаг 2.
Оформим задание в тетрадь

6 + 6 + 6 = 18
6 ∙ 3 = 18

4 + 4 = 8
4 ∙ 2 = 8

10 + 10 + 10 + 10 + 10 = 50
10 ∙ 5 = 50

5 + 5 + 5 + 5 = 20
5 ∙ 4 = 20

Номер 2.

Сделай к задаче рисунок и реши ее.
На каждом конверте по 2 марки. Сколько марок на 5 таких конвертах?

Ответ:
математика 2 класс Моро, Волкова, Бантова, Бельтюкова - 2 часть страница 49. Номер 2

2 + 2 + 2 + 2 + 2 = 10 (м.) – всего. 2 ∙ 5 = 10 (м.)
Ответ: 10 марок на 5 таких конвертах.

Подсказка:

Сумму одинаковых слагаемых можно заменить умножением.

Шаг 1.
Оформляем условие в виде рисунка
Пояснение к заданию 2
Шаг 2.
Рассуждаем

Данную задачу можно решить двумя способами, сложить пять раз по 2 или умножить 2 на 5.
1 способ:
2 + 2 + 2 + 2 + 2 = 10 (м.) – всего.
2 способ:
2 ∙ 5 = 10 (м.)

Шаг 3.
Записываем ответ

Ответ: 10 марок на пяти конвертах.

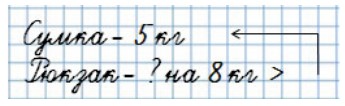
Номер 3.

В сумке 5 кг овощей, а в рюкзаке на 8 кг больше. Поставь разные вопросы и реши задачи.

Ответ:
математика 2 класс учебник 2 часть Моро страница 49. Номер 3
Задача 1:
Сколько килограммов овощей в рюкзаке?
5 + 8 = 13 (кг) - в рюкзаке всего
Ответ: в рюкзаке всего 13 кг овощей.

Задача 2:
Сколько килограммов овощей в сумке и в рюкзаке вместе?
5 + (5 + 8) = 18 (кг) - всего
Ответ: в рюкзаке и сумке всего 18 кг овощей.
Подсказка:

Если в задаче есть слова «на... больше», то задача решается сложением.
Повтори, как записать краткую запись задачи.

Задача 1.
Шаг 1.
Поставим вопрос к задаче

Сколько килограммов овощей в рюкзаке?

Шаг 2.
Оформляем условие в виде краткой записи
Пояснение к заданию 3
Шаг 3.
Рассуждаем

Вычислим, сколько кг овощей в рюкзаке, для этого к количеству кг в сумке прибавим 8 кг.
5 + 8 = 13 (кг)

Шаг 4.
Записываем ответ

Ответ: в рюкзаке 13 кг овощей.

Задача 2.
Шаг 1.
Поставим вопрос к задаче

Сколько килограммов овощей в рюкзаке и в сумке?

Шаг 2.
Оформляем условие в виде краткой записи
Пояснение к заданию 3-1
Шаг 3.
Рассуждаем

Вычислим, сколько кг овощей в рюкзаке, для этого к количеству кг в сумке прибавим 8 кг.
1) 5 + 8 = 13 (кг)- в рюкзаке.

Шаг 4.
Продолжаем рассуждение

Вычислим, сколько кг овощей в рюкзаке и сумке вместе.
2) 13 + 5 = 18 (кг)

Шаг 5.
Записываем ответ

Ответ: в рюкзаке и в сумке 18 кг овощей.

Номер 4.

Составь задачу, которая решается так: 18 + (18 − 2).

Ответ:
В одной коробке 18 карандашей, а в другой на 2 карандаша меньше. Сколько всего карандашей в двух коробках?
математика 2 класс учебник 2 часть Моро страница 49. Номер 4
18 + (18 - 2) = 34 (к.) - всего
Ответ: 34 карандаша всего в двух коробках.
Подсказка:

Повтори, из каких частей состоит задача и как составить её краткую запись.

Шаг 1.
Составим задачу по выражению

Бабушка испекла 18 пирожков с капустой, а пирожков с картошкой на 2 меньше. Сколько всего пирожков испекла бабушка?

