Математика 2 класс учебник Моро, Волкова 2 часть ответы – страница 29
 
        - Тип: ГДЗ, Решебник.
- Авторы: Моро М. И., Волкова С. И., Степанова С. В.
- Часть: 2.
- Год: 2020-2024.
- Серия: Школа России (ФГОС).
- Издательство: Просвещение.
 
                     
Номер 1.
1) Вычисли с устным объяснением.
2) Проверь вычитанием сложением.
 
Пишу десятки под десятками, а единицы под единицами.
Вычитаю единицы: из 3 нельзя вычесть 8. Беру 1 дес. из 7 дес. (чтобы не забыть, ставлю точку над цифрой 7)
1 дес. = 10 ед. 13 − 8 = 5
Пишу под единицами 5.
Вычитаю десятки:
Было 7 дес., но 1 дес. взяли при вычитании единиц. Осталось 6 дес.
6 − 4 = 2
Пишу 2 под десятками.
Читаю ответ: разность чисел 73 и 48 равна 25.
Пишу десятки под десятками, а единицы под единицами.
Вычитаю единицы: из 3 нельзя вычесть 5. Беру 1 дес. из 2 дес. (чтобы не забыть, ставлю точку над цифрой 2)
1 дес. = 10 ед. 13 − 5 = 8
Пишу под единицами 8.
Вычитаю десятки:
Было 2 дес., но 1 дес. взяли при вычитании единиц. Остался 1 дес.
1 − 1 = 0
Читаю ответ: разность чисел 23 и 15 равна 8.
Пишу десятки под десятками, а единицы под единицами.
Вычитаю единицы: из 6 нельзя вычесть 7. Беру 1 дес. из 4 дес. (чтобы не забыть, ставлю точку над цифрой 4)
1 дес. = 10 ед. 16 − 7 = 9
Пишу под единицами 9.
Вычитаю десятки:
Было 4 дес., но 1 дес. взяли при вычитании единиц. Осталось 3 дес.
3 − 2 = 1
Пишу 1 под десятками.
Читаю ответ: разность чисел 46 и 27 равна 19.
Пишу десятки под десятками, а единицы под единицами.
Вычитаю единицы: из 1 нельзя вычесть 4. Беру 1 дес. из 3дес. (чтобы не забыть, ставлю точку над цифрой 3)
1 дес. = 10 ед. 11 − 4 = 7
Пишу под единицами 7.
Вычитаю десятки:
Было 3 дес., но 1 дес. взяли при вычитании единиц. Осталось 2 дес.
2 − 2 = 0
Читаю ответ: разность чисел 31 и 24 равна 7.
Пишу десятки под десятками, а единицы под единицами.
Складываю единицы:
4 + 8 = 12
12 ед. − это 1 дес. и 2 ед.
Пишу под единицами 2, а 1 дес. запомню  и прибавлю к десяткам.
Складываю десятки:
7 + 1 = 8, да еще 1:
8 + 1 = 9
Пишу под десятками 9
Читаю ответ: сумма чисел 74 и 18 равна 92.
Повтори письменные приёмы сложения в столбик и вычитания в столбик.
Выполняем вычисления с объяснением
73 – 48
Пишу десятки под десятками, а единицы под единицами.
Вычитаю единицы: из 3 нельзя вычесть 8. Беру 1 дес. из 7 дес. (чтобы не забыть, ставлю точку над цифрой 7)
1 дес. = 10 ед. 13 − 8 = 5
Пишу под единицами 5.
Вычитаю десятки:
Было 7 дес., но 1 дес. взяли при вычитании единиц. Осталось 6 дес.
6 − 4 = 2
Пишу 2 под десятками.
Читаю ответ: разность чисел 73 и 48 равна 25.
23 – 15
Пишу десятки под десятками, а единицы под единицами.
Вычитаю единицы: из 3 нельзя вычесть 5. Беру 1 дес. из 2 дес. (чтобы не забыть, ставлю точку над цифрой 2)
1 дес. = 10 ед. 13 − 5 = 8
Пишу под единицами 8.
Вычитаю десятки:
Было 2 дес., но 1 дес. взяли при вычитании единиц. Остался 1 дес.
1 − 1 = 0
Читаю ответ: разность чисел 23 и 15 равна 8.
46 – 27
Пишу десятки под десятками, а единицы под единицами.
Вычитаю единицы: из 6 нельзя вычесть 7. Беру 1 дес. из 4 дес. (чтобы не забыть, ставлю точку над цифрой 4)
1 дес. = 10 ед. 16 − 7 = 9
Пишу под единицами 9.
Вычитаю десятки:
Было 4 дес., но 1 дес. взяли при вычитании единиц. Осталось 3 дес.
3 − 2 = 1
Пишу 1 под десятками.
Читаю ответ: разность чисел 46 и 27 равна 19.
31 – 24
Пишу десятки под десятками, а единицы под единицами.
Вычитаю единицы: из 1 нельзя вычесть 4. Беру 1 дес. из 3дес. (чтобы не забыть, ставлю точку над цифрой 3)
1 дес. = 10 ед. 11 − 4 = 7
Пишу под единицами 7.
Вычитаю десятки:
Было 3 дес., но 1 дес. взяли при вычитании единиц. Осталось 2 дес.
2 − 2 = 0
Читаю ответ: разность чисел 31 и 24 равна 7.
74 + 18
Пишу десятки под десятками, а единицы под единицами.
Складываю единицы:
4 + 8 = 12
12 ед. − это 1 дес. и 2 ед.
Пишу под единицами 2, а 1 дес. запомню и прибавлю к десяткам.
Складываю десятки:
7 + 1 = 8, да еще 1:
8 + 1 = 9
Пишу под десятками 9
Читаю ответ: сумма чисел 74 и 18 равна 92.
            
