Математика 2 класс учебник Моро, Волкова 2 часть ответы – страница 48

- Тип: ГДЗ, Решебник.
- Авторы: Моро М. И., Волкова С. И., Степанова С. В.
- Часть: 2.
- Год: 2020-2024.
- Серия: Школа России (ФГОС).
- Издательство: Просвещение.


Умножение
Номер 1.
Рассмотри рисунок и объясни записи.
Ответ:По 5 треугольников взяли 3 раза. 5 ∙ 3 = 15 треугольников
Номер 2.
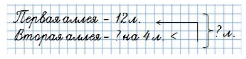
На одной аллее 12 лип, а на другой на 4 липы меньше. Поставь разные вопросы и реши задачи.
Ответ:
Сколько лип на другой аллее?
12 - 4 = 8 (л.) - на другой аллее всего.
Ответ: 8 лип на другой аллее всего.
Задача 2:
Сколько лип всего на двух аллеях?
12 + (12 - 4) = 20 (л.) - всего
Ответ: 20 лип на двух аллеях всего.
Номер 3.
Составь задачу, которая решается так: 20 + (20 + 3).
Ответ:
Ответ: 43 ребёнка всего занимается в кружках по рисованию
Номер 4.
Ответ:
Номер 5.
Ответ:
100 − (3 + 67) = 100 − 70 = 30
(62 + 18) − 45 = 80 − 45 = 35
59 + 16 + 4 = 59 + 20 = 79
35 + 5 + 28 = 40 + 28 = 68
21 − 9 = 12
43 + 9 = 52
Номер 6.
Ответ:10 + 9 > 1 28 − 12 < 30 10 − 9 = 1 28 + 12 > 30
Задание внизу страницы
Сколько всего кружков на рисунке?
Ответ:Всего 12 кружков: 4 + 4 + 4 = 12 4 ∙ 3 = 12
Задание на полях страницы
Продолжи ряд чисел:
Ответ:
Закономерность: + 4, + 3
7 + 4 = 11
11 + 3 = 14
14 + 4 = 18
18 + 3 = 21
21 + 4 = 25
25 + 3 = 28

Умножение и деление с числом 10
Номер 1.
Рассуждая так же, составь равенства по образцу: в первом столбике последним должно быть равенство 10 · 10 = 100.
10 · 2 = 20 2 · 10 20 : 2 = 10 20 : 10
10 · 3 = ... ... ...
10 · 4 = ... ... ...
... ... ... ...
10 ∙ 2 = 20 2 ∙ 10 = 20
10 ∙ 3 = 30 3 ∙ 10 = 30
10 ∙ 4 = 40 4 ∙ 10 = 40
10 ∙ 5 = 50 5 ∙ 10 = 50
10 ∙ 6 = 60 6 ∙ 10 = 60
10 ∙ 7 = 70 7 ∙ 10 = 70
10 ∙ 8 = 80 8 ∙ 10 = 80
10 ∙ 9 = 90 9 ∙ 10 = 90
10 ∙ 10 = 100 10 ∙ 10 = 100
20 : 2 = 10 20 : 10 = 2
30 : 3 = 10 30 : 10 = 3
40 : 4 = 10 40 : 10 = 4
50 : 5 = 10 50 : 10 = 5
60 : 6 = 10 60 : 10 = 6
70 : 7 = 10 70 : 10 = 7
80 : 8 = 10 80 : 10 = 8
90 : 9 = 10 90 : 10 = 9
100 : 10 = 10 100 : 10 = 10
Номер 2.
Цена ручки 6 р. Сколько стоят 2 такие руч-ки? 3 ручки? 4 ручки? 10 ручек?
Ответ:
1) 6 ∙ 2 = 12 (р.) – стоят 2 ручки.
2) 6 ∙ 3 = 18 (р.) – стоят 3 ручки.
3) 6 ∙ 4 = 24 (р.) – стоят 4 ручки.
4) 6 ∙ 10 = 60 (р.) – стоят 10 ручек.
Ответ: 12р. стоят 2 ручки, 18р. стоят 3 ручки, 24р. стоят 4 ручки, 60 р. стоят 10 ручек.
Номер 3.
Повар разложил 40 пирожков на 10 тарелок поровну. Сколько пирожков он положил на каждую тарелку?
Составь и реши две задачи, обратные данной.
Количество пирожков – 40 шт.
Количество пирожков на 1 тарелке – ? шт.
Количество тарелок – 10 шт.
40 : 10 = 4 (шт.) – пирожков на одной тарелке.
Ответ: 4 пирожка лежит на одной тарелке..
Обратная задача 1:
Повар разложил на 10 тарелок по 4 пирожка. Сколько всего пирожков разложил повар?
Количество пирожков – ? шт.
Количество пирожков на 1 тарелке – 4 шт.
Количество тарелок – 10 шт.
4 ∙ 10 = 40 (шт.) – всего пирожков разложил повар.
Ответ: 40 пирожков всего разложил повар по тарелкам.
Обратная задача 2:
Повар разложил 40 пирожков на тарелки по 4 пирожка на каждую. Сколько потребовалось тарелок?
Количество пирожков – 40 шт.
Количество пирожков на 1 тарелке – 4 шт.
Количество тарелок – ? шт.
40 : 4 = 10 (шт.) – тарелок потребовалось повару.
Ответ: 10 тарелок всего потребовалось повару.
Номер 4.
Периметр квадрата 20 см. Узнай длину стороны этого квадрата.
Ответ:
20 : 4 = 5 (см) – длина одной стороны квадрата.
Ответ: длина одной стороны квадрата составляет 5 см.
Номер 5.
74 – 58;
46 + 37;
83 – 29;
64 + 36.

Номер 6.
9 + 6 – 8 32 – (24 + 6) 28 + 37 + 2 + 3
7 + 5 – 6 49 – (33 + 6) 64 + 18 + 2 + 6
9 + 6 − 8 = 15 − 8 = 7;
7 + 5 − 6 = 12 − 6 = 6;
32 − (24 + 6) = 32 − 30 = 2;
49 − (33 + 6) = 49 − 39 = 10;
(28 + 2) + (37 + 3) = 30 + 40 = 70;
(64 + 6) + (18 + 2) = 70 + 20 = 90.
Задание внизу страницы.
10 ∙ 6 = ☐;
60 : 6 = ☐;
6 ∙ 10 = ☐;
☐ : 10 = 6.
10 ∙ 6 = 60;
60 : 6 = 10;
6 ∙ 10 = 60;
60 : 10 = 6.
Задание на полях страницы.
Сколько всего треугольников?

Всего 9 треугольников. Каждый состоит из трех треугольников.
3 + 3 + 3 = 9
С подпиской рекламы не будет
Подключите премиум подписку со скидкой в 40% за 149 ₽
Напишите свой комментарий.