Шаг 2.
Оформляем условие в виде краткой записи
Пояснение к заданию 4
Шаг 3.
Рассуждаем

Узнаем, сколько всего пирожков испекла бабушка.
18 + (18 - 2) = 18 + 16 = 34 (п.)

Шаг 4.
Записываем ответ

Ответ: 18 пирожков испекла бабушка.

Номер 5.

Реши уравнения: х − 8 = 20, 14 − х = 6.

Ответ:

математика 2 класс учебник 2 часть Моро страница 49. Номер 4

Подсказка:

Решить уравнение – это значит найти такое значение неизвестного числа, при котором это равенство станет верным.

Шаг 1.
Выполняем вычисления

х - 8 = 20
х = 20 + 8
х = 28
Проверка
28 - 8 = 20
20 = 20

14 - х = 6
х = 14 - 6
х = 8
Проверка
14 - 8 = 6
6 = 6

Номер 6.

Ответ:

59 − 26 = 33    39 + 15 = 54 70 − 8 = 62    25 + 37 = 62

Подсказка:

Повтори действия с двузначными числами.

Шаг 1.
Выполняем вычисления
Пояснение к заданию 6
Шаг 2.
Оформляем задание в тетрадь

59 − 26 = 33
39 + 15 = 54
70 − 8 = 62
25 + 37 = 62

Номер 7.

Ответ:
математика 2 класс учебник 2 часть Моро страница 49. Номер 7
Подсказка:

Вспомни порядок выполнения действий при нахождении значения числовых выражений со скобками и без них.

Шаг 1.
Выполняем вычисления

23 + (40 - 3) = 23 + 37 = 60
(50 + 9) - 30 = 59 - 30 = 29

69 + 7 + 1 = (69 + 1) + 7 = 70 + 7 = 77
42 + 8 + 9 = 50 + 9 = 59

20 + 14 = 34
78 - 58 = 20

Шаг 2.
Оформляем задание в тетрадь
Пояснение к заданию 7

Задание на полях страницы

Начерти и раскрась узор

Ответ:
математика 2 класс учебник 2 часть Моро страница 49. Задание на полях страницы
Подсказка:

Посмотрите на варианты, которые мы предлагаем, и раскрась по-своему.

Шаг 1.
Рассмотрим первый вариант
Пояснение к заданию 8
Шаг 2.
Рассмотрим первый вариант
Пояснение к заданию 8-1

Задание внизу страницы

Проверочные работы с.52 Проверочные работы с.53

Номер 1.

Составь по рисунку задачу на умножение и задачу на деление и реши их.

Математика 2 класс Моро, Волкова, Бантова, Бельтюкова - 2 часть страница 49, номер 1, 2024 год.
Ответ:

Задача 1:
Дети пошли на экскурсию. Они построились парами и всего получилось 6 пар. Сколько детей пошли на экскурсию?

2 ∙ 6 = 12 (д.) – пошли на экскурсию.

Ответ: 12 детей пошли на экскурсию всего.

Задача 2:
На экскурсию пошло 12 детей, они построились парами. Сколько пар получилось?

12 : 2 = 6 (п.) – из детей получилось.

Ответ: 6 пар получилось всего из 12 детей.

Подсказка:

Если произведение двух множителей, разделить на один из них, то получится другой множитель.

Составляем задачу на умножение
Шаг 1.
Составляем условие задачи

Школьники пошли на экскурсию. Они построились парами и всего получилось 6 пар. Сколько учеников пошли на экскурсию?

Шаг 2.
Оформляем условие в виде схематического чертежа
Пояснение к заданию 1
Шаг 3.
Рассуждаем

Чтобы узнать, сколько учеников ходили на экскурсию, нужно количество учеников в паре умножить на количество пар.
2 * 6 = 12 (уч.)

Шаг 4.
Записываем ответ

Ответ: 12 учеников ходили на экскурсию.

Составляем задачу на деление
Шаг 1.
Составляем условие задачи

На экскурсию пошло 12 школьников, они построились парами. Сколько пар получилось?