Проверяем вычитание сложением
 
                Оформляем задание в тетрадь
 
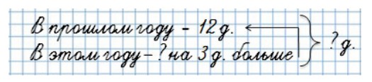
                Номер 2.
В прошлом году в нашем районе построили 12 новых домов, а в этом году – на 3 дома больше. Сколько всего ... ?
Ответ: 
2) 12 + 15 = 27 (д.) - построили всего
Ответ: 27 домов построили в нашем районе всего.
Если в задаче есть слова «на... больше», то задача решается сложением.
Повтори, как оформить краткую запись задачи.
Поставим вопрос к задаче
Сколько всего домов построили за 2 года?
Оформляем условие в виде краткой записи
 
                Рассуждаем
Вычислим, сколько домов построили в этом году.
1) 12 + 3 = 15 (д.)- построили в этом году.
Продолжаем рассуждение
Вычислим, сколько всего домов построили за 2 года.
2) 12 + 15 = 27 (д.) 
Записываем ответ
Ответ: 27 домов построили.
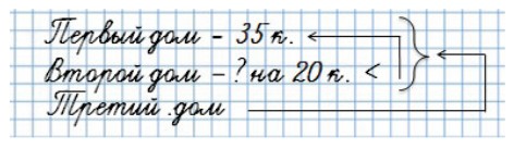
Номер 3.
В первом из новых домов 35 квартир, во втором на 20 квартир меньше, а в третьем столько, сколько в первом и втором вместе.
Поставь вопрос и реши задачу
 
Сколько квартир в третьем доме?
1) 35 - 20 = 15 (кв.) - во втором доме
2) 35 + 15 = 50 (кв.) - в третьем доме
Ответ: 50 квартир в третьем доме всего
Задача 2:
Сколько всего квартир в трёх домах?
1) 35 - 20 = 15 (кв.) - во втором доме.
2) 35 + 15 = 50 (кв.) - в третьем доме
3) 35 + 15 + 50 = 100 (кв.) - в трёх домах
Ответ: 100 квартир в трёх домах всего.
Если в задаче есть слова « на... меньше», то задача решается вычитанием.
Повтори, как оформить краткую запись задачи.
Поставим вопрос к задаче
Сколько всего квартир в третьем доме?
Оформляем условие в виде краткой записи
 
                Рассуждаем
Вычислим, сколько квартир во втором доме, для этого из количества квартир в первом доме вычтем 20.
1) 35 - 20 = 15 (к.) - во втором доме.
Продолжаем рассуждение
Вычислим, сколько квартир в третьем доме, для этого сложим количество квартир первого и второго домов вместе.
2) 35 + 15 = 50 (к.)
Записываем ответ
Ответ: в третьем доме 50 квартир.
Номер 4.
Ответ: 
Повтори письменные приемы сложения в столбик и вычитания в столбик.
Выполняем вычисления
57 + 16 (аналогично 48 + 25)
Пишу десятки под десятками, а единицы под единицами.
Складываю единицы:
7 + 6 = 13, это 1 дес. и 3 ед.
Пишу 3 под единицами , а 1 дес. запомню и прибавлю к десяткам.
Складываю десятки:
5 + 1 + 1 = 7
Пишу 7 под десятками.
Читаю ответ: сумма чисел 57 и 16 равна 73.
29 – 18 (аналогично 54 – 32)
Пишу десятки под десятками, а единицы под единицами.
Вычитаю единицы:
9 − 8 = 1
Пишу 1 под единицами.
Вычитаю десятки:
2 − 1 = 1
Пишу 1 под десятками.
Читаю ответ: разность чисел 29 и 18 равна 11.
 