Шаг 2.
Оформляем условие в виде схематического чертежа
Пояснение к заданию 1
Шаг 3.
Рассуждаем

Чтобы узнать, сколько пар получилось, нужно все количество учеников разделить на количество учеников в одной паре.
12 : 2 = 6 (п.)

Шаг 4.
Записываем ответ

Ответ: получилось 6 пар.

Номер 2.

1) Толя купил 3 тетради, по 10 р. каждая.
Сколько стоили все тетради?
Рассмотри схематическую запись и реши задачу.
Сколько таких тетрадей можно купить на 50 р.?
2) Составь похожие задачи и реши их.

Математика 2 класс Моро, Волкова, Бантова, Бельтюкова - 2 часть страница 49, номер 2, 2024 год.
Ответ:

1) Задача 1:
1) 10 ∙ 3 = 30 (р.) – стоили все тетради.
2) 50 : 10 = 5 (т.) – можно купить на 50 рублей.

Ответ: 30 рублей стоили все тетради; 5 тетрадей можно купить на 50 рублей.

2) Задача 2:
Маша купила 2 ручки по 7 рублей. Сколько всего денег Маша заплатила за ручки?

7 ∙ 2 = 14 (р.) – стоили все ручки.

Ответ: 14 рублей стоили все ручки вместе.

Сколько таких ручек можно купить на 35 рублей?

35 : 7 = 5 (руч.) – можно купить на 35 рублей.

Ответ: 5 ручек всего можно купить на 35 рублей.

Подсказка:

Сумму одинаковых слагаемых можно заменить умножением.

Шаг 1.
Рассмотрим схематическую запись к задаче
Пояснение к заданию 2
Шаг 2.
Рассуждаем

Чтобы узнать, сколько стоят 3 тетради, нужно стоимость одной тетради умножить на 3.
1) 10 * 3 = 30 (р.) - стоимость 3 тетрадей.

Шаг 3.
Продолжаем рассуждение

Чтобы узнать, сколько тетрадей можно купить на 50 рублей, нужно 50 разделить на стоимость одной тетради.
2) 50 : 10 = 5 (т.) - можно купить на 50 р.

Шаг 4.
Записываем ответ

Ответ: 30 рублей; 5 тетрадей.

Составим похожую задачу и решим ее
Шаг 1.
Составляем условие задачи

Маша купила 2 ручки по 7 рублей. Сколько всего денег Маша заплатила за ручки? Сколько таких ручек можно купить на 35 рублей?

Шаг 2.
Рассуждаем

Чтобы узнать, сколько стоили все ручки, нужно стоимость одной ручки умножить на их количество.
1) 7 ∙ 2 = 14 (р.) – стоили все ручки.

Шаг 3.
Продолжаем рассуждение

Чтобы узнать, сколько таких ручек можно купить на 35 рублей, нужно 35 разделить на стоимость одной ручки.
35 : 7 = 5 (руч.) – можно купить на 35 рублей.

Шаг 4.
Записываем ответ

Ответ: 14 рублей стоили ручки; 5 ручек можно купить.

Составим и решим еще несколько похожих задач.

Номер 3.

Мама поджарила 11 котлет. За обедом съели 6 котлет. Задай вопрос, чтобы в задаче был ответ: на 1 котлету.

Ответ:

На сколько меньше котлет осталось, чем съели?

Математика 2 класс Моро, Волкова, Бантова, Бельтюкова - 2 часть страница 49, номер 3, 2024 год.

1) 11 − 6 = 5 (к.) – осталось.
2) 6 − 5 = 1 (к.)

Ответ: 5 котлет осталось после обеда, на 1 котлету меньше осталось, чем съели.

Подсказка:

Если в задаче есть слова « на... меньше», то задача решается вычитанием.
Чтобы узнать, на сколько одно число больше или меньше другого, нужно из большего числа вычесть меньшее.

Шаг 1.
Задаем вопрос

На сколько меньше котлет осталось, чем съели?

Шаг 2.
Оформляем условие в виде краткой записи
Пояснение к заданию 3
Шаг 3.
Рассуждаем

Узнаем, сколько котлет осталось после обеда.
1) 11 - 6 = 5 (к.) - осталось после обеда.

Шаг 4.
Продолжаем рассуждение

Узнаем, на сколько меньше котлет осталось, чем съели.
2) 6 - 5 = 1 (к.)

Шаг 5.
Записываем ответ

Ответ: осталось на 1 котлету меньше, чем съели.

Номер 4.

Найди значения выражений 70 – b и b + 8 при b = 32, b = 34, b = 46, b = 68.

Ответ:

70 − b.
70 − 32 = 38;
70 − 34 = 36;
70 − 46 = 24;
70 − 68 = 2.

b + 8.
32 + 8 = 40;
34 + 8 = 42;
46 + 8 = 54;
68 + 8 = 76.

Подсказка:

Повторим, как найти значение буквенного выражения.

Шаг 1.
Выполняем вычисления
Пояснение к заданию 4
Шаг 2.
Оформляем задание в тетрадь

70 − b
70 − 32 = 38
70 − 34 = 36
70 − 46 = 24
70 − 68 = 2

b + 8
32 + 8 = 40
34 + 8 = 42
46 + 8 = 54
68 + 8 = 76

Номер 5.

Вычисли и выполни проверку.
75 + 18;
96 – 47;
38 + 26;
82 – 55.

Ответ:
Математика 2 класс Моро, Волкова, Бантова, Бельтюкова - 2 часть страница 49, номер 5, 2024 год.
Подсказка:

Вспомним, как проверить результат сложения и результат вычитания.

Шаг 1.
Выполняем вычисления
Пояснение к заданию 5
Шаг 2.
Оформляем задание в тетрадь
Пояснение к заданию 5-1

Номер 6.

Сумма каких двух чисел равна их произведению?
Сумма каких двух чисел равна их разности?

Ответ:

2 и 2, 2 + 2 = 2 ∙ 2

Сумма любого числа и нуля:
5 и 0, 5 + 0 = 5 − 0

Подсказка:

Вспомним, как называются числа при умножении, сложении и вычитании.

Шаг 1.
Выполняем вычисления

1) 2 + 2 = 2 * 2
4 = 4

2) Сумма любого числа и 0 равна их разности, например,
8 + 0 = 8 - 0
0 + 12 = 12 - 0

Шаг 2.
Оформляем задание в тетрадь

2 и 2, 2 + 2 = 2 ∙ 2

Сумма любого числа и нуля:
5 и 0, 5 + 0 = 5 − 0

Задание внизу страницы.

Булочка стоит 8 р. Сколько стоят 2 такие булочки?

Ответ:

8 ∙ 2 = 16 (р.) – всего.

Ответ: 16 рублей всего стоят 2 такие булочки.

Подсказка:

Сумму одинаковых слагаемых можно заменить умножением.

Шаг 1.
Оформляем условие в виде схематического чертежа
Пояснение к заданию 7
Шаг 2.
Рассуждаем

Чтобы узнать, сколько стоят две булочки, нужно стоимость одной булочки умножить на 2.
8 * 2 = 16 (р.)

Шаг 3.
Записываем ответ

Ответ: 16 рублей стоят 2 булочки.

Задание на полях страницы.

Сколько всего четырёхугольников?

Математика 2 класс Моро, Волкова, Бантова, Бельтюкова - 2 часть страница 49, номер на полях страницы, 2024 год.
Ответ:

На каждом рисунке по 5 четырёхугольников. Всего 15.

Подсказка:

Повтори материал о многоугольниках.

Шаг 1.
Сосчитаем количество четырехугольников
Пояснение к заданию 8

На каждом рисунке по 5 четырёхугольников. Всего 15.

Шаг 2.
Оформим задание в тетрадь

На чертеже 15 четырёхугольников.

Конец страницы
Переход на другие страницы Содержание
Информация на этой странице была полезной?
0/5 (0 голосов)
Нашли ошибку на сайте? Помогите нам ее исправить!

С подпиской рекламы не будет

Подключите премиум подписку со скидкой в 40% за 149 ₽

Понравились решения?
Напишите свой комментарий.

Вам может быть интересно