Оформляем задание в тетрадь
 
                Номер 5.
Ответ:32 + 4 + 4 + 4 = 44 18 + 9 + 9 = 36 27 − 9 − 9 − 9 = 0 14 − 7 − 7 = 0
Повтори случаи табличного сложения и вычитания.
Выполняем вычисления
32 + 4 + 4 + 4 = 36 + 4 + 4 = 40 + 4 = 44
27 - 9 - 9 - 9 = 18 - 9 - 9 = 9 - 9 = 0
18 + 9 + 9 = 27 + 9 = 36
14 - 7 - 7 = 7 - 7 = 0
 
Оформляем задание в тетрадь
32 + 4 + 4 + 4 = 44
27 − 9 − 9 − 9 = 0
18 + 9 + 9 = 36
14 − 7 − 7 = 0
 
Задание внизу страницы
Ответ:30 − 6 = 24 30 − 16 = 14 32 − 16 = 16
Повтори действия с двузначными числами.
Выполняем вычисления
30 – 6 = (20 + 10) – 6 = 20 + (10 – 6) = 20 + 4 = 24
30 – 16 = 30 – 10 – 6 = 20 – 6 = 14
32 – 16 = 32 – 10 – 6 = 22 – 6 = 22 – 2 – 4 = 20 – 4 = 16
 
Оформляем задание в тетрадь
30 − 6 = 24
30 − 16 = 14
32 − 16 = 16
 
Задание на полях страницы
Вычисли. Разбей на 2 группы
Ответ:18 + 12 = 30 9 + 31 = 40 65 − 35 = 30 24 + 16 = 40 23 + 7 = 30 90 − 50 = 40 70 − 40 = 30
Повтори действия с двузначными числами.
Выполним вычисления и разобьем на 2 группы
Первая группа:
18 + 12 = 30
65 – 35 = 30
23 + 7 = 30
70 – 40 = 30
Вторая группа:
9 + 31 = 40
24 + 16 = 40
90 – 50 = 40
 
 
Номер 1.
 
 
Номер 2.
В каждом столбике найди значение второго выражения, используя значение первого.
9 ∙ 2 = 18    2 ∙ 6 = 12    7 ∙ 4 = 28
9 ∙ 3 =         2 ∙ 7 =          7 ∙ 5 =   
9 ∙ 2 = 18    9 ∙ 3 = 18 + 9 = 27
2 ∙ 6 = 12    2 ∙ 3 = 12 + 2 = 14
7 ∙ 4 = 28    7 ∙ 5 = 28 + 7 = 35
Номер 3.
Составь задачу по её решению.
3 ∙ 5 = 15 (л)
Ответ: 15 л.
В магазине разливали молоко, в 5 банок по 3 литра в каждую. Сколько всего литров молока было?
3 ∙ 5 = 15 (л) – всего.
Ответ: 15 литров молока было в магазине всего.
Номер 4.
Объясни, как узнавали разными способами, на сколько клеток разбит прямоугольник. Вычисли результаты.
1)6 + 6 + 6 + 6 =   
6 ∙ 4 =   
2) 4 + 4 + 4 + 4 + 4 + 4 =   
4 ∙ 6 =   
Расскажи, чем похожи и чем различаются полученные произведения.
 
Способ 1:
6 + 6 + 6 + 6 = 24
6 ∙ 4 = 24
В данном случае клетки считали по строчкам: →
Способ 2:
4 + 4 + 4 + 4 + 4 + 4 = 24
6 ∙ 4 = 24
В этом случае клетки считали по столбикам: ↓
Результаты одинаковы.
Меняются местами только множители в произведениях: 6 ∙ 4 и 4 ∙ 6.
Номер 5.
Начерти ломаную, у которой длина первого звена равна 20 мм, второго - 40 мм, а длина третьего равна сумме длин первого и второго звеньев.
Ответ:
20 + 40 = 60 (мм) – длина третьего звена.
20 + 40 + 60 = 120 (мм) - общая длина ломаной.
Ответ: общая длина ломаной составляет 20 мм.
 
Номер 6.
Вычисли с проверкой
72 − 18
78 − 12
35 + 44
57 + 28
 
Номер 7.
15 + 18 + 2    56 + 20    60 − 32
45 + 5 + 26    50 + 26    80 − 32
37 + 19 + 3    56 + 6      50 −32
 
Номер 8.
Переложи 3 палочки так, чтобы домик повернулся в другую сторону.
 
 
С подпиской рекламы не будет
Подключите премиум подписку со скидкой в 40% за 149 ₽ 
         
		 
             
             
             
         
        
Напишите свой комментарий.